Luku 7 Yritys ja sen asiakkaat
Teemat ja niitä syventävät luvut
Miten erilaistettua tuotetta valmistava yritys maksimoi voittoa toimiessaan asiakkaidensa kanssa
- Erilaistettuja tuotteita valmistavat yritykset pyrkivät maksimoimaan voittonsa valitsemalla hinnan ja tuotantomäärän tuotteen kysyntäkäyrän ja kustannusfunktion mukaan.
- Suurimittaiseen tuotantoon liittyy teknologia- ja kustannusetuja, mikä suosii isoja yrityksiä.
- Kuluttajien reaktioita hinnanmuutoksiin kuvaa kysynnän hintajousto, joka vaikuttaa yrityksen hintaan ja voittomarginaaliin.
- Kaupankäynti hyödyttää kuluttajia ja yrityksen omistajia, mutta kun hinnat nousevat rajakustannusta korkeammiksi, markkinoilla syntyy tehokkuustappioita.
- Yritykset voivat kasvattaa voittoa kehittämällä tuotevalikoimaa ja mainostamalla. Jos kilpailijoita on vähän, yritykset voivat saada suurempia voittomarginaaleja ja monopolituottoja.
- Talouspolitiikan päättäjät käyttävät kysynnän hintajoustoa veropolitiikan suunnittelussa ja hillitsevät yritysten markkinavoimaa kilpailupolitiikalla.
Taloustieteilijä Ernst F. Schumacher julkaisi vuonna 1973 teoksen Pieni on kaunista. Hän kannatti siinä yksilöiden ja ryhmien harjoittamaa tuotantoa sekä talousjärjestelmää, joka korostaa pikemminkin onnellisuutta kuin voittoja.1 Kirjan ilmestymisvuonna tietokoneiden osia valmistava Intel ja kuljetusyhtiö FedEx työllistivät Yhdysvalloissa vain muutaman tuhat henkeä. 2010-luvulla Intelin henkilöstömäärä oli noin 108 000 ja FedExin yli 300 000. Kauppaketju Walmartilla oli vuonna 1973 noin 3 500 työntekijää, vuonna 2016 noin 2,3 miljoonaa.
Useimmat yritykset ovat paljon pienempiä, mutta kaikissa rikkaissa talouksissa enemmistö työntekijöistä on suuryritysten palkkalistoilla. Yhdysvalloissa 52 prosenttia yksityisen sektorin työntekijöistä työskentelee yli 500 hengen yrityksessä. Yritykset kasvavat, koska suuri koko tuo omistajille lisätuloja. Sijoittajat saavat suuryritysten osakkeista suuremman tuoton, ja suuryritysten työntekijät saavat muita parempaa palkkaa. Kuvio 7.1 havainnollistaa muutamien menestyvien yhdysvaltalaisyritysten kasvua.
Kuvio 7.1 Yrityksen koko Yhdysvalloissa: työntekijämäärä 1900–2006.
Erzo G. J. Luttmer. 2011. ”On the Mechanics of Firm Growth.” American Journal of Economics Studies 78 (3): 1042–1068.
Millaisilla strategioilla yritykset voivat kasvaa ja menestyä kuvion 7.1 yritysten lailla? Yhden vastauksen saa brittiläisen vähittäismyyntiketju Tescon tarinasta, joka alkoi vuonna 1919.
Tescon perustaja Jack Cohen aloitti uransa katumarkkinoilla Lontoon East Endissä. Katukauppiaat kokoontuivat markkinoille aamuvarhaisella ja ryntäsivät merkin saatuaan varaamaan parhaita myyntipaikkoja kojuilleen. Cohen opetteli taitavaksi heittäjäksi ja pystyi valtaamaan halutuimman paikan sinkoamalla lakkinsa siihen. 1950-luvulla Cohen alkoi avata amerikkalaismallisia supermarketteja ja oppi näin ensimmäisten joukossa uusille tavoille. Vuonna 1995 Tesco oli Ison-Britannian vähittäiskaupan markkinajohtaja, ja tätä nykyä se työllistää lähes puoli miljoonaa ihmistä Euroopassa ja Aasiassa.
Tesco tavoittelee nykyään hinnoittelustrategiallaan kaikkia markkinasegmenttejä, mikä näkyy myös joidenkin Tescon omien merkkien nimissä: on korkealaatuisia Finest-tuotteita ja edullisia Value-tuotteita. BBC:n The Money Programme ‑ohjelmassa ketjun filosofia kiteytettiin muotoon ”ole kaikkialla ja myy kaikkea kaikille”.
Jack Cohenin motto oli: ”Paljon tavaraa, halvat hinnat.” Cohen aloitti katukauppiaana Lontoon East Endissä ja avasi ensimmäisen myymälänsä kymmenen vuotta myöhemmin. Nykyään joka yhdeksäs Ison-Britannian kaupoissa käytetty punta kulutetaan Tescossa, ja 1990-luvulla yritys laajeni muille mantereille. Vuonna 2014 Tescon voitot olivat vähittäiskaupan alalla toiseksi suurimmat maailmassa. Edellä oli vain Walmart. Cohenin suosima halpojen hintojen strategia on voittoa maksimoivalle yritykselle yksi mahdollisuus: vaikka tuotekohtainen voitto on pieni, hinta voi houkutella niin paljon asiakkaita, että kokonaisvoitto kasvaa suureksi.
Toisilla yrityksillä on toisenlaisia strategioita. Apple ei tavoittele asiakkaita halvoilla hinnoilla vaan kasvattaa voittojaan hinnoittelemalla iPhonet ja iPadit kalliiksi. Huhtikuun 2010 ja maaliskuun 2012 välillä Applen iPhone-puhelinten yksikkövoitto oli 49–58 prosenttia hinnasta. Samalla aikavälillä Tescon yksikkökohtainen liikevoitto oli 6–6,5 prosenttia.
Yrityksen menestykseen vaikuttavat hinnan lisäksi tuotevalikoima sekä kyky houkutella asiakkaita ja kyky tuottaa tavaroita halvemmalla ja laadukkaammin kuin kilpailijansa. Tätä varten yritysten tulee pystyä palkkaamaan osaavia työntekijöitä ja pitämään heidät palkkalistoilla.
Kuvio 7.2 kiteyttää yrityksen tärkeimmät päätökset. Tässä luvussa keskitytään etenkin siihen, miten yritys päättää tuotteen hinnan ja tuotantomäärän. Päätökseen vaikuttavat kysyntä – mahdollisten asiakkaiden halukkuus maksaa tuotteesta – ja tuotantokustannukset.
Tuotteen kysyntä riippuu hinnasta ja tuotantokustannukset tuotantomäärästä. Yritys voi kuitenkin vaikuttaa kuluttajakysyntään ja kustannuksiin muutenkin kuin hinnan ja määrän avulla. Esimerkiksi innovaatiot voivat luoda uusia, houkuttelevia tuotteita tai laskea tuotantokustannuksia, kuten luvussa 2 näimme. Jos yritys onnistuu innovoinnissa, se voi saada ylituottoa – ainakin siihen asti, kun muut kirivät etumatkan kiinni. Etumatkan säilyttäminen vaatii todennäköisesti uusia innovaatioita. Kysyntää yritys voi kasvattaa käyttämällä rahaa mainontaan. Kustannukset riippuvat merkittävästi myös yrityksen asettamista palkoista, joita tarkastelimme luvussa 6. Myöhemmissä luvuissa nähdään vielä, että yritykset käyttävät rahaa myös vaikuttaakseen verotukseen ja ympäristölainsäädäntöön, jotta ne voisivat silläkin tavalla alentaa tuotantokustannuksiaan.
Kuvio 7.2 Yrityksen päätöksiä.
7.1 Hintapäätös: aamiaismurot
- kysyntäkäyrä
- Kertoo kuluttajien ostomäärän jokaisella mahdollisella hinnalla. Englanniksi demand curve.
Yritys tarvitsee hintapäätöstä varten tietoa kysynnästä: miten paljon mahdolliset asiakkaat ovat halukkaita maksamaan sen tuotteesta. Kuvioon 7.3 on piirretty Cheerios-merkkisten omena-kanelimurojen kysyntäkäyrä. General Mills lanseerasi murot vuonna 1989, ja taloustieteilijä Jerry Hausman arvioi vuonna 1996, miten paljon ostohalukkuus riippui murojen hinnasta. Hausman käytti arviossaan yhdysvaltalaiskaupungeista kerättyjä murojen viikkomyyntitietoja. Hinnat on ilmaistu dollareina paunaa kohti (pauna on vajaat puoli kiloa, 454 grammaa). Kuviosta 7.3 näkee, että jos hinta on kolme dollaria, omena-kanelimurojen kysyntä on 25 000 paunaa. Useimpia tuotteita halutaan ostaa sitä enemmän, mitä alempi hinta on.
Miten taloustiede hyödyntää empiriaa Kysyntäkäyrän estimointi kuluttajatutkimuksen avulla
Jerry Hausman arvioi Cheerios-murojen kysyntäkäyrää ostotietojen avulla. Toinen, varsinkin uusia tuotteita lanseeraaville yrityksille hyödyllinen tapa on kuluttajatutkimus. Kuvitellaan, että tutkit avaruusmatkailun mahdollista kysyntää. Voisit kysyä mahdollisilta asiakkailta:
”Paljonko olisit valmis maksamaan kymmenen minuutin avaruuslennosta?”
Vastaajien voi olla vaikea päättää summaa, tai he voivat jopa valehdella, jos he arvelevat vastauksen vaikuttavan lopulliseen hintaan. Parempi tapa selvittää todellinen halukkuus on muotoilla kysymys tähän tapaan:
”Olisitko valmis maksamaan kymmenen minuutin avaruuslennosta tuhat dollaria?”
Joku todella kysyi tätä kuluttajilta vuonna 2011, joten nyt tiedämme avaruuslentojen kuluttajakysynnän.2
Olipa tuote aamiaismurot tai avaruuslento, menetelmä on sama. Kun esittää kysymyksen riittävän monelle kuluttajalle hintoja vaihdellen, voi arvioida, miten suuri osuus kuluttajista on halukas maksamaan minkäkin hinnan. Tällä tavalla saa arvion koko kysyntäkäyrästä.
Kuvio 7.3 Cheerios-merkkisten omena-kanelimurojen kysyntäarvio.
Muokattu kuviosta 5.2 lähteessä Jerry A. Hausman. 1996. ”Valuation of New Goods under Perfect and Imperfect Competition”. Teoksessa The Economics of New Goods, 207–248. Chicago, IL: University of Chicago Press.
Jos olisit General Mills ‑yhtiön tuotepäällikkö, miten asettaisit omena-kanelimurojen hinnan kysyntäkäyrän kuvaamassa kaupungissa ja mihin tuotantomäärään päätyisit?
Päätöksenteossa on otettava huomioon, miten valinta vaikuttaa voittoon eli myyntitulojen ja tuotantokustannusten erotukseen. Kuvitellaan, että murojen yksikkökustannus – yhden 0,454 kilon muroerän tuotantokustannus – on kaksi dollaria. Maksimoidaksesi voiton sinun tulisi tuottaa täsmälleen se määrä, jonka odotat menevän kaupaksi, ei yhtään enempää. Silloin myyntitulot, kustannukset ja voitto määräytyvät seuraavasti:
\[\begin{align*} \text{kokonaiskustannukset} &= \text{yksikkökustannus} \times \text{määrä} \\ &= 2 \times Q \\ \text{kokonaistulot} &= \text{hinta} \times \text{määrä} \\ &= P \times Q \\ \text{voitto} &= \text{kokonaistulot} - \text{kokonaiskustannukset} \\ &= P \times Q - 2 \times Q \end{align*}\]Voiton kaavaksi tulee
\[\text{voitto} = (P-2) \times Q.\]Tämän kaavan avulla voi laskea kaikkien hinnan ja määrän yhdistelmien voiton ja piirtää samavoittokäyrät, joista on esimerkkejä kuviossa 7.4. Siinä missä samahyötykäyrä yhdistää kaikki saman hyödyn tuottavat pisteet, samavoittokäyrä yhdistää saman voiton tuottavat pisteet. Samavoittokäyrät ovatkin yrityksen samahyötykäyriä: saman voiton tarjoavat hinnan ja määrän yhdistelmät ovat yritykselle samanarvoisia.
Kysymys 7.1 Valitse oikeat vastaukset
Yrityksen tuotantokustannus on 12 euroa tuotetulta yksiköltä. Jos tuotteen hinta on P ja tuotettujen yksiköiden määrä Q, mikä seuraavista väitteistä pitää paikkansa?
- Pisteessä (Q, P) = (2 000, 20) voitto = (20 – 12) × 2 000 = 16 000 euroa.
- Pisteessä (Q, P) = (1 200, 24) voitto = (24 – 12) × 1 200 = 14 400 euroa. Pisteessä (Q, P) = (2 000, 20) voitto = (20 – 12) × 2 000 = 16 000 euroa. Siksi (2 000, 20) on ylemmällä samavoittokäyrällä.
- Pisteessä (Q, P) = (2 000, 20) voitto = (20 – 12) × 2 000 = 16 000 euroa. Pisteessä (Q, P) = (4 000, 16) voitto = (16 – 12) × 4 000 = 16 000 euroa. Siksi nämä kaksi pistettä ovat samalla samavoittokäyrällä.
- Kun P = 12, yritys ei saa voittoa. Siksi (5 000, 12) on nollavoittoa edustavalla samavoittokäyrällä.
Kysymys 7.2 Valitse oikeat vastaukset
Tarkastellaan yritystä, jonka yksikkökustannus (yhden yksikön tuotantokustannukset) on kaikilla tuotostasoilla sama. Mikä seuraavista väitteistä pitää paikkansa?
- Samavoittokäyrä yhdistää kaikki hinnan ja tuotannon yhdistelmät, joilla yrityksen voitto on sama.
- Jos voitto on suuri, hinnan täytyy olla yksikkökustannusta korkeampi. Jos tuotosta kasvatetaan, hintaa on alennettava, jotta voitto pysyy ennallaan. Siksi samavoittokäyrät ovat aina laskevia.
- Voit laskea minkä tahansa hinnan ja määrän yhdistelmän tuottaman voiton, ja kun löydät muita saman voiton tuottavia pisteitä, voit piirtää niiden kautta kulkevan samavoittokäyrän.
- Jos hinta on yksikkökustannusta korkeampi, tuotannon kasvattaminen vaatii hinnan alentamista, jotta voitto pysyy ennallaan. Siksi samavoittokäyrä on laskeva.
Jos haluat suuren voiton, sekä hinnan että määrän pitäisi olla mahdollisimman suuria, mutta kysyntäkäyrä rajoittaa päätöksentekoasi. Jos valitset korkean hinnan, pystyt myymään vain pienen määrän; jos taas haluat myydä paljon, hinta ei voi olla korkea.
Kysyntäkäyrä ratkaisee, mikä on mahdollista. Kuvioon 7.5a on piirretty samavoittokäyrät ja kysyntäkäyrä. Sinulla on samanlainen ongelma kuin luvun 3 Alexeilla. Hän halusi valita mahdollisuuksien joukosta pisteen, joka tuo hänelle maksimihyödyn. Sinä haluat valita mahdollisen hinnan ja määrän yhdistelmän, joka maksimoi voittosi.
Paras strategia olisi valita kuvion 7.5a piste E: murojen tuotantomäärä on 14 000 paunaa ja hinta 4,40 dollaria paunalta, jolloin voittoa tulee 34 000 dollaria. Paras hinnan ja määrän yhdistelmä on piste, jossa kaksi vaihtosuhdetta kohtaa, kuten Alexeilla luvussa 3. Oletamme, että tuotepäällikkönä haluat saada voittoa etkä saavuttaa ehdottomasti jotain tiettyä hinnan ja määrän yhdistelmää.
- rajasubstituutiosuhde (marginal rate of substitution, MRS)
- Vaihtosuhde, jolla henkilö on valmis vaihtamaan kahta hyödykettä keskenään. Rajasubstituutiosuhde on kaikissa pisteissä yhtä suuri kuin samahyötykäyrän kulmakerroin. Katso myös: rajamuunnossuhde.
- rajamuunnossuhde (marginal rate of transformation, MRT)
- Se määrä jotain hyödykettä, joka on uhrattava, jotta saa yhden lisäyksikön toista hyödykettä. Rajamuunnossuhde on kaikissa pisteissä yhtä suuri kuin mahdollisuuksien rajan kulmakerroin. Katso myös: rajasubstituutiosuhde.
- Samavoittokäyrä on sinun samahyötykäyräsi, ja sen kulmakerroin missä tahansa pisteessä kuvaa rajasubstituutiosuhdetta (MRS), jolla olet halukas vaihtamaan hintaa ja määrää toisiinsa. Olet halukas vaihtamaan pienemmän määrän korkeampaan hintaan, jos saat saman voiton.
- Kysyntäkäyrän kulmakerroin kuvaa rajamuunnossuhdettasi (MRT), jolla joudut vaihtamaan määrää ja hintaa toisiinsa. Et voi nostaa hintaa määrän vähenemättä, koska tuotteen kallistuessa ostajia on vähemmän.
Nämä vaihtosuhteet ovat yhtä suuret, kun valitaan voiton maksimoiva hinnan P ja määrän Q yhdistelmä.
General Millsin tuotepäällikkö ei luultavasti tehnyt päätöstä näin.
Hän saattoi noudattaa hinnan valinnassa yrityksen ja erehdyksen menetelmää ja tukeutua aikaisempiin kokemuksiin ja markkinatutkimuksiin. Jollain tavalla yritys kuitenkin päätyy voiton maksimoivaan hinnan ja määrän yhdistelmään. Taloustieteellinen tarkastelu ei pyri mallintamaan tuotepäällikön ajatusprosessia vaan ymmärtämään lopputulosta ja sen kytkeytymistä yrityksen kustannuksiin ja kuluttajien kysyntään.
Taloustieteessäkin on mahdollista ajatella voiton maksimointia myös muista näkökulmista. Kuvion 7.5b alempi kaavio osoittaa, miten paljon kysyntäkäyrän eri pisteet tuottavat voittoa.
Alemmassa kaaviossa on voittofunktio. Se kuvaa voiton suuruutta, kun päätetään tuottaa määrä Q ja valitaan korkein mahdollinen hinta, jolla määrän saa kaupaksi kysyntäfunktion mukaan. Tämäkin käyrä osoittaa, että maksimivoitto on 34 000 dollaria ja tuotantomäärä Q = 14 000 paunaa aamiaismuroja.
Kysymys 7.3 Valitse oikeat vastaukset
Taulukkoon on kirjattu markkinakysyntä Q hinnan P eri arvoille.
| Q | 100 | 200 | 300 | 400 | 500 | 600 | 700 | 800 | 900 | 1 000 |
| P | 270 € | 240 € | 210 € | 180 € | 150 € | 120 € | 90 € | 60 € | 30 € | 0 € |
Tuotannon yksikkökustannus on 60 euroa. Mikä seuraavista pitää näiden tietojen mukaan paikkansa?
- Kun Q = 100, voitto = (270 – 60) × 100 = 21 000 euroa.
- Kun Q = 400, voitto = (180 – 60) × 400 = 48 000 euroa. Jos lasket voiton kysyntäkäyrän jokaisessa pisteessä, näet, että voitto on muissa pisteissä pienempi.
- Maksimivoiton tuo Q = 400, jolloin voitto = (180 – 60) × 400 = 48 000 euroa.
- Yritys tekee tappiota eli negatiivista voittoa, jos tuotos on yli 800. Kun tuotos on 800, voitto on nolla.
Harjoitus 7.1 Muutoksia markkinoilla
Hahmottele piirtämällä, miten kuvion 7.5a käyrät muuttuvat seuraavissa tapauksissa:
- Samanlaista tuotetta valmistava kilpailija laskee hintojaan roimasti.
- Murojen tuotantokustannukset nousevat kolmeen dollariin paunalta.
- Runsaasti julkisuutta saanut viranomaistutkimus osoittaa, että General Millsin tuotteet ovat muita muroja terveellisempiä.
Oletetaan käyrien hahmottelun helpottamiseksi, että kysyntäkäyrä on lineaarinen. Mitä hinnalle ja voitolle tapahtuu näissä tapauksissa?
7.2 Skaalaedut ja suurtuotannon kustannusedut
Miksi Walmart, Intel ja FedEx ovat kasvaneet niin suuriksi? Suuryrityksen tuottavuus johtuu pitkälti siitä, että tuotannon yksikkökustannukset ovat alhaisemmat. Se voi johtua kahdesta tekijästä.
- Teknologiaedut: Suurimittaisessa tuotannossa käytetään usein vähemmän panoksia tuotosyksikköä kohti.
- Kustannusedut: Isoissa yrityksissä kiinteät kustannukset (kuten mainonta tai tarpeellisten patenttien tai muiden immateriaalioikeuksien hankinta) vaikuttavat yksikkökustannuksiin vähemmän kuin pienissä yrityksissä. Suuryritykset pystyvät joskus myös ostamaan panoksensa halvemmalla, koska niillä on enemmän neuvotteluvoimaa.
- skaalaedut
- Skaalaetuja eli mittakaavahyötyjä saadaan, kun tuotantoprosessin panosten kaksinkertaistaminen kasvattaa tuotoksen yli kaksinkertaiseksi. Yrityksen keskimääräisten kustannusten pitkän aikavälin kehitys riippuu tuotannon skaalatuotoista ja siitä, miten mittakaava vaikuttaa yrityksen panoksista maksamiin hintoihin. Englanniksi economies of scale. Synonyymi: kasvavat skaalatuotot. Katso myös: negatiiviset skaalaedut.
Taloustieteessä suurtuotannon teknologiaeduista käytetään nimitystä skaalaedut tai kasvavat skaalatuotot. Jos panosmäärien kaksinkertaistaminen kolminkertaistaa tuotoksen, yritys saa kasvavia skaalatuottoja.
- negatiiviset skaalaedut
- Tilanne, jossa tuotantoprosessin panosten kaksinkertaistaminen kasvattaa tuotoksen alle kaksinkertaiseksi. Englanniksi diseconomies of scale. Synonyymi: laskevat skaalatuotot. Katso myös: skaalaedut.
- vakioiset skaalatuotot
- Tilanne, jossa tuotantoprosessin panosten kaksinkertaistaminen kasvattaa tuotoksen kaksinkertaiseksi. Yrityksen keskikustannusten pitkän aikavälin kehitys riippuu tuotannon skaalatuotoista ja siitä, miten mittakaava vaikuttaa yrityksen panoksista maksamiin hintoihin. Englanniksi constant returns to scale. Katso myös: skaalaedut, negatiiviset skaalaedut.
Teknologian skaalaedut ja negatiiviset skaalaedut
Jos kaikkia panoksia lisätään samassa suhteessa ja
- tuotos kasvaa suhteellisesti panosten lisäystä enemmän, tuotannossa saadaan kasvavia skaalatuottoja tai skaalaetuja.
- tuotos kasvaa suhteellisesti panosten lisäystä vähemmän, tuotannossa saadaan laskevia skaalatuottoja tai negatiivisia skaalaetuja.
- tuotos kasvaa samassa suhteessa, tuotannossa saadaan vakioisia skaalatuottoja.
Skaalaetuja voi aiheuttaa yrityksen sisäinen työnjako, jonka ansiosta työntekijät tekevät sitä, mitä parhaiten osaavat. Tällöin työntekijöiden ei tarvitse hallita yhtä monia taitoja, jolloin heidät on nopeampaa kouluttaa tehtäviinsä. Skaalaedut voivat johtua myös puhtaasti teknisistä syistä. Esimerkiksi nesteiden kuljetuksessa kuljetusmäärien lisääminen edellyttää suurempia putkia, mutta putken kapasiteetin kaksinkertaistaminen ei vaadi läheskään kaksinkertaista läpimittaa tai rakennusmateriaalien määrää. Tämä todistetaan alaluvun lopun Numeronmurskaus-osiossa Putken koko ja kustannukset.
Skaalaedut voivat kuitenkin olla myös negatiivisia. Kuvitellaan yritys, jossa on omistajia, päälliköitä, työnjohtajia ja tuotantotyöntekijöitä. Jokainen työnjohtaja voi valvoa kymmentä työntekijää ja jokainen päällikkö kymmentä työnjohtajaa. Jos yrityksellä on kymmenen tuotantotyöntekijää, johtaminen ja työnjohto onnistuvat omistajan voimin. Jos tuotantotyöntekijöitä palkataan sata, tarvitaan kymmenen työnjohtajaa. Jos tuotantotyöntekijöitä on tuhat, tarvitaan uusi päällikköporras valvomaan työnjohtoporrasta. Tuotantotyöntekijöiden lisäys vaatii siis suhteellisesti ottaen suurempaa lisäystä työnjohtoon ja johtamiseen. Yritys voisi kasvattaa kaikkia panoksia samassa suhteessa vain karsimalla työnjohdon tehtäviä, mikä vähentäisi tuottavuutta. Nimitämme tätä negatiivista skaalaetua Dilbertin pomoporraslaiksi Dilbert-sarjakuvan mukaan. Tämän alaluvun lopun Numeronmurskaus-osiossa laskemme lain mukaisen negatiivisen skaalaedun.
Kustannusedut
- tutkimus ja kehitys
- Yksityisen tahon tai julkisyhteisön panostus uusien tuotantomenetelmien, tuotteiden tai muun taloudellisesti tärkeän uuden tiedon tuottamiseksi. Englanniksi research and development.
Yksikkökustannus voi pienetä yrityksen tuotoksen kasvaessa, vaikka skaalatuotot olisivat vakioiset tai jopa laskevat. Näin käy, jos yrityksellä on kiinteitä kustannuksia, jotka eivät riipu tuotettujen yksiköiden määrästä vaan ovat yhtä suuret tuotantomäärästä riippumatta. Esimerkkejä ovat tutkimus ja kehitys, tuotesuunnittelu ja tuotantolisenssin tai patentin hankkiminen. Kiinteitä kustannuksia ovat myös mainonta ja muut markkinointimenot. Puolen minuutin mainos amerikkalaisen jalkapallon Super Bowl ‑finaalin televisiolähetyksessä maksoi vuonna 2014 neljä miljoonaa dollaria. Se on perusteltavissa vain, jos mainos lisää myytyä yksikkömäärää reilusti.
Eräänlaisia kiinteitä kustannuksia ovat myös vaalikampanjoiden rahoitus, suhdetoimintamenot ja julkishallintoon kohdistuva lobbaus. Ne eivät riipu yrityksen tuotannon tasosta.
Suuryritykset pystyvät ostamaan panoksensa muita edullisemmin ehdoin, koska niillä on enemmän neuvotteluvoimaa tavarantoimittajiin nähden.
Kysyntäedut
- verkostosidonnaiset skaalaedut
- Verkostosidonnaisia skaalaedut saadaan, kun hyödykkeen käyttäjämäärän kasvu merkitsee sitä, että hyödyke on käyttäjien keskinäisten kytkösten vuoksi jokaiselle käyttäjälle arvokkaampi. Englanniksi network economies of scale.
Koosta voi olla yritykselle hyötyä tuotannon ohella myös myynnissä. Usein tuotteen tai palvelun ostohalukkuus kasvaa, jos sillä on jo paljon käyttäjiä. Esimerkiksi ohjelmisto on hyödyllisempi, kun kaikki käyttävät yhteensopivaa versiota. Näitä kysyntäpuolen skaalaetuja sanotaan verkostosidonnaisiksi skaalaeduiksi, ja niistä on runsaasti esimerkkejä teknologiamarkkinoilla.
Pienimuotoinen tuotanto tulee usein liian kalliiksi kilpaillakseen suurempien yritysten kanssa. Siksi pienten yritysten on yleensä pakko kasvaa, jos ne mielivät pysyä hengissä. Siitä huolimatta myös kasvulle on rajansa: negatiiviset skaalaedut tai laskevat skaalatuotot.
Isompi yritys tarvitsee enemmän johto- ja työnjohtoportaita. Yritykset toimivat yleensä hierarkkisina organisaatioina, joissa työntekijöitä valvovat hierarkiassa ylempänä olevat. Kun yritys kasvaa, organisaatiokustannusten osuus kokonaiskustannuksista kasvaa.
Luvussa 6 todettiin, että yritys voi ulkoistaa komponenttien tuotantoa. Kasvua rajoittaa osaltaan se, että yrityksen on joskus halvempaa ostaa tuotteen osa kuin valmistaa se itse. Jos Apple ottaisi itse valmistaakseen kosketusnäytöt, piirisarjat ja muut iPhonen ja iPadin osat, se paisuisi nykyistäkin suuremmaksi. Sen sijaan se ostaa nämä osat Toshibalta, Samsungilta ja muilta hankkijoilta. Applen ulkoistusstrategia rajoittaa sen omaa kokoa mutta kasvattaa Toshibaa, Samsungia ja muita Applen osia valmistavia yrityksiä.
Seuraavassa alaluvussa mallinnetaan yrityksen kustannusten ja mittakaavan riippuvuussuhdetta.
Kysymys 7.4 Valitse oikeat vastaukset
Mikä seuraavista väitteistä pitää paikkansa?
- Kun tuotot ovat vakioiset, panosten lisääminen kasvattaa tuotantoa samassa suhteessa.
- Kun tuotot ovat laskevat, panosten kaksinkertaistaminen alle kaksinkertaistaa tuotannon.
- Koska yritys voi lisätä tuotantoaan kasvattamalla panoksia suhteellisesti ottaen vähemmän, sen yksikkökustannukset laskevat.
- Kun tuotot ovat laskevat, panosten kasvattaminen ei kasvata tuotantoa samassa suhteessa.
Numeronmurskaus Putken koko ja kustannukset
On helppo osoittaa matemaattisesti, miten paljon putken tekeminen kallistuu, kun putken läpimitta kaksinkertaistuu. Ympyrän pinta-alan kaava on
\[\text{ympyrän pinta-ala} = \pi \times (\text{ympyrän säde})^2\]Kuvitellaan, että putken pinta-ala oli alun perin 10 cm2 ja että se kaksinkertaistetaan 20 neliösenttimetriin. Pinta-alan kaavasta voi laskea putken säteen.
Kun putken pinta-ala on kymmenen,
\[\text{säde} = \sqrt{\frac{10}{\pi}} = 1,78\text{ cm}.\]Kun putken pinta-ala on 20,
\[\text{säde} = \sqrt{\frac{20}{\pi}} = 2,52\text{ cm}.\]Putken valmistusmateriaalien kustannukset riippuvat putken kehästä. Ympyrän kehä on
\[\text{kehä} = 2 \times \pi \times \text{ympyrän säde}\]Kun putken pinta-ala on 10,
\[\text{kehä} = 2 \times \pi \times 1,78 = 11,18\text{ cm}.\]Kun putken pinta-ala on 20,
\[\text{kehä} = 2 \times \pi \times 2,52 = 15,83\text{ cm}.\]Putken kapasiteetti on kaksinkertaistunut, mutta kehän ja kustannusten kasvukerroin on pienempi:
\[\frac{15,83}{11,18}= 1,42.\]Putkea käyttävä yritys saa selvästi skaalaetuja.
Negatiiviset skaalaedut: CORE-versio Dilbertin pomoporraslaista
Kuvitellaan, että kymmentä työntekijää kohti tarvitaan yksi ylemmän hierarkiatason työnjohtaja. Jos yrityksellä on 10x alimman portaan tuotantotyöntekijää, johtotasoja on x ja työnjohtajia alimmalla tasolla 10x−1, toiseksi alimmalla tasolla 10x−2 ja niin edelleen.
Jos yrityksellä on miljoona (106) tuotantotyöntekijää, sillä on 100 000 (105 = 106−1) alimman tason työnjohtajaa. Dilbert ei itse keksinyt tätä lakia, sillä hänen työnjohtajansa ei anna käyttää aikaa moiseen. Lain keksi CORE-tiimi.
7.3 Tuotanto: Ajattomien Autojen kustannusfunktio
Cheeriosin omena-kanelimurojen tuotepäällikkö tarvitsi hinta- ja tuotantotietojen määrittämiseen tietoa kysyntäfunktiosta ja tuotantokustannuksista. Oletimme, että jokaisen muroerän tuotantokustannus oli sama, joten tuotannon mittakaava määräytyi kysynnän mukaan. Tässä alaluvussa tutustumme erilaiseen esimerkkiin, jossa kustannukset vaihtelevat tuotantotason mukaan.
Kuvitellaan autoja valmistava yritys. Ford tuottaa noin 6,6 miljoonaa ajoneuvoa vuodessa, mutta tämä pieni yritys valmistaa erikoisautoja. Yritys saakoon nimen Ajattomat Autot.
Autojen tuottamiseen ja myymiseen liittyy monenlaisia kustannuksia. Yritys tarvitsee tehtaan, jossa on koneet esimerkiksi valua, työstöä, muotopuristusta, kokoonpanoa ja auton osien hitsausta varten. Se voi vuokrata tilat toiselta yritykseltä tai hankkia rahoituspääomaa ja investoida omiin tiloihin, koneisiin ja laitteisiin. Sen pitää ostaa raaka-aineet ja komponentit ja palkata tuotantotyöntekijöitä käyttämään koneita ja laitteita. Työntekijöitä tarvitaan myös johtamaan tuotantoprosessia sekä myymään ja markkinoimaan valmiita autoja.
- vaihtoehtoiskustannus
- Jos yhden vaihtoehdon valitseminen merkitsee toiseksi parhaasta vaihtoehdosta luopumista, vaihtoehtoiskustannus on toiseksi parhaan vaihtoehdon tuottama nettohyöty. Englanniksi opportunity cost.
- pääoman vaihtoehtoiskustannus
- Tulo, jonka sijoittaja olisi saanut sijoittamalla pääoman muualle. Englanniksi opportunity cost of capital.
Yrityksen omistajat – osakkeenomistajat – eivät todennäköisesti haluaisi sijoittaa yritykseen, jos he voisivat käyttää rahan paremmin sijoittamalla sen muualle ja saamalla siitä voittoa. Muusta sijoituskohteesta saatava voitto rahayksikköä kohti on esimerkki vaihtoehtoiskustannuksesta, jota käsiteltiin luvussa 3. Kysymyksessä on pääoman vaihtoehtoiskustannus. Sen kattamiseksi osakkeenomistajille on maksettava vastaava summa, joka muodostaa osan autojen tuottamisen kustannuksista. Näin omistajat saadaan sijoittamaan autojen tuotannossa tarvittavaan omaisuuteen.
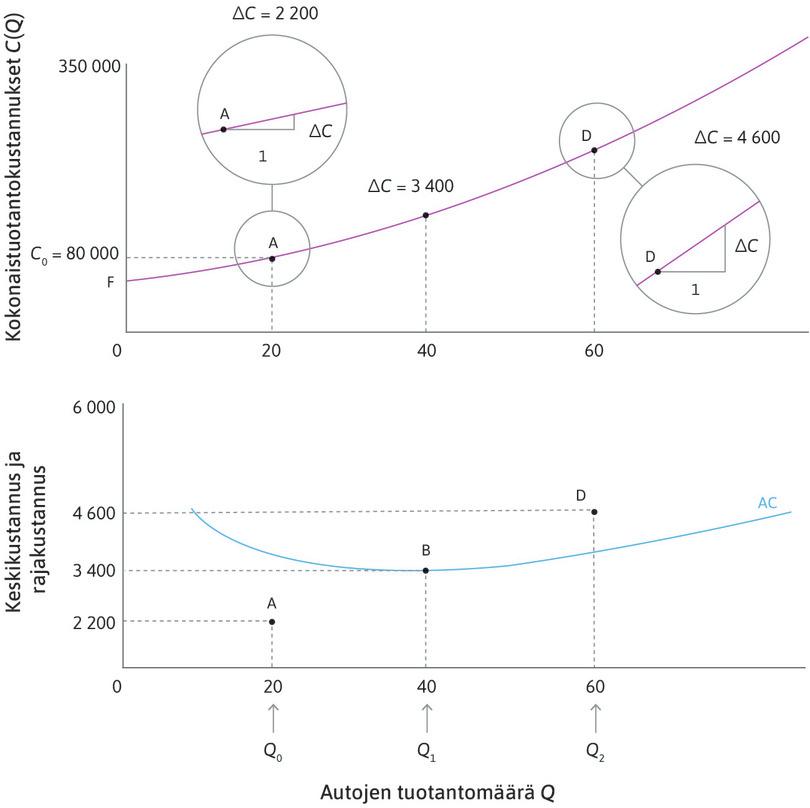
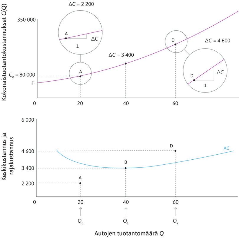
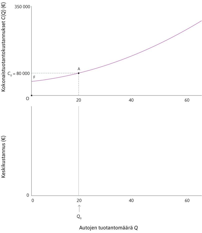
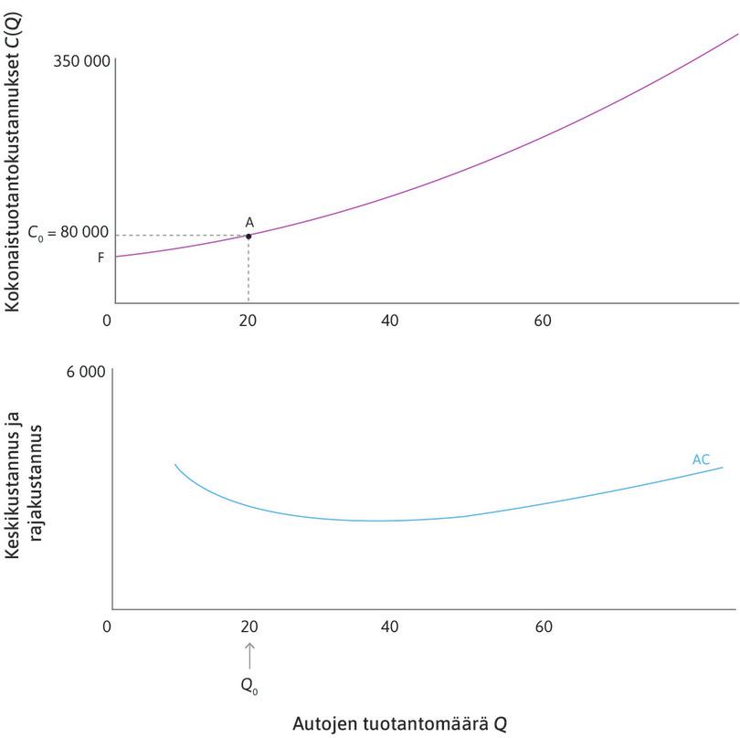
Sitä mukaa kuin tuotantoa lisätään, kokonaiskustannukset nousevat. Kuvion 7.6 ylempään kaavioon on piirretty, miten kokonaiskustannukset riippuvat päivässä tuotettujen autojen määrästä (Q). Sitä kuvaa yrityksen kustannusfunktio C(Q). Kustannusfunktiosta on laskettu auton keskikustannukset ja se, miten paljon ne muuttuvat tuotantomäärän mukaan. Keskikustannuskäyrä (AC) on piirretty kuvion alempaan kaavioon.
- kiinteät kustannukset
- Tuotantokustannukset, jotka eivät vaihtele tuotetun yksikkömäärän mukaan. Englanniksi fixed costs.
Kuviosta 7.6 nähdään, että Ajattomien Autojen keskikustannus laskee pienillä tuotantomäärillä. Keskikustannuskäyrä AC on siis laskeva. Suuremmilla tuotantomäärillä keskikustannus kasvaa, joten käyrä AC on nouseva. Kasvu voi johtua siitä, että yrityksen on lisättävä työvuorojen määrää. Kun tuotantolinja on käytössä monen työvuoron ajan, koneet rikkoutuvat useammin. Yritys voi joutua myös maksamaan ylityökorvauksia.
Rajakustannus
Rajakustannus (marginal cost, MC) on yhden lisäyksikön tuottamisen lisäkustannus, joka vastaa kustannusfunktion kulmakerrointa jokaisessa kustannusfunktion pisteessä. Jos kustannukseen tuleva lisäys on ∆C, kun tuotantomäärä kasvaa ∆Q, rajakustannuksen voi laskea seuraavasti:
\[\text{MC} = \frac{\Delta C}{\Delta Q}.\]
- rajakustannus
- Yhden lisäyksikön tuottamisen vaikutus kokonaiskustannuksiin. Rajakustannus vastaa jokaisessa pisteessä kokonaiskustannusfunktion kulmakerrointa. Englanniksi marginal cost (MC)
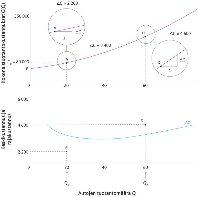
Kuvio 7.7 havainnollistaa, miten saadaan yhden lisäauton tuottamisen rajakustannus. Luvussa 3 totesimme, että tuotantofunktion rajatuotos on yhden panosyksikön lisäämisestä koituva lisätuotos, joka vastaa tuotantofunktion kulmakerrointa. Kuvio 7.7 osoittaa, että rajakustannus puolestaan vastaa kustannusfunktion kulmakerrointa.
Kuvion 7.7 alempaan kaavioon piirretty rajakustannuskäyrä saadaan laskemalla rajakustannus jokaisella tuotantomäärän Q arvolla. Koska rajakustannus on kustannusfunktion kulmakerroin ja kustannuskäyrä jyrkkenee sitä mukaa kuin Q kasvaa, rajakustannuksen kuvaaja on nouseva suora. Toisin sanoen Ajattomilla Autoilla on kasvavat rajakustannukset. Sen takia myös keskikustannukset lopulta nousevat.
Kuviossa 7.7 rajakustannus laskettiin katsomalla kustannusten muutosta ∆C, kun tuotettiin yksi auto lisää. Joskus on kätevämpää käyttää määrän lisäyksestä muuta arvoa. Jos tiedämme, että kustannukset nousevat ∆C = 12 000 euroa, kun tuotetaan viisi ylimääräistä autoa, niin voimme laskea ∆C/∆Q, jossa ∆Q = 5. Tulokseksi tulee rajakustannus MC = 2 400 euroa autoa kohti. Jos kustannusfunktio on käyrän muotoinen, pienempi ∆Q antaa tarkemman arvion.
Leibniz: Keskikustannus- ja rajakustannusfunktiot
Katsotaan seuraavaksi keskikustannus- ja rajakustannuskäyrien muotoa. Käyrät on piirretty uudestaan kuvioon 7.8. Keskikustannuskäyrä laskee niillä tuotannon Q arvoilla, jolla keskikustannus AC on suurempi kuin rajakustannus MC, ja nousee silloin, kun AC on pienempi kuin MC. Tämä ei ole sattumaa: niin käy kokonaiskustannusfunktion muodosta riippumatta. Katso kuvion 7.8 kaavioista, miksi näin on.
Kysymys 7.5 Valitse oikeat vastaukset
Kuvitellaan yritys, jolla on kiinteitä tuotantokustannuksia. Mikä seuraavista keskikustannusta (AC) ja rajakustannusta (MC) koskevista väitteistä on oikein?
- Kun AC = MC, lisäyksikön kustannus on sama kuin kaikkien jo tuotettujen yksiköiden keskikustannus. Siksi uusi keskikustannus AC on sama ja kulmakerroin on nolla.
- Käyrä MC voi olla nouseva, vaakasuora tai laskeva riippumatta kustannusten AC ja MC suhteellisesta määrästä.
- Kun AC < MC, lisäyksikön kustannus on suurempi kuin kaikkien tähänastisten yksiköiden keskikustannus. Siksi uusi keskikustannus AC on suurempi. Käyrä AC on nouseva.
- Jos rajakustannus MC on vakio, käyrä MC on vaakasuora.
Kysymys 7.6 Valitse oikeat vastaukset
Oletetaan, että muroerän yksikkökustannus on kaksi euroa tuotannon tasosta riippumatta. (Tämä tarkoittaa, ettei kiinteitä kustannuksia ole myöskään silloin, kun tuotos on nolla.) Mikä seuraavista väitteistä pitää paikkansa?
- Kokonaiskustannus = 2Q, jossa Q on tuotantomäärä. Kuvaaja on origon kautta kulkeva nouseva suora.
- Keskikustannus = 2 kaikille tuotoksille. Kuvaaja on vaakasuora viiva.
- Rajakustannus = 2 kaikille tuotoksille. Kuvaaja on vaakasuora viiva.
- Sekä keskikustannus että rajakustannus ovat kaikilla tuotannon arvoilla kaksi, joten niiden kuvaajat yhtyvät.
Harjoitus 7.2 Omena-kanelimurojen kustannusfunktio
Kustannusfunktiot voivat tietenkin olla muodoltaan toisenlaisia kuin Ajattomilla Autoilla. Cheerios-murojen tapauksessa keskikustannus oletettiin vakioksi, joten muroerän yksikkökustannus oli kaksi dollaria tuotantomäärästä riippumatta.
- Hahmottele tämän tapauksen kustannusfunktio (eli kokonaiskustannuskäyrä).
- Miltä rajakustannus- ja keskikustannusfunktiot näyttävät?
- Oletetaan nyt, että muroerän rajakustannus oli määrästä riippumatta kaksi euroa ja tuotantoon liittyi lisäksi kiinteitä tuotantokustannuksia. Piirrä kokonaiskustannusten, rajakustannusten ja keskikustannusten kuvaajat.
- laajuushyödyt
- Kustannussäästöt, jotka koituvat siitä, että yksi yritys valmistaa kahta tai useampaa tuotetta sen sijaan, että ne tuotettaisiin eri yrityksissä. Englanniksi economies of scope.
Taloustieteilijät Rajindar ja Manjulika Koshal ovat tutkineet Yhdysvaltain yliopistojen kustannusfunktioita.3 He arvioivat 171 julkisen yliopiston perustutkinto- ja jatko-opiskelijoiden kouluttamisen rajakustannuksia ja keskikustannuksia lukuvuonna 1990–1991. Harjoituksessa 7.3 näemme, että he totesivat keskikustannukset laskeviksi. He havaitsivat niin ikään, että yliopistot saivat laajuushyötyjä: ne säästivät kustannuksissa tuottamalla monta eri tuotetta eli peruskoulutusta, jatkokoulutusta ja tutkimusta.4
Taloustieteilijä George Stigler kirjoittaa kustannuksista mukaansatempaavasti teoksensa The Theory of Price luvussa 7.5
Harjoitus 7.3 Yliopisto-opetuksen kustannusfunktiot
Taulukkoon on koottu Rajindar ja Manjulika Koshalin laskemat keskikustannukset ja rajakustannukset opiskelijaa kohti lukuvuonna 1990–1991.
Opiskelijoita MC ($) AC ($) Kokonaiskustannukset ($) Perustutkinto-opiskelijoita 2 750 7 259 7 659 21 062 250 5 500 6 548 7 348 40 414 000 8 250 5 838 7 038 11 000 5 125 6 727 73 997 000 13 750 4 417 6 417 88 233 750 16 500 3 706 6 106 100 749 000 Opiskelijoita MC ($) AC ($) Kokonaiskustannukset ($) Jatko-opiskelijoita 550 6 541 12 140 6 677 000 1 100 6 821 9 454 10 339 400 1 650 7 102 8 672 2 200 7 383 8 365 18 403 000 2 750 7 664 8 249 22 684 750 3 300 7 945 8 228 27 152 400
- Miten keskikustannukset muuttuvat, kun opiskelijamäärä kasvaa?
- Laske kokonaiskustannusten sarakkeesta puuttuvat luvut keskikustannuslukujen avulla.
- Piirrä kaavio perustutkinto-opiskelijoiden keskikustannuskäyristä. Merkitse kustannukset pystyakselille ja opiskelijamäärä vaaka-akselille. Piirrä toiseen kaavioon jatko-opiskelijoiden kustannuskäyrät.
- Minkä muotoisia perustutkinto- ja jatko-opiskelijoiden kokonaiskustannusfunktiot ovat? (Käytä funktioiden hahmottelussa apuna rajakustannuksia ja keskikustannuksia.) Piirrä funktiot samaan kaavioon käyttämällä kokonaiskustannussarakkeen lukuja.
- Mitkä ovat suurimmat erot perustutkinto- ja jatko-opiskelijoiden kustannusrakenteiden välillä?
- Keksitkö selityksiä piirtämiesi kuvaajien muodolle?
7.4 Kysyntä ja samavoittokäyrät: Ajattomat Autot
- erilaistettu tuote
- Vain yhden yrityksen valmistama tuote, jolla on muiden yritysten samankaltaisiin tuotteisiin verrattuna ainutlaatuisia ominaisuuksia. Englanniksi differentiated product.
Kaikki autot eivät ole samanlaisia. Autot ovat erilaistettuja tuotteita. Jokaista merkkiä ja mallia tuottaa vain yksi yritys, ja ne erottuvat muiden yritysten valmistamista autoista muotoilun, suorituskyvyn tai muiden ainutlaatuisten ominaisuuksien perusteella.
Erilaistettua tuotetta myyvällä yrityksellä on yleensä laskeva kysyntäkäyrä. Näimme siitä jo esimerkin, nimittäin omena-kanelimurot. Jos Ajattoman Auton hinta on korkea, kysyntä jää vähäiseksi, koska sitä ostavat vain ne, jotka pitävät Ajattomia Autoja selvästi muita automerkkejä parempina. Kun hinta laskee, Fordin ja Volvon ostajatkin kiinnostuvat Ajattomasta Autosta.
Kysyntäkäyrä
Tuotteen kysyntäkäyrä kertoo, montako kappaletta tuotetta kuluttajat ostavat kullakin mahdollisella hinnalla. Laaditaan Ajattomien Autojen kysynnästä yksinkertainen malli kuvittelemalla sata mahdollista kuluttajaa, joista jokainen ostaisi tänään Ajattoman Auton, jos se olisi riittävän edullinen.
- maksuhalukkuus
- Osoittaa, kuinka paljon henkilö arvostaa tuotetta. Maksuhalukkuutta mittaa maksimisumma, jonka henkilö maksaisi tuotteesta. Englanniksi willingness to pay (WTP). Katso myös: hyväksymishalukkuus.
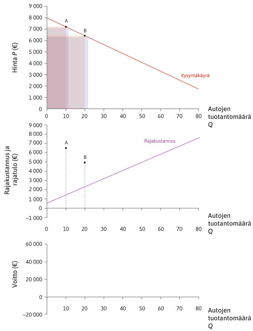
Jokaisella kuluttajalla on jonkinlainen Ajatonta autoa koskeva maksuhalukkuus (englanniksi willingness to pay, WTP). Sen suuruus riippuu siitä, miten paljon asiakas arvostaa tuotetta edellyttäen, että hänellä on siihen ylipäänsä varaa. Kuluttaja ostaa auton, jos hinta on alhaisempi tai sama kuin hänen maksuhalukkuutensa. Järjestetään kuluttajat nyt mielessämme maksuhalukkuuden mukaan ja piirretään kaavio, joka näyttää, miten maksuhalukkuus vaihtelee (kuvio 7.9). Jos valitsemme esimerkiksi hinnan P = 3 200 euroa, kaavio kertoo, monenko kuluttajan maksuhalukkuus on vähintään näin suuri. Tässä tapauksessa 60 kuluttajaa on valmiita maksamaan vähintään 3 200 euroa, joten autojen kysyntä 3 200 euron hinnalla on 60 kappaletta.
Kuvio 7.9 Autojen kysyntä (päivässä).
Kysynnän laki juontuu 1600-luvulta, ja sen keksijöiksi mainitaan Gregory King (1648–1712) ja Charles Davenant (1656–1714). King oli vaakunatieteen tuntija Lontoon College of Armsissa. Hän teki yksityiskohtaisia arvioita Englannin väestöstä ja varallisuudesta. Poliitikko Davenant muotoili vuonna 1699 Kingin tietojen pohjalta ”Kingin ja Davenantin kysyntälain”. Laki kuvasi vehnän hinnan muuttumista sadon koon mukaan. Davenant laski esimerkiksi, että jos kymmenesosa sadosta meni pilalle tai jäi saamatta, hinta nousi 30 prosenttia.
Jos hinta P on pienempi, ostohalukkaita kuluttajia on enemmän, joten kysyntä on suurempaa. Kysyntäkäyrät piirretään usein suorina viivoina, niin kuin tässäkin esimerkissä. Todellisuudessa niitä ei suinkaan voi aina olettaa suoriksi: näimme edellä, että Cheerios-murojen kysyntäkäyrä oli kaareva. Kysyntäkäyrien voi odottaa laskevan: kun hinta nousee, kysyntä vähenee. Kun tuotetta on tarjolla vähän, sitä voi myydä korkeaan hintaan. Tätä hinnan ja määrän suhdetta sanotaan joskus kysynnän laiksi.
Kysymys 7.7 Valitse oikeat vastaukset
Kaaviossa on kaksi vaihtoehtoista tuotteen kysyntäkäyrää, D ja D′. Mitkä seuraavista pitävät kaavion mukaan paikkansa?
- Kun hinta on 5 000 puntaa, yritys voi myydä kysyntäkäyrällä D kymmenen tuoteyksikköä.
- Kun Q = 70, vastaava hinta kysyntäkäyrällä D′ on 3 000 puntaa.
- Kysyntäkäyrä D′ on sama kuin kysyntäkäyrä D siirrettynä oikealle 40 yksikön verran. Yritys voi siis myydä kysyntäkäyrällä D′ aina 40 yksikköä enemmän kuin kysyntäkäyrällä D, oli hinta mikä tahansa.
- Kun tuotanto on 30 yksikköä, yritys voi veloittaa kysyntäkäyrällä D′ 4 000 puntaa enemmän kuin kysyntäkäyrällä D.
Murovalmistajan tavoin myös Ajattomat Autot valitsee hinnan P ja määrän Q ottaen huomioon kysyntäkäyränsä ja tuotantokustannuksensa. Kysyntäkäyrä ilmaisee hinnan P ja määrän Q yhdistelmien mahdollisuuksien joukon. Seuraavaksi etsimme voiton maksimoivan pisteen tuttuun tapaan piirtämällä samavoittokäyrät ja hakemalla sivuamispisteen.
Samavoittokäyrät
Yrityksen voitto on sen tulojen (hinta kerrottuna myydyllä määrällä) ja kokonaiskustannusten C(Q) välinen erotus:
\[\begin{align*} \text{voitto} &= \text{kokonaistulot} - \text{kokonaiskustannukset} \\ &= PQ - \text{C}(Q). \end{align*}\]- taloudellinen voitto
- Yrityksen tulot vähennettynä kokonaiskustannuksilla (mukaan luettuna pääoman vaihtoehtoiskustannus). Englanniksi economic profit.
- normaalivoitto
- Tilanne, jossa taloudellinen voitto on nolla ja voittoprosentti on yhtä suuri kuin pääoman vaihtoehtoiskustannus. Englanniksi normal profits. Katso myös: taloudellinen voitto, pääoman vaihtoehtoiskustannus.
Tämän laskelman tuloksena on taloudellinen voitto. On tärkeää muistaa, että kustannusfunktio sisältää pääoman vaihtoehtoiskustannuksen eli summan, jonka osakkeenomistajat vaativat sijoituksensa vastineeksi. Vaihtoehtoiskustannuksesta käytetään nimitystä normaalivoitto. Taloudellinen voitto taas on osakkeenomistajien vaatiman vähimmäistuoton ylittävä voitto.
Voitto voidaan laskea myös kertomalla tuotantoyksiköiden määrä yksikkövoitolla, joka on hinnan ja keskikustannuksen erotus:
\[\begin{align*} \text{voitto} &= Q(P - \frac{\text{C}(Q)}{Q}) \\ &= Q(P - \text{AC}). \end{align*}\]Yhtälöstä voi päätellä, että samavoittokäyrien muoto riippuu keskikustannuskäyrän muodosta. Aiemmin totesimme, että Ajattomien Autojen keskikustannuskäyrä alenee määrään Q = 40 asti ja lähtee sen jälkeen nousuun. Kuviossa 7.10 näkyvät vastaavat samavoittokäyrät. Ne näyttävät samanlaisilta kuin kuvion 7.3 Cheerios-käyrät, mutta erojakin on, koska keskikustannusfunktion muoto on erilainen. Alimmalla (vaaleimman sinisellä) käyrällä taloudellinen voitto on nolla. Se sisältää ne hinnan ja määrän yhdistelmät, joilla hinta on täsmälleen sama kuin keskikustannus.
Kuviosta 7.10 on tärkeää huomata kaksi seikkaa:
- Samavoittokäyrät ovat laskevia pisteissä, joissa P > MC.
- Samavoittokäyrät ovat nousevia pisteissä, joissa P < MC.
- voittomarginaali
- Hinnan ja rajakustannuksen erotus. Englanniksi profit margin.
Hinnan ja rajakustannuksen erotusta sanotaan voittomarginaaliksi. Jokaisessa samavoittokäyrän pisteessä kulmakerroin on
\[\begin{align*} \text{samavoittokäyrän kulmakerroin} &= –\frac{(P - \text{MC})}{Q} \\ &= -\frac{\text{voittomarginaali}}{\text{määrä}} \end{align*}\]Yhtälö on helpompi ymmärtää, kun ajattelet kuvion 7.10 pistettä G, jossa Q = 23 ja hinta on paljon rajakustannusta korkeampi. Jos
- määrä Q kasvaa yhdellä yksiköllä
- hintaa P vähennetään (P − MC) / Q
niin voitto säilyy ennallaan, koska 24. autosta saatu lisävoitto (P − MC) hupenee 23 muun auton tuottojen laskuun (P − MC).
Leibniz: Samavoittokäyrät ja niiden kulmakertoimet
Sama logiikka pätee jokaisessa pisteessä, jossa P > MC. Voittomarginaali on positiivinen, joten kulmakerroin on negatiivinen. Sama pätee silloinkin, kun P < MC. Tässä tapauksessa voittomarginaali on negatiivinen, joten kun määrä kasvaa yhdellä yksiköllä, voiton vakiona pysymiseen tarvitaan hinnannousu. Samavoittokäyrä on nouseva.
Kysymys 7.8 Valitse oikeat vastaukset
Kaavioon on piirretty yrityksen rajakustannuskäyrä (MC), keskikustannuskäyrä (AC) ja kaksi samavoittokäyrää. Mitä kaavion tiedoista voi päätellä?
- Voitto on nolla missä tahansa käyrän AC pisteessä, koska hinta on yhtä kuin keskikustannus ja voitto = myyty määrä × (hinta – keskikustannus).
- Pisteen B kautta kulkevan samavoittokäyrän voiton voi laskea pisteessä Q = 10, jossa AC = 20 ja P = 40. Voitto on (40 − 20) × 10 = 200.
- Pisteen C kautta kulkevan samavoittokäyrän voiton voi laskea pisteessä Q = 10, jossa AC = 20 ja P = 70. Voitto on (70 − 20) × 10 = 500. Pisteessä C määrä Q = 20, joten voitto yksikköä kohti on (P − AC) = 25. Koska AC = 25, hinnan P täytyy olla 50.
- Pisteen B kautta kulkevan samavoittokäyrän voiton voi laskea pisteessä Q = 10, jossa AC = 20 ja P = 40. Voitto on (40 − 20) × 10 = 200. Pisteessä B määrä Q = 20, joten voitto yksikköä kohti on (P − AC) = 10. Koska AC = 25, hinnan P täytyy olla 35.
Harjoitus 7.4 Samavoittokäyrät
Cheerios-murojen samavoittokäyrät ovat laskevia aina, mutta Ajattomien Autojen samavoittokäyrät ovat laskevia pienillä määrän Q arvoilla ja nousevia suurilla määrän Q arvoilla.
- Molemmissa tapauksissa ylemmät samavoittokäyrät lähestyvät keskikustannuskäyrää, kun määrä kasvaa. Miksi?
- Mistä erot samavoittokäyrien muodossa johtuvat?
7.5 Voiton maksimoiva hinta ja määrä
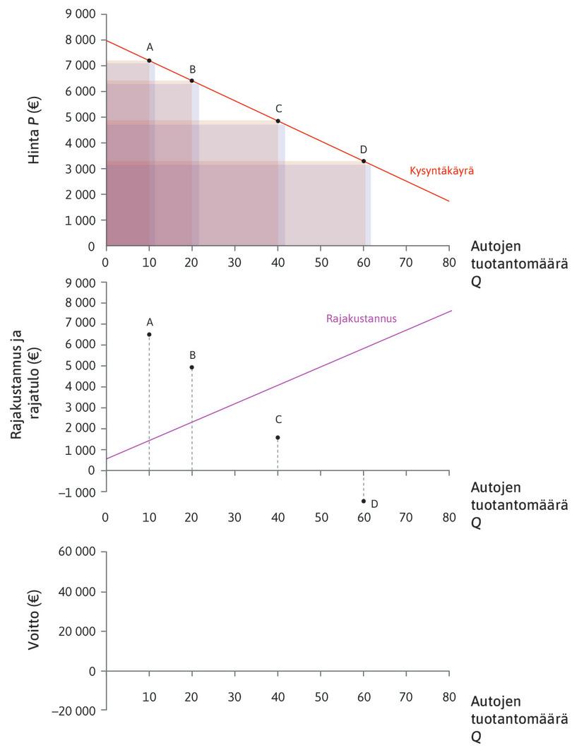
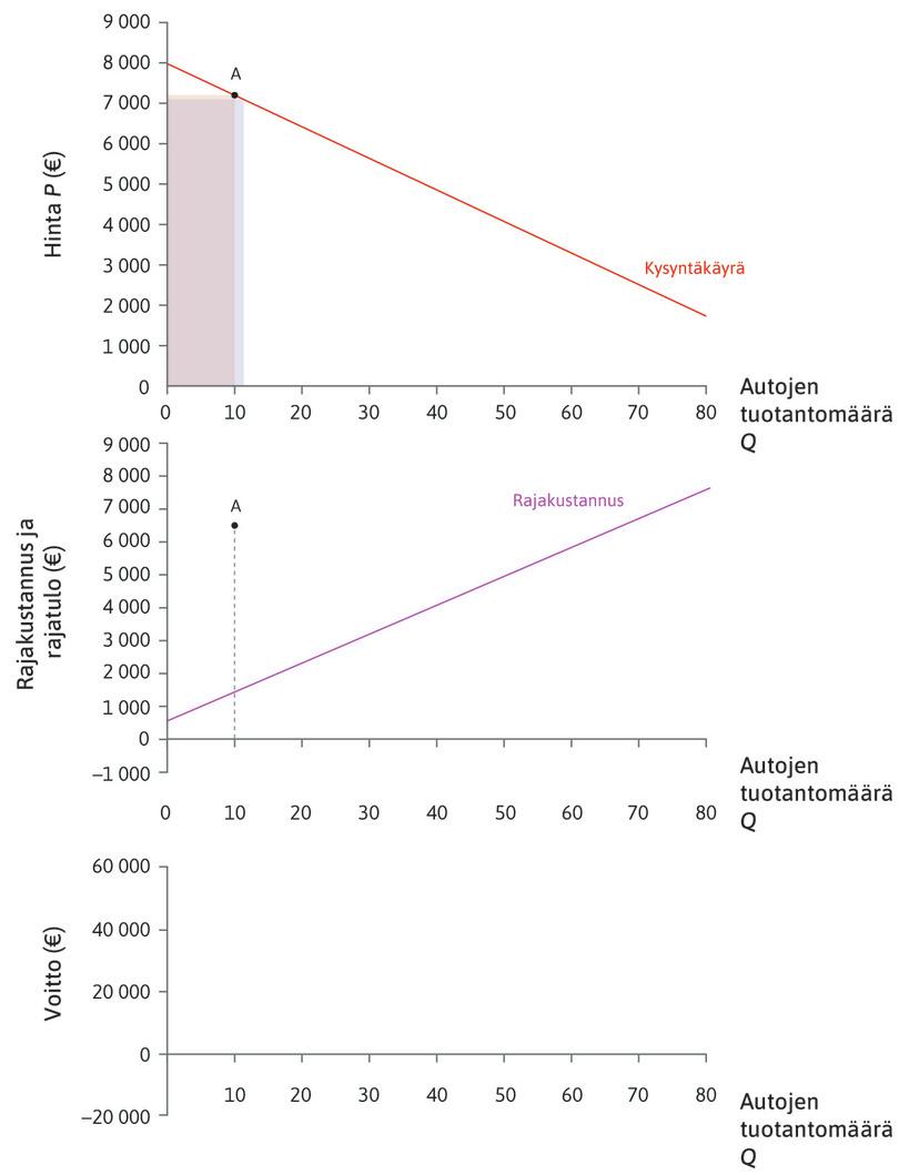
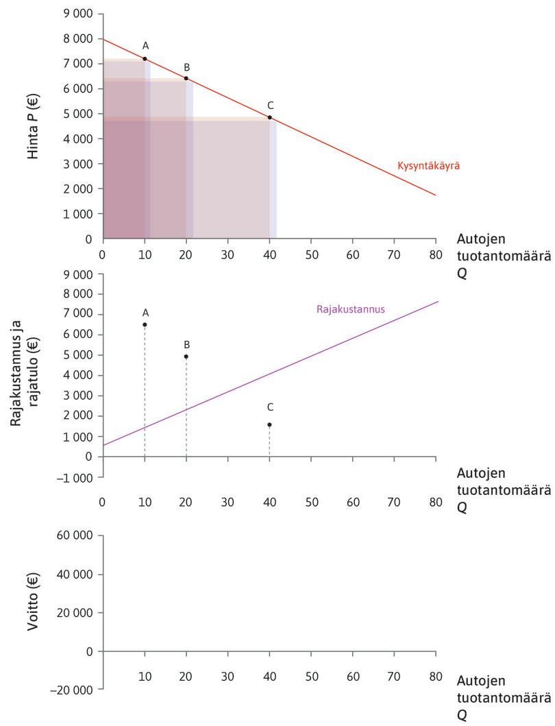
Kuvioon 7.11 on piirretty Ajattomien Autojen kysyntäkäyrä ja samavoittokäyrät. Mikä on valmistajalle paras hinnan ja määrän yhdistelmä?
Mahdollisia yhdistelmiä ovat ainoastaan kysyntäkäyrällä tai sen alapuolella sijaitsevat pisteet, jotka ovat kaaviossa värillisellä alueella. Voiton maksimoimiseksi yrityksen pitäisi valita sivuamispiste E, joka on ylimmällä mahdollisella samavoittokäyrällä.
Kuvio 7.11 Ajattomien Autojen voiton maksimoiva hinnan ja määrän yhdistelmä.
Voiton maksimoivat hinta ja määrä ovat P* = 5 440 euroa ja Q* = 32. Voitto on silloin 63 360 euroa. Kuten Cheerios-murojen tapauksessa, ihanteellinen hinnan ja määrän yhdistelmä on se, jossa seuraavat kaksi vaihtosuhdetta kohtaavat: vaihtosuhde, jolla yritys on halukas laskemaan määrää saadakseen paremman hinnan tai päinvastoin, kun voitto on sama, ja vaihtosuhde, jolla se joutuu kysyntäkäyrän rajoittamana tekemään valinnan hinnan ja määrän välillä.
Yritys maksimoi voiton kysyntäkäyrän ja samavoittokäyrän sivuamispisteessä, jossa kysyntäkäyrän kulmakerroin on yhtä suuri kuin samavoittokäyrän kulmakerroin:
- Kysyntäkäyrä on mahdollisuuksien raja, ja sen kulmakerroin on hinnanlaskun ja myyntimäärän kasvun välinen rajamuunnossuhde (MRT).
- Samavoittokäyrä on samahyötykäyrä, ja sen kulmakerroin on voiton tekemisen rajasubstituutiosuhde (MRS) lisämyynnin ja hinnannoston välillä.
Voiton maksimoivassa pisteessä E rajamuunnossuhde on yhtä suuri kuin rajasubstituutiosuhde.
Leibniz: Voiton maksimoiva hinta
Ajattomat Autot on autoteollisuuden monikansallisiin jätteihin verrattuna pieni yritys. Siispä se päättää tehdä vain 32 autoa päivässä. Se muistuttaa tuotantomäärältään (joskaan ei hinnoiltaan) Aston-Martinin, Rolls Roycen ja Lamborghinin kaltaisia ylellisyysautojen valmistajia, jotka tuottavat kukin alle 5 000 autoa vuodessa. Yrityksen kokoa rajoittaa osaltaan kysyntäfunktio: Ajattomilla Autoilla on hinnasta riippumatta vain sata mahdollista ostajaa päivässä. Pitkällä aikavälillä yritys voi kasvattaa kysyntää mainonnan avulla saattamalla tuotteen useampien kuluttajien tietoisuuteen ja vakuuttamalla heidät sen hyvistä ominaisuuksista. Jos yritys haluaa laajentaa tuotantoaan, sen on kuitenkin tarkasteltava myös kustannusrakennettaan kuvion 7.7 tapaan. Tällä haavaa Ajattomien Autojen rajakustannukset kasvavat nopeasti, joten kun päivätuotos ylittää 40 autoa, keskikustannus kääntyy kasvuun. Nykyisissä tiloissa ja nykyisillä koneilla tuotantomäärää on vaikea nostaa. Investointi uusiin koneisiin voisi auttaa laskemaan rajakustannusta ja mahdollistaa laajentumisen.
Rajoitettu optimointiongelma
- rajoitetun valinnan ongelma
- Tilanne, jossa yksilö pyrkii omalta kannaltaan parhaaseen lopputulokseen preferenssiensä mukaisesti niukkuuden oloissa, kun häntä koskevat tietyt rajoitteet. Englanniksi constrained choice problem. Katso myös: rajoitettu optimointiongelma.
Voiton maksimointi on rajoitetun valinnan ongelma, johon olemme tutustuneet edellisten lukujen esimerkeissä: Alexein opiskeluaikaongelma, sinun ja Angelan työaikavalinnat ja Marian työnantajan palkanvalinta.
Kaikissa ongelmissa toistuu sama rakenne.
- Päätöksentekijä päättää yhden tai useamman muuttujan arvon saavuttaakseen tavoitteen. Ajattomien Autojen tapauksessa muuttujia ovat hinta ja määrä.
- Tavoitteena on optimoida jotain: maksimoida hyöty, minimoida kustannukset tai maksimoida voitto.
- Päätöksentekijällä on rajoite, joka kaventaa mahdollisuuksien joukkoa: Angelan tuotantofunktio, sinun budjettirajoitteesi, Marian parhaan vasteen käyrä, Ajattomien Autojen kysyntäkäyrä.
Olemme kuvanneet jokaisen päätöksentekijän valintatilanteen graafisesti esittämällä tavoitetta kuvaavat samahyöty-, samakustannus- tai samavoittokäyrät sekä rajoitteen saneleman mahdollisuuksien joukon. Ongelman ratkaisu on sivuamispisteessä, jossa rajasubstituutiosuhde eli samahyötykäyrän kulmakerroin on yhtä suuri kuin rajamuunnossuhde eli rajoitteen kulmakerroin.
Rajoitettu optimointiongelma
Päätöksentekijä valitsee yhden tai useamman muuttujan arvon
- saavuttaakseen tavoitteen
- mahdollisuuksien joukkoa kaventavan rajoitteen puitteissa.
Rajoitetulla optimoinnilla on taloustieteessä monia sovelluksia. Optimointiongelmia voi ratkaista matemaattisesti ja graafisesti.
Kysymys 7.9 Valitse oikeat vastaukset
Kuviossa 7.11 on Ajattomien Autojen kysyntäkäyrä sekä rajakustannus- ja samavoittokäyrät. Määrän ja hinnan yhdistelmä pisteessä E on (Q*, P*) = (32, 5 440). Auton valmistamisen keskikustannus on 50 ja 32 auton tapauksessa sama. Oletetaan, että yritys pitää hinnan 5 440 eurossa mutta tuottaa 32 auton sijasta 50. Mikä seuraavista väittämistä pitää paikkansa?
- Kysyntäkäyrä osoittaa, että kun hinta on 5 440 euroa, yritys ei saa myydyksi enempää kuin 32 autoa.
- Yrityksen voitto vähenee myymättä jäävien 18 auton tuotantokustannusten verran.
- Yrityksen voitto vähenee myymättä jäävien 18 auton tuotantokustannusten verran.
- Yrityksen voitto vähenee myymättä jäävien 18 auton tuotantokustannusten verran.
Kysymys 7.10 Valitse oikeat vastaukset
Kuviossa 7.11 on Ajattomien Autojen kysyntäkäyrä sekä rajakustannus- ja samavoittokäyrät. Pisteessä E määrän ja hinnan yhdistelmä on (Q*, P*) = (32, 5 440) ja voitto on 63 360 euroa.
Oletetaan, että yritys päättää tuottaa Q = 32 autoa ja valitsee hinnan P = 5 400 euroa. Mikä seuraavista väitteistä pitää paikkansa?
- Koska Q on edelleen 32, tuotantokustannukset pysyvät ennallaan mutta tuotot vähenevät, joten voitto pienenee.
- Koska Q on edelleen 32, tuotantokustannukset säilyvät ennallaan. Tuotot vähenevät 40 euroa autoa kohti eli yhteensä 1 280 euroa. Voitto on siis 63 360 – 1 280 = 62 080 euroa.
- Pisteessä E, jossa Q* = 32 ja P* = 5 440 euroa, voitto on 63 360 euroa. Voittoa autoa kohti on 63 360/32 = 1 980 euroa. Koska 5 440 – AC = 1 980 euroa, keskikustannus AC on 3 460 euroa. Keskikustannus ei riipu hinnasta.
- Alhaisemmalla hinnalla kysyntä on suurempi kuin 32, joten yritys voi helposti myydä kaikki 32 autoa uudella hinnalla.
Kysymys 7.11 Valitse oikeat vastaukset
Kuviossa 7.11 on Ajattomien Autojen kysyntäkäyrä sekä rajakustannus- ja samavoittokäyrät.
Oletetaan, että yritys päättää siirtyä hinnasta P* = 5 440 euroa ja määrästä Q* = 32 kalliimpaan hintaan ja valitsee uuden hinnan mukaisen voiton maksimoivan tuotantomäärän. Mikä seuraavista väitteistä pitää paikkansa?
- Kun hinta on korkeampi kuin P*, kaupaksi menevien autojen enimmäismäärä on pienempi kuin 32, eikä yritys valmista enempää autoja kuin se saa myydyksi.
- Yritys valmistaa alle 32 autoa. Rajakustannuskäyrä on nouseva, joten tuotantomäärän vähetessä rajakustannus laskee.
- Yritys tuottaa alle 32 autoa, joten sen kokonaiskustannukset laskevat.
- Mikä tahansa muu mahdollinen piste kuin E on alemmalla samavoittokäyrällä.
7.6 Voiton maksimointi rajatulon ja rajakustannuksen avulla
Edellisessä alaluvussa nähtiin, että Ajattomien Autojen voiton maksimoiva valinta oli piste, jossa kysyntäkäyrä sivusi ylintä samavoittokäyrää. Voiton maksimoidakseen yrityksen pitäisi tuottaa Q = 32 autoa ja myydä ne hintaan P = 5 440 euroa.
- rajatulo
- Tulojen lisäys, joka saadaan, kun määrä kasvaa arvosta Q arvoon Q + 1. Englanniksi marginal revenue (MR).
Seuraavaksi etsimme voiton maksimoivan pisteen toisella tavalla ilman samavoittokäyriä. Tarkastelemme niiden sijaan rajatulokäyrää. Jos Q autoa myydään hintaan P, tulot R saadaan kaavasta R = P × Q. Rajatulo (englanniksi marginal revenue, MR) on tulojen lisäys, kun määrä Q kasvaa yhdellä (Q + 1).
Kuvio 7.12a havainnollistaa rajatulon laskemista, kun Q = 20. Laskemme siis, miten paljon tulot kasvavat, jos määrä kasvaa yhdellä yksiköllä.
Kuvio 7.12a osoittaa, että yrityksen tulot ovat kysyntäkäyrän alle piirretyn nelikulmion ala. Kun määrä Q kasvaa 20 autosta 21 autoon, tulot muuttuvat kahdesta syystä. Ylimääräinen auto myydään uudella hinnalla, mutta koska uusi hinta on halvempi, kun Q = 21, yritys menettää 20 muun auton myynnissä 80 euron tulot jokaiselta autolta. Rajatulo on näiden kahden muutoksen nettovaikutus.
Kuviossa 7.12b piirretään rajatulokäyrä, jonka avulla voi etsiä maksimivoiton. Yläosassa on kysyntäkäyrä ja keskellä rajakustannuskäyrä. Kuviosta 7.12b näet, miten niiden perusteella voi laskea ja piirtää rajatulokäyrän. Kun hinta P on suuri ja määrä Q pieni, rajatulo MR on suuri: yhden lisäauton myynnistä saatava hyöty on suurempi kuin muiden autojen myyntitulojen yhteenlaskettu menetys. Kun kysyntäkäyrällä siirrytään alaspäin, P laskee (joten viimeisten autojen tuottama hyöty pienenee) ja Q kasvaa (jolloin yhteenlaskettu tulojen menetys muilta autoilta on isompi). Näin ollen rajatulo MR laskee ja muuttuu lopulta negatiiviseksi.
Rajatulokäyrä on tavallisesti (vaikkei välttämättä) laskeva suora. Kuvion 7.12b kahdesta alimmasta kaaviosta näkyy, että voiton maksimoiva piste on siinä, missä käyrä MR leikkaa käyrän MC. Tämä on luonnollista, koska voitto on tulojen ja kustannusten erotus. Kun Q kasvaa yhden yksikön verran, voiton muutos eli rajavoitto on tulojen muutoksen ja kustannusten muutoksen erotus:
\[\begin{align*} \text{voitto} &= \text{kokonaistulot} - \text{kokonaiskustannukset} \\ \text{rajavoitto} &= \text{MR} - \text{MC} \end{align*}\]Tällöin pätee:
- Jos MR > MC, yritys voisi kasvattaa voittoa lisäämällä määrää Q.
- Jos MR < MC, rajavoitto on negatiivinen. Määrää Q kannattaisi vähentää.
Leibniz: Rajatulo ja rajakustannus
Kuvion 7.12b alimmasta kaaviosta näkyy, miten voitto muuttuu määrän Q vaihdellessa. Rajavoitto on voittofunktion kulmakerroin, aivan kuten rajakustannus on kustannusfunktion kulmakerroin. Tässä tapauksessa:
- Kun Q < 32, MR > MC: Rajavoitto on positiivinen, joten kun Q kasvaa, voitto kasvaa.
- Kun Q > 32, MR < MC: Rajavoitto on negatiivinen; kun Q laskee, voitto vähenee.
- Kun Q = 32, MR = MC: Voitto saavuttaa maksimin.
Kysymys 7.12 Valitse oikeat vastaukset
Kuvioon on piirretty Ajattomien Autojen rajakustannus- ja rajatulokäyrät. Mikä seuraavista väitteistä pitää kuvion perusteella paikkansa?
- Kun Q = 40, rajakustannus on suurempi kuin rajatulo, joten rajavoitto on negatiivinen. Tämä ei tarkoita, että voitto olisi negatiivinen.
- Kun Q = 10, rajatulo on suurempi kuin jos Q = 20. Koska rajatulo on positiivinen tuotannon kasvaessa 10 yksiköstä 20 yksikköön, tulot kuitenkin kasvavat: ne ovat suuremmat, kun Q = 20.
- Rajavoitto on pisteessä E nolla. Se on kuitenkin voiton maksimoiva piste, joten yritys valitsee sen.
- Rajatulo on pisteeseen E asti kaikilla tuotannon arvoilla suurempi kuin rajakustannus. Siten voitto kasvaa tuotannon kasvaessa. Voitto on suurempi määrällä Q = 20 kuin määrällä Q = 10.
7.7 Kaupankäynnin hyödyt
- ylituotto
- Maksu tai muu etu, jonka valinnan tekijä saa sen lisäksi, mitä olisi saanut toiseksi parhaasta vaihtoehdosta eli reservaatio-optiosta. Englanniksi economic rent. Katso myös: reservaatio-optio.
- vaihdannan hyödyt
- Vaihdantatapahtuman osapuolten saamat hyödyt verrattuna siihen, mitä he olisivat saaneet ilman vaihdantaa. Englanniksi gains from exchange. Synonyymi: kaupankäynnin hyödyt. Katso myös: ylituotto.
- Pareto-tehokas
- Allokaatio on Pareto-tehokas, jos sille ei ole sellaista teknisesti mahdollista vaihtoehtoa, joka parantaisi ainakin yhden henkilön asemaa huonontamatta kenenkään muun asemaa. Englanniksi pareto efficient.
Muistanet luvusta 5, että vapaaehtoiseen taloudelliseen vuorovaikutukseen kannustaa mahdollisuus parantaa omaa asemaansa: vuorovaikutuksesta voi saada ylituottoa. Vaihdannan hyötyjä eli kaupankäynnin hyötyjä voi mitata osapuolten yhteenlasketulla ylijäämällä. Kuluttajien ja yrityksen vuorovaikutusta voi eritellä samalla tavalla kuin Angelan ja Brunon vuorovaikutusta luvussa 5 arvioimalla kokonaisylijäämää ja sen jakautumista Pareto-tehokkuuden ja oikeudenmukaisuuden kannalta.
Olemme tässä luvussa olettaneet, että murojen ja autojen allokaatiota koskevat seuraavat pelisäännöt:
- Yritys päättää tuotantomäärän ja hinnan.
- Sen jälkeen kuluttajat päättävät, ostavatko he tuotetta.
Nämä säännöt vastaavat kulutustavaroille tyypillisiä markkinainstituutioita. Muitakin vaihtoehtoja voi kuvitella: autoja haluava ihmisryhmä voisi yhdessä listata, mitä autolta toivoo, ja kilpailuttaa valmistajia.
Ajattomien Autojen kaltaisen yrityksen ja kuluttajien välisessä vuorovaikutuksessa kumpikin osapuoli voi hyötyä, kunhan yritys pystyy valmistamaan auton halvemmalla kuin sen arvo kuluttajalle on. Kysyntäkäyrä kertoo kaikkien mahdollisten asiakkaiden maksuhalukkuuden. Jos kuluttajan maksuhalukkuus on hintaa suurempi, hän ostaa tuotteen ja saa ylijäämää, koska autolla on hänelle hintaa suurempi arvo.
- kokonaisylijäämä
- Vuorovaikutuksen osapuolten saamien ylituottojen summa. Englanniksi joint surplus. Synonyymi: vaihdannan kokonaishyödyt.
Samalla tavalla rajakustannuskäyrä näyttää, paljonko seuraavan auton valmistaminen maksaa. Jos lähdetään määrästä Q = 0, rajakustannuskäyrältä näkee, paljonko ensimmäisen auton valmistus maksaa, sitten toisen, sitten kolmannen ja niin edelleen. Jos rajakustannus on hintaa pienempi, yrityskin saa ylijäämää. Kuvio 7.13 havainnollistaa yrityksen ja kuluttajien kokonaisylijäämää, kun Ajattomat Autot valitsee voittonsa maksimoivan hinnan.
- kuluttajan ylijäämä
- Kuluttajan maksuhalukkuuden ja hänen hyödykkeestä maksamansa hinnan erotus jokaiselta ostetulta yksiköltä. Englanniksi consumer surplus.
- tuottajan ylijäämä
- Yrityksen hyödykkeestä perimän hinnan ja rajakustannuksen erotus jokaiselta myydyltä yksiköltä. Englanniksi producer surplus.
Kuluttajan ylijäämä, tuottajan ylijäämä, voitto
- Kuluttajan ylijäämä kertoo, paljonko kuluttajat hyötyvät markkinoille osallistumisesta.
- Tuottajan ylijäämä liittyy läheisesti yrityksen voittoon muttei ole aivan sama asia. Tuottajan ylijäämä on yrityksen tulojen ja kaikkien tuotettujen yksiköiden rajakustannusten erotus, mutta siihen ei lueta mukaan kiinteitä kustannuksia, joita syntyy silloinkin, kun määrä Q = 0.
- Voitto on tuottajan ylijäämä vähennettynä kiinteillä kustannuksilla.
- Yrityksen ja kuluttajien kokonaisylijäämä on kuluttajien ja tuottajan ylijäämien summa.
Kuviossa 7.13 hinnan P* yläpuolella näkyvä oranssi ala tarkoittaa kuluttajan ylijäämää ja hinnan P* alapuolella näkyvä violetti ala tuottajan ylijäämää. Alojen kokoa vertaamalla voi nähdä, että näillä markkinoilla yritys saa ylijäämästä suuremman osuuden.
Kuten Angelan ja Brunon vapaaehtoisissa sopimuksessa, myös Ajattomien Autojen markkinoilla molemmat osapuolet hyötyvät ja hyötyjen jakautuminen riippuu neuvotteluvoimasta. Tässä tapauksessa yrityksellä on enemmän neuvotteluvoimaa kuin kuluttajilla, koska se on ainoa Ajattomien Autojen myyjä. Se voi asettaa korkeamman hinnan ja saada leijonanosan hyödyistä, sillä se tietää, ettei autoa arvostavilla kuluttajilla ole muuta vaihtoehtoa kuin hyväksyä hinta. Yksittäinen kuluttaja ei pysty tinkimään parempaa hintaa, koska yrityksellä on monia muita mahdollisia asiakkaita.
Pareto-tehokkuus
- Pareto-tehokas
- Allokaatio on Pareto-tehokas, jos sille ei ole sellaista teknisesti mahdollista vaihtoehtoa, joka parantaisi ainakin yhden henkilön asemaa huonontamatta kenenkään muun asemaa. Englanniksi pareto efficient.
- Pareto-parannus
- Muutos, joka hyödyttää ainakin yhtä henkilöä kenenkään muun hyötyä vähentämättä. Englanniksi Pareto improvement. Katso myös: Pareto-dominoiva.
Onko autojen allokaatio näillä markkinoilla Pareto-tehokas? Ei ole: on kuluttajia, jotka eivät osta autoa Ajattomien Autojen valitsemaan hintaan mutta olisivat silti halukkaita maksamaan yrityksen tuotantokustannuksia korkeamman hinnan. Kuvion 7.13 mukaan Ajattomat Autot saa viimeisestä autosta (32. autosta) ylijäämää. Hinta ylittää rajakustannuksen. Yritys voisi valmistaa vielä yhden auton ja myydä sen 33. asiakkaalle 5 440 euroa halvemmalla mutta tuotantokustannukset ylittävällä hinnalla. Se olisi Pareto-parannus: sekä yrityksen että 33. asiakkaan tilanne paranisi. Pisteessä E ei toisin sanoen vielä saada kaikkia mahdollisia kaupankäynnin hyötyjä näiltä automarkkinoilta.
Kuvitellaan nyt, että yritys valitseekin pisteen F, jossa rajakustannuskäyrä leikkaa kysyntäkäyrän. Piste on Pareto-tehokas allokaatio, jossa Pareto-parannukset eivät enää ole mahdollisia. Vielä yhden auton valmistaminen maksaisi enemmän kuin jäljellä olevat kuluttajat maksaisivat. Kuvio 7.14 havainnollistaa, miksi kokonaisylijäämä olisi pisteessä F korkeampi. Kokonaisylijäämän voi mieltää yrityksen ja sen asiakkaiden välillä jaettavaksi potiksi.
Kokonaisylijäämä olisi suurempi Pareto-tehokkaassa pisteessä F kuin pisteessä E. Kuluttajan ylijäämä olisi suurempi, koska ne, jotka olivat valmiit ostamaan korkeammalla hinnalla, hyötyisivät alemmasta hinnasta. Myös uudet ostajat saisivat ylijäämää. Ajattomat Autot ei kuitenkaan valitse pistettä F, koska tuottajan ylijäämä on siinä pienempi. (Kuviosta näkee, että se on alemmalla samavoittokäyrällä.)
- tehokkuustappio
- Kokonaisylijäämän menetys verrattuna Pareto-tehokkaaseen allokaatioon. Englanniksi deadweight loss (DWL).
Koska yritys valitsee pisteen E, mahdollista ylijäämää jää saamatta tehokkuustappion verran. Kaaviossa sitä edustaa määrän Q = 32, kysyntäkäyrän ja rajakustannuskäyrän välinen kolmionmuotoinen ala.
Sinua ehkä ihmetyttää, että yritys valitsee pisteen E, vaikka sekä kuluttajien että yrityksen olisi mahdollista parantaa asemaansa. Se pitää kuitenkin paikkansa vain siinä tapauksessa, että autoja voi myydä muille kuluttajille alhaisempaan hintaan kuin 32 ensimmäiselle kuluttajalle. Yritys valitsee pisteen E, koska se on paras vaihtoehto nykyisillä pelisäännöillä, joiden mukaan hinnan on oltava sama kaikille kuluttajille. Kun Ajattomat Autot tai muu erilaistuneen tuotteen tuottaja asettaa hinnan, allokaatio on Pareto-tehoton. Yritys käyttää neuvotteluvoimaansa ja asettaa hinnan, joka on auton rajakustannusta korkeampi. Hinta pysyy korkeana, koska yritys pitää tuotantomäärän liian pienenä Pareto-tehokkaaseen allokaatioon nähden.
Pareto-tehokkuus ei kuitenkaan välttämättä tarkoita, ettei pelisääntöjä voisi muuttaa. Jos jossakin teknisesti mahdollisessa allokaatiossa ainakin yhden henkilön asema paranee eikä yhdenkään asema huonone, E ei ole Pareto-tehokas. Tehdään ajatuskoe. Kuvitellaan, että pelisäännöt olisivat muuttuneet ja yritys voisi veloittaa jokaiselta ostajalta eri hinnan, joka olisi vähän alhaisempi kuin ostajan maksuhalukkuus. Silloin yritys myisi auton jokaiselle mahdolliselle ostajalle, jonka maksuhalukkuus ylittäisi rajakustannuksen, ja kaikki molempia osapuolia hyödyttävät kaupat tehtäisiin. Se johtaisi Pareto-tehokkaaseen autojen määrään.
Asettaakseen tällaiset yksilölliset hinnat (kysymyksessä on eräs hintasyrjinnän muoto, jota sanotaan täydelliseksi hintasyrjinnäksi), sen pitäisi tietää jokaisen ostajan maksuhalukkuus. Tässä hypoteettisessa tapauksessa tehokkuustappiota ei tulisi. Koko ylijäämä menisi yritykselle tuottajan ylijäämänä, eikä kuluttajan ylijäämää syntyisi lainkaan. Tulemaa voisi pitää epäreiluna, mutta markkina-allokaatio olisi Pareto-tehokas.
Harjoitus 7.5 Pelisääntöjen muuttaminen
- Oletetaan, että Ajattomilla Autoilla on riittävästi tietoa ja niin paljon neuvotteluvoimaa, että se voi veloittaa jokaiselta kuluttajalta sen verran kuin he ovat valmiita maksamaan. Piirrä kysyntä- ja rajakustannuskäyrät (samaan tapaan kuin kuviossa 7.14) ja merkitse kaavioon
- myytyjen autojen määrä
- korkein yksittäisen kuluttajan maksama hinta
- halvin maksettu hinta
- kuluttajan ja tuottajan ylijäämä.
- Keksitkö tuotteita, joita myydään tällä tavalla?
- Miksei se ole tavallista?
- Jotkin yritykset perivät eri hintoja eri kuluttajaryhmiltä. Esimerkiksi lentoyhtiöt saattavat periä korkeamman hinnan viime hetken matkustajilta. Miksi? Miten se vaikuttaa kuluttajan ja tuottajan ylijäämään?
- Kuvitellaan, että pelisääntöjä muutetaan kilpailupolitiikalla. Miten se voisi lisätä kuluttajien neuvotteluvoimaa?
- Miten monta autoa uusilla säännöillä myytäisiin?
- Mikä olisi tuottajan ja kuluttajan ylijäämä näiden sääntöjen aikana?
Kysymys 7.13 Valitse oikeat vastaukset
Mikä seuraavista väitteistä pitää paikkansa?
- Tämä on oikea vastaus: jokainen kuluttaja saa maksuhalukkuutensa ja hinnan erotusta vastaavan ylijäämään, ja kuluttajan ylijäämä on kaikkien kuluttajien ylijäämien summa.
- Tuottajan ylijäämä on yrityksen tulojen ja rajakustannusten erotus. Se ei ole sama kuin voitto, koska kiinteitä tuotantokustannuksia ei oteta huomioon. Voitto on tuottajan ylijäämä vähennettynä kiinteillä kustannuksilla.
- Tehokkuustappio on mahdollisen kokonaisylijäämän menetys, joka johtuu siitä, että yritys tuottaa Pareto-tehokasta määrää vähemmän. Se on kuluttajan ja tuottajan menetetyn ylijäämän summa.
- Jos tuotanto olisi Pareto-tehokkkaalla tasolla, kaikki mahdolliset hyödyt toteutuisivat. Se tuotannon taso, jolla erilaistettua tuotetta valmistavan yrityksen voitto maksimoituu, ei kuitenkaan ole Pareto-tehokas.
7.8 Kysynnän hintajousto
Yritys maksimoi voiton valitsemalla pisteen, jossa samavoittokäyrän (MRS) kulmakerroin on yhtä suuri kuin kysyntäkäyrän (MRT) kulmakerroin. Piste edustaa valintaa, joka yrityksen on tehtävä hinnan ja määrän välillä.
- kysynnän hintajousto
- Kysynnän prosenttimääräinen muutos, kun hinta nousee yhden prosentin. Jousto ilmaistaan positiivisena lukuna. Kysyntä on joustava, jos hintajousto on suurempi kuin 1, ja joustamaton, jos jousto on alle 1. Englanniksi price elasticity of demand.
Yrityksen päätös riippuu kysyntäkäyrän jyrkkyydestä eli siitä, miten paljon kuluttajien kysyntä muuttuu, jos hinta muuttuu. Kysynnän hintajousto mittaa kuluttajien reaktiota hinnanmuutokseen. Se tarkoittaa kysynnän prosenttimääräistä muutosta, kun hinta nousee yhden prosentin. Kuvitellaan, että jos tuotteen hinta nousee kymmenen prosenttia, myytyjen tuotteiden määrä vähenee viisi prosenttia. Jousto ε lasketaan näin:
\[\varepsilon = –\frac{\text{ kysynnän muutos (%) }}{\text{ hinnan muutos (%) }}.\]ε on kreikan kirjain epsilon, jota käytetään usein jouston symbolina. Kysyntäkäyrällä määrä laskee, kun hinta nousee. Toisin sanoen kysyntä muuttuu negatiiviseen suuntaan, jos hinnanmuutos on positiivinen, ja päinvastoin. Miinusmerkki jouston kaavassa takaa, että reaktion mittari on positiivinen luku. Tämän esimerkin tapauksessa:
\[\begin{align} \varepsilon &= -\frac{-5}{10} \\ &= 0,5. \end{align}\]Kysynnän hintajousto kytkeytyy kysyntäkäyrän kulmakertoimeen. Jos kysyntäkäyrä on hyvin loiva, määrä muuttuu hinnan muuttuessa merkittävästi, joten jousto on suuri. Jyrkempi kysyntäkäyrä taas tietää pienempää joustoa. Kysyntäkäyrän jyrkkyys ja jousto eivät ole kuitenkaan sama asia. On tärkeää huomata, että jousto muuttuu kysyntäkäyrällä edettäessä, vaikkei kulmakerroin muutukaan.
Kuvioon 7.15 piirretyn kysyntäkäyrän kulmakerroin on vakio: kysyntäkäyrä on suora viiva. Jos määrään tulee lisää yksi yksikkö (ΔQ = 1), hinta laskee 80 euroa (ΔP = –80 €):
\[\begin{align*} \text{kysyntäkäyrän kulmakerroin} &= -\frac{\Delta P}{\Delta Q} \\ &= -80 \end{align*}\]Koska ΔP = −80 euroa jokaisessa kysyntäkäyrän pisteessä, kun ΔQ = 1, jouston voi laskea helposti missä tahansa pisteessä. Esimerkiksi pisteessä A määrä Q = 20 ja hinta P = 6 400 euroa, joten
\[\begin{align*} \text{ tuotantomäärän } Q \text{ muutos (%)} &= 100(\frac{\Delta Q}{Q}) = 100(\frac{1}{20}) = 5 \% \\ \text{ hinnan } P \text{ muutos (%)} &= 100(\frac{\Delta P}{P}) = 100(\frac{-80}{6\ 400}) = -1,25 \% \end{align*}\]ja
\[\begin{align} \varepsilon &= -\frac{5}{-1,25} \\ &= 4. \end{align}\]Kuvion 7.15 taulukkoon on kirjattu kysyntäkäyrän joustoja eri pisteissä. Käymällä läpi kuvion kaikki vaiheet huomaat, että kysyntäkäyrällä alaspäin siirryttäessä samat hinnan P ja tuotantomäärän Q muutokset aiheuttavat suuremman prosenttimääräisen muutoksen hinnassa kuin määrässä. Jousto siis pienenee.
Kysyntä on joustavaa, jos hintajousto on suurempi kuin 1, ja joustamatonta, jos jousto on alle 1. Kuvion 7.15 taulukon mukaan pisteissä, joissa kysyntä on joustavaa, rajatulo on positiivinen. Pisteissä, joissa kysyntä on joustamatonta, rajatulo on vuorostaan negatiivinen. Miksi? Kun kysyntä on hyvin joustavaa, määrän lisäys laskee hintoja vain vähän. Kun yritys valmistaa yhden ylimääräisen auton, se saa siitä lisää tuloja eikä menetä paljonkaan muista autoista saatavia tuloja. Tällöin kokonaistulot kasvavat; toisin sanoen MR > 0. Jos kysyntä taas on joustamatonta, yritys ei voi lisätä tuotantomäärää Q laskematta hintaa P reilusti, jolloin MR < 0. Alaluvun lopun Numeronmurskaus-osiossa osoitetaan, että tämä pätee kaikille kysyntäkäyrille.
Kysymys 7.14 Valitse oikeat vastaukset
Myymälä myy 20 hattua viikossa kymmenen euron hintaan. Kun se nostaa hinnan 12 euroon, menekki putoaa 15 hattuun viikossa. Mitkä seuraavista väitteistä pitävät paikkansa?
- Kun hinta nousee kymmenestä kahteentoista euroon, kysyntä vähenee.
- Prosenttimääräinen hinnannousu on 100 × 2/10 = 20 prosenttia. Se aiheuttaa kysynnässä prosenttimääräisen laskun 100 × 5/20 = 25 prosenttia.
- Kysynnän hintajouston arvoksi tulee yli yksi, joten kysyntä on joustavaa.
- Prosenttimääräinen hinnannousu on 100 × 2/10 = 20 prosenttia. Prosenttimääräinen kysynnän lasku on 100 × 5/20 = 25 prosenttia. Jousto on siis 25/20 = 1,25.
Miten kysynnän hintajousto vaikuttaa yrityksen päätöksiin? Laskimme aiemmin, että autonvalmistajan voiton maksimoiva määrä on Q = 32. Se sijoittuu kuvion 7.15 mukaan kysyntäkäyrän joustavaan osuuteen. Yritys ei missään tapauksessa valitsisi esimerkiksi pistettä D tai muuta joustamattomalla osuudella sijaitsevaa pistettä, koska rajatulo on siinä kohtaa negatiivinen. Tällaisessa pisteessä yrityksen olisi aina parempi vähentää määrää, koska silloin sen tulot kasvaisivat ja kustannukset laskisivat. Siksi yritys valitsee pisteen, jossa jousto on suurempi kuin yksi.
- voittomarginaali
- Hinnan ja rajakustannuksen erotus. Englanniksi profit margin.
Kysynnän hintajousto liittyy läheisesti myös yrityksen voittomarginaaliin eli hinnan ja tuotannon rajakustannuksen erotukseen. Kuviossa 7.16 kysyntä on hyvin joustavaa. Kysyntäkäyrä on varsin loiva, joten pienet hinnanmuutokset vaikuttavat myyntiin paljon. Voitto maksimoituu pisteessä E, jossa voittomarginaali on suhteellisen pieni. Tämä tarkoittaa, ettei yrityksen valitsema tuotantomäärä ole paljonkaan Pareto-tehokasta määrää pienempi. Pareto-tehokas piste on F, jossa voittomarginaali on nolla.
Kuvio 7.16 Hyvin joustava kysyntä.
Kuviossa 7.17 on autonvalmistaja, jolla on samat tuotantokustannukset mutta vähemmän joustava kysyntä. Tässä tapauksessa voittomarginaali on suuri ja määrä pieni. Jos yritys nostaa hintaa, monet kuluttajat ovat yhä halukkaita maksamaan. Yritys maksimoi voittonsa käyttämällä alhaista joustoa hyväkseen. Tällöin se saa suuremman osuuden ylijäämästä, mutta autoja myydään vähemmän ja paljon kaupankäynnin hyötyjä jää toteutumatta, mikä näkyy tehokkuustappiona.
Kuvio 7.17 Pienempi kysynnän jousto.
Leibniz: Kysynnän hintajousto
- voittomarginaali, suhteellinen
- Hinnan ja rajakustannuksen erotus jaettuna hinnalla. Hyödykkeen suhteellinen voittomarginaali on kääntäen verrannollinen sen kysynnän hintajoustoon. Englanniksi (price) markup.
Esimerkit osoittavat, että mitä pienempi kysynnän hintajousto on, sitä enemmän yritys nostaa hintaa rajakustannuksen yläpuolelle kasvattaakseen voittomarginaalia. Kun kysynnän hintajousto on pieni, yrityksellä on varaa nostaa hintaa menettämättä liikaa asiakkaita. Tällöin suhteellinen voittomarginaali eli voittomarginaalin osuus hinnasta on korkea. Alempana Numeronmurskaus-osiossa todistetaan, että suhteellinen voittomarginaali on kääntäen verrannollinen kysynnän hintajoustoon.
Kysymys 7.15 Valitse oikeat vastaukset
Kuviossa on kaksi kysyntäkäyrää, D1 ja D2.
Mikä seuraavista pitää kuvion valossa paikkansa?
- Pisteessä E hinta ja määrä ovat molemmilla kysyntäkäyrillä samoja, mutta D1 on jyrkempi ja siten vähemmän joustava kuin D2.
- Kulmakerroin on sama pisteissä A ja C, mutta pisteessä A hinta on korkeampi ja määrä pienempi, joten jousto on suurempi.
- Hinta ja määrä ovat molemmilla kysyntäkäyrillä samoja, mutta D1 on jyrkempi, joten jousto ei ole sama.
- Kulmakerroin on sama pisteissä E ja B. Pisteessä E hinta on kuitenkin korkeampi ja määrä pienempi, joten jousto on suurempi.
Numeronmurskaus Kysynnän hintajousto ja rajatulo
Tutkitaan kaavion avulla, miten kysynnän hintajousto lasketaan kysyntäkäyrän pisteessä (Q, P).
Kaaviosta näkee myös, miten jousto riippuu kysyntäkäyrän kulmakertoimesta. Loivemmalla kysyntäkäyrällä kulmakerroin on pienempi ja jousto suurempi.
![]()
Kuvio 7.18 Kysynnän hintajousto ja rajatulo.
Pisteessä A hinta on P ja tuotantomäärä Q. Jos tuotantomäärä kasvaa ΔQ, hinta laskee ΔP, joka on negatiivinen.
\[\begin{align*} \text{hinnan } P \text{ prosenttimääräinen muutos} = 100 \times \Delta P/P \\ \text{tuotantomäärän } Q \text{ prosenttimääräinen muutos } = 100 \times \Delta Q/Q \\ \text{Jousto pisteessä A} = -\frac{\text{tuotantomäärän } Q \text{ prosenttimääräinen muutos }}{\text{hinnan } P \text{ prosenttimääräinen muutos } } \\ = - \frac{\Delta Q/Q}{\Delta P/P} \\ = -\frac{P}{Q} \times \frac{\Delta Q}{\Delta P} \\ \text{kysyntäkäyrän kulmakerroin} = \frac{\Delta P}{\Delta Q} \\ \text{Jousto} = - \frac{P}{Q} \times \frac{1}{\text{kulmakerroin}} \end{align*}\]Oletetaan, että kysyntäkäyrä on joustava pisteessä A. Silloin jousto on suurempi kuin yksi:
\[-\frac{P \Delta Q}{Q \Delta P} > 1\]Kerrotaan se termillä −QΔP (joka on positiivinen)
\[P \Delta Q > -Q \Delta P,\]ja järjestellään termejä
\[P \Delta Q + Q \Delta P > 0.\]Tarkastellaan nyt erikoistapausta, jossa ΔQ = 1. Epäyhtälö on muotoa
\[P \Delta Q + Q \Delta P > 0.\]Muista, että rajatulo pisteessä A on tulojen muutos, kun Q kasvaa yhdellä yksiköllä. Muutos koostuu ylimääräisen yksikön tuottamista lisätuloista, joiden suuruus on P, ja muista yksiköistä saatavien tulojen menetyksestä, joka on QΔP. Epäyhtälö kertoo, että rajatulo on positiivinen.
Olemme osoittaneet, että jos kysyntäkäyrä on joustava, MR > 0. Jos kysyntäkäyrä on joustamaton, MR < 0.
Yrityksen valitsema voittomarginaali
Osoitetaan seuraavaksi, että kun kysynnän hintajousto on pieni, suhteellinen voittomarginaali on suuri.
Tiedämme, että yritys valitsee pisteen, jossa samavoittokäyrän kulmakerroin on yhtä suuri kuin kysyntäkäyrän kulmakerroin. Tiedämme niin ikään, että kysyntäkäyrän kulmakerroin liittyy kysynnän hintajoustoon:
\[\varepsilon = -\frac{P}{Q}\times\frac{1}{\text{kulmakerroin}}\]Kaavan voi järjestää uudelleen muotoon
\[\text{kysyntäkäyrän kulmakerroin} = -\frac{P}{Q}\times\frac{1}{\text{jousto}}.\]Kuten alaluvussa 7.4 nähtiin,
\[\text{samavoittokäyrän kulmakerroin} = -\frac{(P - \text{MC})}{Q}.\]Kun kulmakertoimet ovat yhtä suuria,
\[\frac{(P - \text{MC})}{Q} = \frac{P}{Q} \times \frac{1}{\text{jousto}},\]ja järjestelemällä saadaan
\[\frac{(P - \text{MC})}{P} = \frac{1}{\text{jousto}}.\]Vasen puoli on voittomarginaali suhteessa hintaan eli suhteellinen voittomarginaali. Siis:
Yrityksen suhteellinen voittomarginaali on kääntäen verrannollinen kysynnän hintajoustoon.
7.9 Kysynnän hintajousto politiikassa
Kysynnän hintajoustojen mittaaminen on talouspolitiikassa hyödyllistä. Jos valtiovalta verottaa jotakin hyödykettä, vero nostaa kuluttajien maksamaa hintaa. Veron vaikutus riippuu kysynnän hintajoustosta.
- Jos kysyntä on hyvin joustavaa, vero vähentää myyntiä tuntuvasti. Myynnin supistaminen voi olla tarkoituksellistakin. Esimerkiksi savukkeita verotetaan tupakoinnin vähentämiseksi, koska tupakointi on epäterveellistä.
- Jos vero laskee myyntiä huomattavasti, myös mahdolliset verotulot vähenevät.
Kun valtiovalta haluaa kasvattaa verotuloja, sen kannattaa verottaa tuotteita, joiden kysyntä on joustamatonta.
Muun muassa Meksikossa ja Ranskassa on otettu käyttöön veroja, joilla pyritään vähentämään epäterveellisten elintarvikkeiden kulutusta. Vuonna 2014 tehdyssä kansainvälisessä tutkimuksessa havaittiin, että aikuisten ja lasten liikalihavuus oli yleistynyt huolestuttavasti vuodesta 1980. Vuonna 2013 peräti 37 prosenttia kaikista maailman miehistä ja 38 prosenttia naisista oli ylipainoisia tai liikalihavia. Pohjois-Amerikassa osuudet olivat 70 ja 61 prosenttia. Liikalihavuus ei ole kuitenkaan vain rikkaimpien maiden riesa: Lähi-idässä ja Pohjois-Afrikassa lihavia oli 59 prosenttia miehistä ja 66 prosenttia naisista.
Matthew Harding ja Michael Lovenheim ryhtyivät selvittämään elintarvikkeiden kysynnän hintajoustoa ja valmisteverojen vaikutuksia kokoamalla yksityiskohtaisia tietoja yhdysvaltalaisten kuluttajien elintarvikeostoista. Harding ja Lovenheim jakoivat elintarvikkeet 33 luokkaan ja tutkivat kuluttajien päätöksentekoa kuvaavan mallin avulla, miten hintojen muutokset muuttivat kunkin elintarvikeluokan osuutta elintarvikemenoista ja samalla ruokavalion ravintokoostumusta. He ottivat huomioon, että yhden tuotteen hinnanmuutos muuttaisi muidenkin tuotteiden kysyntää. Kuvioon 7.19 on poimittu esimerkkejä elintarvikeluokkien hinnoista ja kysynnän hintajoustosta.
| Luokka | Elintarvikeryhmä | Kaloreita/annos | Hinta/100 g ($) | Tavanomainen kulutus viikossa ($) | Kysynnän hintajousto |
|---|---|---|---|---|---|
| 1 | Hedelmät ja vihannekset | 660 | 0,38 | 2,00 | 1,128 |
| 2 | Hedelmät ja vihannekset | 140 | 0,36 | 3,44 | 0,830 |
| 15 | Viljatuotteet, pasta, leipä | 1 540 | 0,38 | 2,96 | 0,845 |
| 17 | Viljatuotteet, pasta, leipä | 960 | 0,53 | 2,64 | 0,292 |
| 28 | Välipalat, makeiset | 433 | 1,13 | 4,88 | 0,270 |
| 29 | Välipalat, makeiset | 1 727 | 0,68 | 7,60 | 0,295 |
| 30 | Maito | 2 052 | 0,09 | 2,32 | 1,793 |
| 31 | Maito | 874 | 0,15 | 1,44 | 1,972 |
Kuvio 7.19 Elintarvikkeiden kysynnän hintajousto. Elintarvikkeiden pääryhmät on luokiteltu edelleen runsaskalorisiin ja vähäkalorisiin (katso sarake ”Kaloreita/annos”).
Matthew Harding ja Michael Lovenheim. 2013. ”The Effect of Prices on Nutrition: Comparing the Impact of Product- and Nutrient-Specific Taxes.” SIEPR Discussion Paper No. 13-023.
Taulukosta näkyy, että hinnanmuutokset vaikuttavat eniten vähäkaloristen maitotuotteiden (luokka 31) kysyntään. Jos niiden hinta nousee kymmenen prosenttia, ostomäärä laskee 19,72 prosenttia. Välipalojen ja makeisten kysyntä taas on varsin joustamatonta. Siitä voi päätellä, että on vaikeaa estää kuluttajia ostamasta niitä.
Harjoitus 7.6 Jousto ja menot
Kuvioon 7.19 on koottu yhdysvaltalaisen kuluttajan tyypillinen viikoittainen kulutus elintarvikeluokittain, kun ruokamenot ovat yhteensä 80 dollaria viikossa. Kuvitellaan, että luokkaan 30 kuuluvien runsaskaloristen maitotuotteiden hinta nousee kymmenen prosenttia.
- Paljonko maitotuotteiden kysyntä laskee prosenttimääräisesti?
- Laske, montako grammaa maitotuotteita kuluttaja käyttää ennen hinnanmuutosta ja sen jälkeen.
- Laske hänen maitotuotteiden kulutuksensa ennen hintamuutosta ja sen jälkeen. Huomaat, että menot vähenevät.
- Valitse elintarvikeluokka, jossa hintajousto on alle yksi, ja tee samat laskutoimitukset. Tässä tapauksessa huomaat, että menot kasvavat.
The Huffington Post ‑lehden blogikirjoitus avaa yhden näkökulman Matthew Hardingin ja Michael Lovenheimin tutkimustuloksiin. The Huffington Post. 2014. ”There’s An Easy Way To Fight Obesity, But Conservatives Will HATE It”.
Harding ja Lovenheim tutkivat 20 prosentin sokeri-, rasva- ja suolaveron vaikutusta. Esimerkiksi 20 prosentin sokerivero nostaisi 50 prosenttia sokeria sisältävän tuotteen hintaa kymmenen prosenttia. Myönteisin vaikutus ravitsemukseen olisi sokeriverolla. Se vähentäisi sokerin kulutusta 16 prosenttia, rasvan kulutusta 12 prosenttia, suolan kulutusta kymmen prosenttia ja energiansaantia 19 prosenttia.6
Harjoitus 7.7 Elintarvikkeiden valmisteverot ja kansanterveys
Valmisteverojen käyttö terveellisten ruokailutottumusten edistämiseksi jakaa mielipiteitä. Yhdet ajattelevat, että yksilöiden on saatava päättää omista asioistaan. Jos joku haluaa syödä epäterveellisesti, valtiovallan ei pidä puuttua siihen. Toiset taas katsovat, että koska epäterveellisen syömisen seurauksia hoidetaan osittain julkisin varoin, valtiovallan kuuluu ohjata terveellisiin elintapoihin.
Esitä omin sanoin perusteluja terveellisiin valintoihin ohjaavien verojen puolesta tai niitä vastaan.
7.10 Hinnanasetanta, kilpailu ja markkinavoima
- monopoli
- Yritys myy ainoana tuotetta, jolla ei ole läheisiä korvaavia tuotteita. Sanaa käytetään myös markkinoista, joilla on vain yksi myyjä. Englanniksi monopoly. Katso myös: monopolivoima, luonnollinen monopoli.
Olemme tutkineet tässä luvussa hinnoittelupäätöksiä sellaisissa yrityksissä, joiden tuote poikkeaa jollain tavalla muiden yritysten tuotteista. Ranskalainen taloustieteilijä Augustin Cournot tutki 1800-luvulla samaa asiaa käyttämällä esimerkkinä pullovettä. Vesi oli peräisin ”kivennäisvesilähteestä, jolla on äskettäin havaittu olevan ainutlaatuisia terveysvaikutuksia”. Cournot kutsui tapausta monopoliksi; monopolimarkkinoilla on vain yksi myyjä. Hän osoitti samaan tapaan kuin me tässä luvussa, että yritys asettaa hintansa tuotannon rajakustannusta korkeammaksi.7
Taloustieteen suurnimiä Augustin Cournot
Augustin Cournot (1801–1877) oli ranskalainen taloustieteilijä, joka tunnetaan nykyään etenkin oligopolimallistaan; oligopolissa markkinoilla on vain pieni määrä yrityksiä. Cournot’n vuonna 1838 ilmestynyt teos Recherches sur les Principes Mathématiques de la Théorie des Richesses (Tutkielmia varallisuusteorian matemaattisista periaatteista) toi taloustieteeseen uuden, matemaattisen lähestymistavan. Cournot tosin pelkäsi saavansa sen takia osakseen ”maineikkaiden teoreetikkojen tuomion”. Hänen työstään saivat vaikutteita muut 1800-luvun taloustieteilijät, kuten Alfred Marshall ja Léon Walras. Cournot’n teoriat ohjaavat tänäkin päivänä ymmärrystämme yritysten käyttäytymisestä. Vaikk Cournot käytti yhtälöitä eikä kaavioita, hänen analyysinsa kysynnästä ja voiton maksimoinnista on hyvin samanlaista kuin tässä luvussa on esitetty.
Totesimme alaluvussa 7.6, että kun erilaistetun tuotteen valmistaja asettaa hinnan rajatuotantokustannuksia korkeammaksi, markkinoiden tulema ei ole Pareto-tehokas. Kun kaupankäynti markkinoilla johtaa Pareto-tehottomaan allokaatioon, puhutaan markkinoiden toimimattomuudesta.
Markkinoiden toimimattomuus
Markkinat ovat toimimattomat, jos ne allokoivat resursseja Pareto-tehottomasti.
Markkinoiden toimimattomuuden seurauksia kuvaa tehokkuustappio eli toteutumatta jääneet kaupankäynnin hyödyt. Alaluvussa 7.7 totesimme, että rajakustannusta korkeammasta hinnasta seuraa suuri tehokkuustappio, kun kysynnän hintajousto on pieni.
Mikä sitten määrää tuotteen kysynnän hintajouston, ja miksi jotkin yritykset kohtaavat joustavamman kysynnän kuin toiset? Vastausta voi etsiä kuluttajien käyttäytymisestä.
Erilaistettujen tuotteiden markkinoilla kuluttajilla on monenlaisia preferenssejä. Auton ostoa harkitsevat etsivät kukin erilaisia ominaisuuksien yhdistelmiä. Kuluttajan halukkuus maksaa tietystä automallista riippuu ominaisuuksien lisäksi myös muiden yritysten samantapaisten autojen ominaisuuksista ja hinnoista.
Kuvioon 7.20 on kerätty kolmiovisen, yksilitraisella moottorilla varustetun viistoperäauton ostohintoja Isossa-Britanniassa tammikuussa 2014. Tiedot on koottu kuluttajille tarkoitetulta hintavertailusivustolta.
| Hinta | |
|---|---|
| Ford Fiesta | 11 917 £ |
| Vauxhall Corsa | 11 283 £ |
| Peugeot 208 | 10 384 £ |
| Toyota IQ | 11 254 £ |
Kuvio 7.20 Autojen ostohintoja Isossa-Britanniassa (tammikuu 2014, autotrader.com).
Taulukon autot ovat pääominaisuuksiltaan samanlaisia, mutta sivustolla verrataan myös 75:ttä muuta ominaisuutta, joiden suhteen autoissa on jo eroja.
Kun kuluttajat voivat valita monesta samanlaisesta autosta, jokaisen auton kysyntä on todennäköisesti joustavaa. Jos esimerkiksi Ford Fiestan hinta nousee, sen kysyntä laskee, koska valinta kohdistuu johonkin muuhun merkkiin. Jos Fiestan hinta taas laskee, kysyntä kasvaa, kun osa kuluttajista vaihtaa muista merkeistä Fiestaan. Jos muut autot ovat hyvin samankaltaisia kuin Fiesta, kuluttajat reagoivat herkästi hintaeroihin. Fordissa pitäytyvät vain merkkiuskollisimmat autoilijat ja ne, jotka suosivat vahvasti Fordin muista autoista erottavia ominaisuuksia. Silloin yrityksen hinta ja voittomarginaali jäävät verraten alhaisiksi.
- monopolituotot
- Ylituotot, jotka johtuvat kilpailun puutteesta yrityksen tuotteen myynnissä. Englanniksi monopoly rents. Katso myös: taloudellinen voitto.
Hyvin erikoistuneen, kilpailevista merkeistä poikkeavan auton valmistaja kohtaa sitä vastoin vähän kilpailua, jolloin sen kysynnän jousto on pienempi. Se voi asettaa hinnan rajakustannusta korkeammaksi menettämättä asiakkaita. Tällainen yritys ansaitsee monopolituottoja eli tuotantokustannukset ylittäviä taloudellisia voittoja. Monopolituotot johtuvat siitä, että se on tietynlaisen auton ainoa tuottaja. (Samaan tapaan innovatiivinen yritys saa innovaatiotuottoja, koska se on ainoa uutta teknologiaa käyttävä yritys; katso luku 2.)
- substituutit
- Hyödykkeet ovat substituutit, jos toisen hyödykkeen hinnannousu johtaa toisen hyödykkeen kysynnän kasvuun. Englanniksi substitutes. Katso myös: komplementit.
- markkinavoima
- Yrityksen ominaisuus, jonka ansiosta se voi myydä tuotetta monella mahdollisella hinnalla ja pääsee näin hyötymään asemastaan hinnanasettajana (eikä hinnanottajana). Englanniksi market power.
Yritys on markkinoillaan vahvoilla, jos vain harva yritys valmistaa sen merkkituotteiden substituutteja. Kysynnän hintajousto on silloin suhteellisen pieni. Tällaisella yrityksellä on markkinavoimaa. Sillä on riittävän vahva neuvotteluasema asiakkaisiin nähden, jotta se voi asettaa korkean hinnan menettämättä asiakkaitaan kilpailijoille.
Kilpailupolitiikka
Näiden hinnoittelupohdintojen valossa on ymmärrettävää, että ellei yrityksellä ole kunnollisia kilpailijoita, se saattaa kiinnittää poliitikkojen huomion. Tällainen yritys voi markkinavoimansa ansiosta asettaa hinnat korkeiksi ja saada suuria voittoja kuluttajien kustannuksella. Mahdollinen kuluttajan ylijäämä jää saamatta, koska vain harva kuluttaja ostaa tuotetta ja hekin maksavat korkean hinnan. Yrityksen omistajat kylläkin hyötyvät, mutta kaiken kaikkiaan tuloksena on tehokkuustappio.
Jos yritys tarjoaa pienen kuluttajaryhmän preferensseihin räätälöityä erikoistuotetta, kuten Ajattomia Autoja tai Lamborghineja, poliitikot eivät luultavasti puutu asiaan kuluttajan ylijäämän menetyksestä huolimatta. Mutta jos suurilla markkinoilla yksi yritys nousee määräävään asemaan, valtiovalta voi väliintulollaan synnyttää markkinoille kilpailua. Euroopan komissio kielsi vuonna 2000 Volvon ja Scanian fuusion sillä perusteella, että fuusiosta syntyvä yritys oli saanut määräävän aseman raskaiden kuorma-autojen markkinoilla Irlannissa ja Pohjoismaissa. Ruotsissa yritysten yhteenlaskettu markkinaosuus oli 90 prosenttia. Fuusio olisi johtanut miltei monopoliin – poikkeustapaukseen, jossa yrityksellä ei ole lainkaan kilpailijoita.
- kartelli
- Ryhmä yrityksiä, jotka tekevät salaa yhteistyötä kasvattaakseen yhteisiä voittojaan. Englanniksi cartel.
Kilpailun näkökulmasta vaikea tapaus on myös se, jos markkinoilla on vain muutamia yrityksiä. Ne voivat nimittäin muodostaa kartellin eli tehdä salassa yhteistyötä pitääkseen hinnan korkeana. Toimimalla yhdessä monopolin tavoin ne voivat kasvattaa voittojaan. Kuuluisa kartelli on öljyntuottajamaiden järjestö OPEC. Järjestön jäsenet sopivat yhdessä tuotantotasosta pitääkseen öljyn globaalin hinnan hallinnassaan. Kartelli onnistuikin pitämään öljynhinnat korkeina koko maailmassa vuosien 1973 ja 1979 nopeiden hinnannousujen jälkeen. Öljynhinnan heilahteluihin palataan luvussa 11 ja niiden aiheuttamiin inflaatio- ja työttömyyssokkeihin luvussa 15.
- kilpailupolitiikka
- Yritysten monopolivoiman rajoittaminen ja kartellien estäminen politiikkatoimien ja lainsäädännön avulla. Englanniksi competition policy.
Yksityisten yritysten kartellit ovat monissa maissa laittomia, mutta yritykset keksivät usein keinoja sopia hinnoista yhdessä maksimoidakseen voittonsa. Markkinavoiman rajoittamiseen ja kartellien estämiseen tähtäävää politiikkaa sanotaan kilpailupolitiikaksi.
Määräävää markkina-asemaa voi käyttää hyväksi korkeiden hintojen lisäksi myös muilla strategioilla. Yhdysvalloissa valtio haastoi Microsoftin oikeuteen, koska se niputti Windows-käyttöjärjestelmään oman Internet Explorer ‑selaimensa.8 1920-luvulla hehkulamppuvalmistajat Philips, Osram ja General Electric muodostivat kansainvälisen kartellin ja päättivät valmistaa korkeintaan tuhat tuntia palavia lamppuja, jotta kuluttajien pitäisi vaihtaa niitä nopeammin.9 Kauppaketju Walmart lupaa ”aina edullisia hintoja”, mutta jotkut syyttävät sitä markkinavoiman väärinkäytöstä. Syytösten mukaan se painaa palkkoja alas myymälöidensä lähialueilla, ajaa pienempiä myymälöitä markkinoilta ja kutistaa tukkurien voitot olemattomiin.10 Väitteiden taloudellista perustaa tarkastellaan John Vickersin artikkelissa.11
Harjoitus 7.8 Monikansallisia yhtiöitä vai itsenäisiä vähittäiskauppiaita?
Olet kunnallispoliitikko kunnassa, jonne monikansallinen vähittäiskauppaketju aikoo rakentaa uuden jättimyymälän. Osa kuntalaisista vastustaa myymälää, koska he pelkäävät, että monikansallinen yhtiö ajaa markkinoilta pienet, itsenäiset vähittäiskauppiaat, vähentää kuluttajien valinnanvaraa ja muuttaa seudun luonnetta. Hankkeen puolustajat taas väittävät, että niin käy ainoastaan, jos kuluttajat pitävät jättimyymälää parempana.
Kummalla puolella sinä olet?
Kysymys 7.16 Valitse oikeat vastaukset
Kuvitellaan, että monikansallinen vähittäiskauppaketju aikoo rakentaa uuden jättimyymälän pikkukaupunkiin. Mitä seuraavista saattaisi tapahtua?
- Läheisten substituuttien saatavuus tarkoittaa joustavaa kysyntää.
- Substituutit ovat omiaan lisäämään tuottajien välistä kilpailua, joka tavallisesti laskee hintoja.
- Jos paikalliset vähittäiskauppiaat joutuvat pois markkinoilta, monikansallinen yhtiö saa lisää markkinavoimaa. Sen kysyntä muuttuu vähemmän joustavaksi, joten se pystyy nostamaan hintoja asiakkaita menettämättä.
- Tuotteiden erilaistaminen (substituuttien puuttuminen) tarkoittaa, että kysynnän hintajousto pienenee.
7.11 Tuotevalikoima, innovointi ja mainonta
Yrityksen voittomahdollisuudet riippuvat sen tuotteen kysyntäkäyrästä, joka taas riippuu kuluttajien preferensseistä ja kilpailusta muiden yritysten kanssa. Yritys voi kuitenkin onnistua siirtämään kysyntäkäyräänsä ja siten kasvattamaan voittojaan, jos se muuttaa tuotevalikoimaansa tai mainostaa tuotteitaan.12
Parkerin Brothers -yhtiö toi Monopoli-nimisen kiinteistökauppapelinsä markkinoille ensi kertaa vuonna 1935. 1970-luvulla yhtiö kävi oikeutta taloustieteen professoria Ralph Anspachia vastaan estääkseen häntä myymästä peliä nimeltä Anti-Monopoly. Anspach väitti, ettei Parker Brothersilla ollut yksinoikeutta Monopoli-pelin myyntiin, koska peli ei ollut alun perin yhtiön keksintöä.
Monen oikeuskäsittelyn jälkeen Anspach voitti, ja markkinoille ilmaantui lukuisia keskenään kilpailevia Monopolin versioita.
Kun lainsäädäntöä myöhemmin muutettiin, Parker Brothers hankki itselleen oikeuden Monopoli-tavaramerkkiin. Niin Monopolista tuli jälleen monopoli.
Tuotantopäätöksiä tekevä yritys valmistaisi mieluiten tuotteita, jotka ensinnäkin houkuttelevat kuluttajia ja toiseksi poikkeavat ominaisuuksiltaan muiden yritysten tuotteista. Silloin tuotteiden kysyntä olisi suuri – niille löytyisi kullakin hinnalla paljon ostajia – ja kysynnän hintajousto pieni. Tällaisia tuotteita on tietenkin vaikea keksiä. Uusia muroja tai uutta automallia kaavaileva yritys tietää varmasti, että markkinoilla on valmiiksi paljon eri brändejä. Kilpailijoista on kuitenkin mahdollista erottua teknologisten innovaatioiden avulla. Kun Toyota vuonna 1997 kehitti Priuksen, ensimmäisen massatuotetun hybridiauton, sille ei muutamaan vuoteen ilmaantunut varteenotettavaa kilpailijaa. Toyota ehti saada käytännössä monopolin hybridiautojen markkinoilla. Vuonna 2013 kilpailevia brändejä oli jo useita, mutta Prius pysyi markkinajohtajana. Sen myynti vastasi yli puolta hybridiautojen markkinoista.
Jos yritys on keksinyt tai luonut uuden tuotteen, se pystyy joskus estämään kilpailun kokonaan hankkimalla yksinoikeuden tuotteen valmistamiseen patentin tai tekijänoikeuslakien nojalla. Seurapelejä valmistava Parker Brothers yhtiö kävi 1970-luvulla vuosikausia käräjiä suojellakseen monopoliaan kannattavaan lautapeliin – nimeltään Monopoli. Mahdollisuus monopolin juridiseen suojaamiseen voi kannustaa yrityksiä tutkimustyöhön ja uusien tuotteiden kehittämiseen, mutta samalla se vähentää kaupankäynnin hyötyjä. Tekijänoikeuksia ja muita immateriaalioikeuksia käsitellään tarkemmin luvussa 21.
Yritykset voivat pyrkiä vaikuttamaan kysyntään myös mainonnalla. Sekä autoyhtiöt että murovalmistajat mainostavat runsaasti. Erilaistettuja tuotteita valmistava yritys voi mainoksilla kertoa kuluttajille tuotteestaan ja sen ominaisuuksista, houkutella kuluttajia vaihtamaan kilpailijoiden tuotteet omaansa ja luoda brändiuskollisuutta.
Markkinatutkimusyritys Schonfeld & Associates arvioi, että Yhdysvalloissa murovalmistajat käyttävät markkinointiin noin 5,5 prosenttia liikevaihdoistaan. Osuus on noin 3,5 kertaa suurempi kuin teollisuusyrityksillä keskimäärin. Kuvion 7.21 pistekaaviossa ovat Chicagon seudun 35 eniten myytyä muromerkkiä vuosina 1991 ja 1992. Kaavio kuvaa markkinaosuuden ja neljännesvuosittaisten mainosmenojen suhdetta. Muromarkkinoihin perehtyneet tietävät, ettei murobrändien markkinaosuuden ja hinnan välillä ole vahvaa yhteyttä. Kuvio 7.21 kertoo, että suurin markkinaosuus on itse asiassa niillä brändeillä, jotka käyttävät eniten rahaa mainontaan. Taloustieteilijä Matthew Shum analysoi kuvion aineiston perusteella chicagolaisten muro-ostoksia ja osoitti, että mainonta lisäsi brändin kysyntää tehokkaammin kuin hinnanalennukset. Tunnetuimmilla murobrändeillä on myös suurimmat mainosbudjetit. Shum päätteli, ettei mainonnan päätehtävä ole kertoa kuluttajille tuotteesta vaan vahvistaa brändiuskollisuutta ja houkutella muiden murojen ostajia vaihtamaan muromerkkiä.13
Kuvio 7.21 Murobrändien mainosmenot ja markkinaosuudet Chicagossa (1991–1992).
Matthew Shum. 2004. ”Does Advertising Overcome Brand Loyalty? Evidence from the Breakfast-Cereals Market”. Journal of Economics & Management Strategy 13 (2): 241–272.
7.12 Hinnat, kustannukset ja markkinoiden toimimattomuus
Markkinoiden toimimattomuudesta on kyse silloin, kun markkinat allokoivat hyödykkeen Pareto-tehottomasti. Tässä luvussa olemme todenneet, että hinnoittelu voi olla syynä markkinoiden toimimattomuuteen, jos yritysten tuotteilleen asettama hinta ylittää tuotannon rajakustannuksen. Seuraavissa luvuissa tarkastellaan vielä muita syitä.
Yritys asettaa hintansa rajakustannusta korkeammaksi, jos sen autot, murot tai muut tuotteet ovat muiden yritysten tuotteisiin verrattuina erilaistettuja. Silloin tuotteet vetoavat kuluttajiin, joilla on tietynlaiset preferenssit, ja kohtaavat kilpailua vain vähän tai eivät ollenkaan (jos yritys on uniikkia hyödykettä valmistava monopoli). Yritykset saattavat hyötyä kilpailua vähentävistä strategioista, mutta kilpailun puute voi johtaa suureen tehokkuustappioon. Kilpailupolitiikan tavoitteena onkin vähentää tehokkuustappiota.
Rajakustannuksen ylittävä hinnoittelu voi johtua myös muista syistä kuin erilaistamisesta. Toinen yleinen syy ovat laskevat keskikustannukset. Ne voivat johtua tuotannon skaalatuotoista, kiinteistä kustannuksista tai suurten ostovolyymien myötä laskevista panoshinnoista. Silloin tuotannon keskikustannus on suurempi kuin yhden yksikön rajakustannus, jolloin keskikustannuskäyrä laskee. Hinnan on silti oltava vähintään yhtä suuri kuin keskikustannus, muutoin yritys tekee tappiota. Se taas tarkoittaa, että hinnan on ylitettävä rajakustannus.
- luonnollinen monopoli
- Tuotantoprosessi, jossa pitkän aikavälin keskikustannuskäyrä on laskeva, minkä seurauksena tehokas markkinarakenne on monopoli. Englanniksi natural monopoly.
Keskikustannuksen laskusta seuraa, että yritys pystyy toimimaan pienemmin yksikkökustannuksin, kun sen tuotantomäärät ovat suuret. Esimerkiksi vesi-, sähkö- ja kaasulaitoksissa ja muussa kunnallistekniikassa jakeluverkon kiinteät kustannukset ovat erittäin suuret kuluttajakysynnästä riippumatta. Näillä aloilla kasvavat skaalatuotot ovat yleisiä. Yhden vesi-, sähkö- tai kaasuyksikön keskikustannus käy erittäin korkeaksi, ellei niitä tuoteta suuria määriä. Jos yksi yritys pystyy vastaamaan markkinoiden kysyntään pienemmin keskikustannuksin kuin kaksi yritystä, puhutaan luonnollisesta monopolista.
Kilpailua lisäävä politiikka ei yleensä saa luonnollisen monopolin yritystä laskemaan hintojaan, koska keskikustannukset kasvavat, jos markkinoille tulee lisää yrityksiä. Joskus parempi politiikkavaihtoehto onkin säännellä monopoliyhtiön toimintaa ja rajoittaa sen hinnoitteluvaltaa kuluttajan ylijäämän kasvattamiseksi. Toinen mahdollisuus on siirtää monopoli julkiseen omistukseen. Suurin osa maailman vesilaitoksista on julkisessa omistuksessa. Poikkeuksia ovat Englanti ja Wales sekä Chile, joissa vesihuolto on yksityistetty kokonaan (Englannissa ja Walesissa vuonna 1989, Chilessä 1990-luvulla) ja viranomaiset valvovat markkinoita.
Toista mainitsemaamme tapausta edustavat elokuvien tuotantoyhtiöt. Elokuva-ala käyttää paljon rahaa näyttelijöiden, kuvaajien ja ohjaajien palkkaamiseen, käsikirjoitusten oikeuksien ostamiseen ja elokuvien mainostamiseen. Nämä kustannukset ovat kiinteitä; alalla puhutaan ensimmäisen yksikön tuotantokustannuksista. Valmiista elokuvasta voi sitä vastoin tehdä lisäkappaleita edullisesti, jolloin rajakustannus on pieni. Toisin sanoen ensimmäistä yksikköä on halpaa monistaa. Yrityksen rajakustannus on silloin pienempi kuin keskikustannus (normaalivoitto mukaan luettuna). Jos yritys asettaisi hintansa yhtä suureksi kuin rajakustannus, se menisi nurin.
Erilaistetun tuotteen valmistaja hinnoittelee yli rajakustannuksen siksi, ettei sillä ole kilpailijoita eivätkä kuluttajat ole hintaherkkiä. Sitä vastoin kunnallistekniikassa ja elokuvatuotannossa rajakustannukset ylittävä hinta ei johdu kilpailun puutteesta sinänsä vaan toimialan kustannusrakenteesta. Sähkö ei tavallisesti ole erilaistettu tuote, vaan sähkön ostajat voivat olla hyvinkin hintaherkkiä. Elokuva-alalla taas vallitsee kiivas kilpailu. Hinnan on silti ylitettävä rajakustannus tai yritysten toiminta lakkaa.
Nämä kaksi ongelmaa – kilpailun vähyys ja laskevat keskikustannukset – kytkeytyvät usein toisiinsa. Jos keskikustannuskäyrä on laskeva, kilpailussa voittaja korjaa yleensä koko potin. Se yritys, joka ensimmäisenä pääsee hyötymään koon tuomasta kustannusedusta, syrjäyttää muut ja tekee kilpailusta lopun.
Rajakustannukset ylittävä hinta johtaa syystä riippumatta markkinoiden toimimattomuuteen. Hyödykettä ostetaan liian vähän: markkinoilla on ostajia, jotka olisivat valmiit maksamaan hyödykkeestä yli rajakustannuksen mutteivät markkinahintaa. He jättävät ostamatta, ja syntyy tehokkuustappio.
7.13 Lopuksi
Olemme tutkineet, miten erilaistettuja hyödykkeitä tuottavat yritykset päättävät hintansa ja tuotantomääränsä niin, että voitto maksimoituu. Päätökset riippuvat tuotteen kysyntäkäyrästä ja varsinkin kysynnän hintajoustosta sekä tuotannon kustannusrakenteesta. Yritys asettaa hinnan, joka ylittää tuotannon rajakustannuksen. Jos kilpailua on vähän ja kysynnän hintajousto pieni, hinta voi olla paljonkin yli rajakustannuksen.
Kasvavat skaalatuotot ja muut kustannusedut suosivat yrityksiä, joiden tuotantomäärät ovat suuret ja yksikkökustannukset pienet. Myös innovaatiot voivat vähentää kustannuksia ja kasvattaa voittoja.
Jos markkinahinta ylittää tuotannon rajakustannuksen, markkinat eivät toimi, vaan hyödykkeen allokaatio on Pareto-tehoton. Tässä tilanteessa yritykset tekevät taloudellista voittoa, mutta kuluttajan ylijäämä jää pienemmäksi kuin silloin, jos hinta olisi yhtä suuri kuin rajakustannukset. Syntyy tehokkuustappio. Sen vuoksi poliitikot saattavat pitää silmällä yrityksiä, jotka pääsevät markkinoillaan määräävään asemaan. Markkinavoimaa voi suitsia kilpailupolitiikan ja sääntelyn avulla.
Luvun 7 käsitteet
Ennen kuin jatkat, kertaa nämä määritelmät:
7.14 Viitteet
- Basker, Emek. 2007. ”The Causes and Consequences of Wal-Mart’s Growth”. Journal of Economic Perspectives 21 (3): 177–198.
- Cournot, Augustin ja Irving Fischer. 1971. Researches into the Mathematical Principles of the Theory of Wealth. New York, NY: A. M. Kelley.
- Gilbert, Richard J. ja Michael L. Katz. 2001. ”An Economist’s Guide to US v. Microsoft”. Journal of Economic Perspectives 15 (2): 25–44.
- Harding, Matthew ja Michael Lovenheim. 2013. ”The Effect of Prices on Nutrition: Comparing the Impact of Product- and Nutrient-Specific Taxes”. SIEPR Discussion Paper No. 13-023.
- Kay, John. ”The Structure of Strategy.” (julkaistu alun perin Business Strategy Review -lehdessä vuonna 1993)
- Koshal, Rajindar K. ja Manjulika Koshal. 1999. ”Economies of Scale and Scope in Higher Education: A Case of Comprehensive Universities”. Economics of Educational Psychology 18 (2): 269–277.
- Krajewski, Markus. 2014. ”The Great Lightbulb Conspiracy”. IEEE Spectrum. Päivitetty 24.9.2014.
- Schumacher, Ernst F. 1976 (1973). Pieni on kaunista: ihmistä unohtamatta. Suomentanut Mauri Hinneri. Helsinki: Tammi. Alkuteoksen 80 ensimmäistä sivua saatavilla verkosta: Small Is Beautiful: Economics as If People Mattered. New York, NY: HarperCollins.
- Shum, Matthew. 2004. ”Does Advertising Overcome Brand Loyalty? Evidence from the Breakfast-Cereals Market”. Journal of Economics & Management Strategy 13 (2): 241–272.
- Statista. 2011. ”Willingness to pay for a flight in space”. Päivitetty 20.10.2011.
- Stigler, George J. 1987. The Theory of Price. New York, NY: Collier Macmillan.
- The Economist. 2008. ”Economies of Scale and Scope”. Päivitetty 20.10.2008.
- Vickers, John. 1996. ”Market Power and Inefficiency: A Contracts Perspective.” Oxford Review of Economic Policy 12 (4): 11–26.
-
Ernst F. Schumacher. 1976 (1973). Pieni on kaunista: ihmistä unohtamatta. Suomentanut Mauri Hinneri. Helsinki: Tammi. Alkuteoksen 80 ensimmäistä sivua saatavilla verkosta: Small Is Beautiful: Economics as If People Mattered. ↩
-
”Willingness to pay for a flight in space”. Statista. Päivitetty 20.10.2011. ↩
-
Rajindar K. Koshal ja Manjulika Koshal. 1999. ”Economies of Scale and Scope in Higher Education: A Case of Comprehensive Universities”. Economics of Educational Psychology 18 (2): 269–277. ↩
-
”Economies of Scale and Scope”. The Economist. Päivitetty 20.10.2008. ↩
-
George J. Stigler. 1987. The Theory of Price. New York, NY: Collier Macmillan. ↩
-
Matthew Harding ja Michael Lovenheim. 2013. ”The Effect of Prices on Nutrition: Comparing the Impact of Product- and Nutrient-Specific Taxes”. SIEPR Discussion Paper No. 13-023. ↩
-
Augustin Cournot ja Irving Fischer. 1971. Researches into the Mathematical Principles of the Theory of Wealth. New York, NY: A. M. Kelley. ↩
-
Richard J. Gilbert ja Michael L. Katz. 2001. ”An Economist’s Guide to US v. Microsoft”. Journal of Economic Perspectives 15 (2): 25–44. ↩
-
Markus Krajewski. 2014. ”The Great Lightbulb Conspiracy”. IEEE Spectrum. Päivitetty 25.9. ↩
-
Emek Basker. 2007. ”The Causes and Consequences of Wal-Mart’s Growth”. Journal of Economic Perspectives 21 (3): 177–198. ↩
-
John Vickers. 1996. “Market Power and Inefficiency: A Contracts Perspective.” Oxford Review of Economic Policy 12 (4): 11–26. ↩
-
John Kay. ”The Structure of Strategy” (julkaistu alun perin Business Strategy Review ‑lehdessä vuonna 1993). ↩
-
Matthew Shum. 2004. ”Does Advertising Overcome Brand Loyalty? Evidence from the Breakfast-Cereals Market”. Journal of Economics & Management Strategy 13 (2): 241–272. ↩
Augustin Cournot (1801–1877) oli ranskalainen taloustieteilijä, joka tunnetaan nykyään etenkin oligopolimallistaan; oligopolissa markkinoilla on vain pieni määrä yrityksiä. Cournot’n vuonna 1838 ilmestynyt teos Recherches sur les Principes Mathématiques de la Théorie des Richesses (Tutkielmia varallisuusteorian matemaattisista periaatteista) toi taloustieteeseen uuden, matemaattisen lähestymistavan. Cournot tosin pelkäsi saavansa sen takia osakseen ”maineikkaiden teoreetikkojen tuomion”. Hänen työstään saivat vaikutteita muut 1800-luvun taloustieteilijät, kuten Alfred Marshall ja Léon Walras. Cournot’n teoriat ohjaavat tänäkin päivänä ymmärrystämme yritysten käyttäytymisestä. Vaikk Cournot käytti yhtälöitä eikä kaavioita, hänen analyysinsa kysynnästä ja voiton maksimoinnista on hyvin samanlaista kuin tässä luvussa on esitetty.
