Leibniz 7.3.1 Keskikustannus- ja rajakustannusfunktiot
Ajattomien Autojen kaltaisen teollisuusyrityksen tuotantokustannuksiin sisältyvät tehtaan vuokra, kone- ja kalustovuokrat, raaka-aineiden ja energian hinnat sekä kaikkien työntekijöiden palkat. Kustannusfunktio \(C(Q)\) kuvaa, miten yrityksen kokonaiskustannukset vaihtelevat tuotoksen eli autontuotannon \(Q\) mukaan. Tässä Leibniz-osiossa osoitamme, miten yrityksen keskikustannus- ja rajakustannusfunktiot liittyvät kustannusfunktioon \(C(Q)\).
Yleensä kokonaiskustannukset kasvavat tuotoksen myötä. Käsittelemme seuraavassa tuotantomäärää \(Q\) jatkuvana muuttujana, mikä on tavallinen ja hyödyllinen likiarvo suuria lukuja käsiteltäessä. Silloin on järkevää olettaa, että funktio \(C\) on derivoituva, ja kuvata sitä seuraavan epäyhtälön kasvavaksi funktioksi:
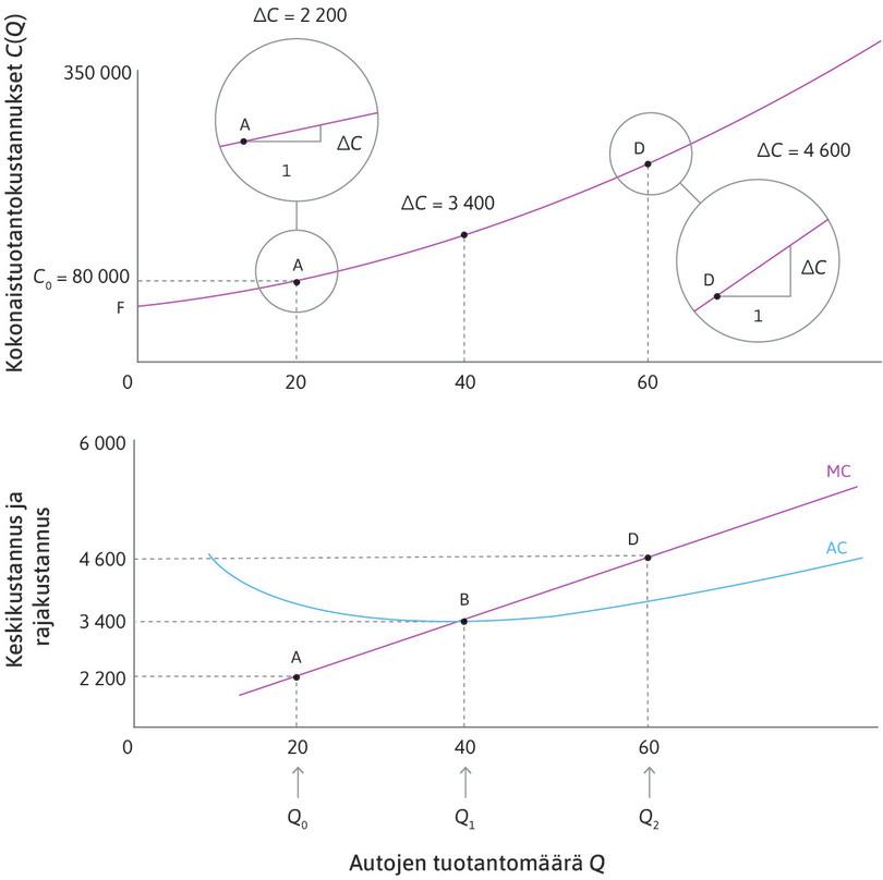
\[C'(Q)\gt0\]Funktio \(C\) on piirretty kuvion 7.7 yläosaan ja myös tähän kuviona 1. Huomaa, että \(C(0)=F\gt0\); vaikka yritys ei tuottaisi yhtään autoa, sille koituu kiinteitä kustannuksia, \(F\). Funktio \(C\) on kasvava ja konveksi: käyrän kulmakerroin kasvaa, kun \(Q\) kasvaa. Palaamme tähän tuonnempana.
Kuvio 1 Ajattomien Autojen kokonais-, keski- ja rajakustannusfunktiot.
Ajattomien Autojen tuottamisen keskikustannus (AC) määritellään kokonaiskustannuksiksi jaettuna tuotettujen autojen määrällä. Jos tuotos on \(Q\) autoa:
\[\text{AC} = \frac{C(Q)}{Q}\]Kuvion 1 yläosassa \(Q\) auton keskikustannus on pisteestä \((Q, C(Q))\) origoon kulkevan suoran kulmakerroin. Näet kaaviosta, että kulmakerroin vaihtelee määrän \(Q\) mukaan: keskikustannus AC on määrän \(Q\) funktio. Funktion \(AC(Q)\) kuvaaja näkyy kuvion 1 alaosassa.
Rajakustannus (MC) on kustannusten muutosnopeus, kun \(Q\) kasvaa. Jos tuotos on \(Q\) autoa:
\[\text{MC} =C'(Q)\]Voit tulkita rajakustannuksen MC yhden lisäauton tuottamisen kustannukseksi, mutta muista, että se on vain likiavo. Geometrisesti MC on kuvion 1 yläosassa näkyvän käyrän \(C(Q)\) kulmakerroin. Kuten edellä on mainittu, tällä kustannusfunktiolla on se ominaisuus, että kulmakerroin kasvaa, kun \(Q\) kasvaa. Oletamme, että Ajattomilla Autoilla lisäauton tuottamisen kustannus on jo tuotettavien autojen määrän kasvava funktio. Tämä tarkoittaa, että rajakustannus on funktion \(Q\) kasvava funktio. Rajakustannusfunktio näkyy kuvion 1 alaosassa nousevana suorana.
Mieti nyt keskikustannusfunktion muotoa. Kun muistat, että keskikustannus on pisteestä \(C(Q)\) origoon kulkevan puolisuoran kulmakerroin, näet kuvion 1 yläosasta, että keskikustannus on korkea, kun \(Q\) on pieni. Sen jälkeen se vähenee vähitellen pisteeseen B asti, jossa \(Q=40\), ja alkaa sitten taas nousta. Tämä näkyy alaosan U-kirjaimen muotoisessa keskikustannuskäyrässä, jonka alin arvo on \(Q=40\). Kaavio osoittaa myös, että \(\text{MC} \lt \text{AC}\) jos \(Q \lt 40\), \(\text{MC} \gt \text{AC}\) jos \(Q \gt 40\) ja \(\text{MC} = \text{AC}\) jos \(Q = 40\). Toisin sanoen \(\text{MC} - \text{AC}\) on etumerkiltään sama kuin keskikustannuskäyrän kulmakerroin. Todistamme nyt, että tämä pitää paikkansa aina, kustannusfunktion muodosta riippumatta.
Osamäärän derivoimissäännön mukaan
\[\frac{d}{dQ} \left( \frac{C(Q)}{Q} \right) = \frac{QC'(Q)- C(Q)}{Q^2}\]Nyt \(C'(Q)= \text{MC}\) and \(C(Q) = Q \times \text{AC}\). Siksi
\[\frac{d}{dQ} (\text{AC} ) = \frac{\text{MC}-\text{AC}}{Q}.\]Koska \(Q\gt0\), keskikustannuskäyrän kulmakertoimella on jokaisella määrän \(Q\) arvolla sama etumerkki kuin lausekkeella \(\text{MC} - \text{AC}\), minkä halusimme todistaa.
Lisälukemista: Malcolm Pemberton ja Nicholas Rau. 2015. Mathematics for economists: An introductory textbook, 4. painos (luvut 6.4 ja 8.1). Manchester: Manchester University Press.
