Capitolo 7 L’impresa e i suoi clienti
Come un produttore di beni differenziati interagisce coi suoi clienti al fine di massimizzare i profitti
- Un’impresa che produce bene differenziati massimizza i profitti scegliendo in modo ottimale prezzo e quantità sotto i vincoli della curva di domanda e della funzione di costo.
- Le grandi imprese godono di vantaggi tecnologici e di costo derivanti dalla produzione su larga scala.
- L’elasticità della domanda misura la reattività della quantità venduta a variazioni di prezzo, ed è un elemento fondamentale per determinare i margini di profitto.
- I consumatori e le imprese traggono mutuo vantaggio dallo scambio, ma prezzi superiori al costo marginale comportano una perdita di benessere e un fallimento del mercato.
- Le imprese possono aumentare i profitti con la differenziazione del prodotto e la pubblicità; quelle che operano inercati poco competitivi possono godere di profitti più elevati e rendite di monopolio.
- Le politiche fiscali sono disegnate tenendo conto dell’elasticità della domanda, mentre le politiche per la concorrenza possono ridurre il potere di mercato delle imprese.
Il libro Piccolo è bello di Ernst F. Schumacher, pubblicato nel 1973, esaltava il ruolo delle piccole unità produttive gestite da imprenditori individuali, o da un numero ristretto di soci, all’interno di un sistema economico concepito per assicurare la felicità più che il profitto. Nell’anno in cui il libro fu pubblicato, imprese come Intel e FedEx contavano poche migliaia di dipendenti negli Stati Uniti; quarant’anni dopo, Intel aveva circa 108.000 dipendenti, FedEx più di 300.000; e i dipendenti di Walmart, che erano soltanto 3.500 nel 1973, erano diventati nel 2016 ben 2,3 milioni.1
In tutte le economie sviluppate, una quota rilevante di lavoratori è impiegata in grandi imprese. Negli Stati Uniti il 52% dei lavoratori nel settore privato lavora in imprese con almeno 500 dipendenti. Le imprese crescono perché la crescita dimensionale porta maggiori profitti agli azionisti; chi investe in imprese di grandi dimensioni tende ad ottenere rendimenti più elevati e i dipendenti delle grandi imprese ricevono stipendi mediamente più alti. La figura 7.1 mostra la crescita di alcune imprese di successo negli Stati Uniti.
Dimensione di impresa negli Stati Uniti: numero di dipendenti (1900–2006).
Figura 7.1 Dimensione di impresa negli Stati Uniti: numero di dipendenti (1900–2006).
luttmer.2001
Quale strategia può adottare un’impresa per espandersi? La storia di Tesco, catena di supermercati fondata quasi un secolo fa da Jack Cohen, suggerisce una possibile risposta. “Accumula e vendi a buon mercato”: questo era lo slogan di Jack Cohen, che iniziò come venditore di strada nel 1919 nell’East End di Londra. Oggi nel Regno Unito una sterlina su 9 viene spesa in un negozio Tesco. A partire dagli anni Novanta, la società si è espansa in tutto il mondo, e nel 2014 era seconda per profitti solo a Walmart. Tenere i prezzi bassi, seguendo la raccomandazione di Cohen, è una delle possibili strategie per un’impresa che voglia massimizzare i profitti; il profitto su ciascuna unità venduta è ridotto, ma il prezzo basso attira così tanti clienti che il profitto totale è elevato. Altre imprese possono adottare strategie diverse, puntando su alti livelli di ricarico e di prezzo. Un esempio è rappresentato da Apple: tra aprile 2010 e marzo 2012, il profitto per unità di prodotto di Apple era tra il 49 e il 58% del prezzo, contro il 6-6,5% di Tesco.
Jack Cohen e Tesco
Jack Cohen, il fondatore di Tesco, avviò la sua attività come venditore ambulante nell’East End di Londra. I venditori si riunivano ogni mattina e, al segnale, correvano verso il luogo dove si teneva il mercato. Si dice che Cohen avesse perfezionato una curiosa tecnica: egli lanciava letteralmente il cappello verso le bancarella prescelta, per precedere i concorrenti.
Il primo negozio Tesco non aveva porte, era un po’ nello stile del mercato con le bancarelle. Negli anni Cinquanta, tuttavia, Cohen iniziò ad aprire supermercati imitando il modello statunitense e, negli anni Sessanta, l’impresa conobbe una rapida crescita, grazie anche a varie fusioni e acquisizioni. Nel 1995 Tesco divenne leader del mercato britannico e ora conta quasi 1,5 milioni di dipendenti in Europa e in Asia.
La politica di prezzo di Tesco cerca di soddisfare tutti i segmenti del mercato, creando diverse linee di prodotto (da Finest per i prodotti di più alta qualità a Value per quelli più a buon mercato). La strategia di Tesco è stata sintetizzata in tre prescrizioni: essere ovunque, vendere tutto, vendere a tutti.
Il successo di un’impresa non dipende solo dal prezzo; ci sono altre variabili da tenere in considerazione, quali la scelta del prodotto, l’abilità nell’attrarre consumatori, di produrre a basso costo, di fornire un alto livello di qualità e di selezionare e motivare adeguatamente i dipendenti. La figura 7.2 illustra le decisioni chiave di un’impresa. In questo capitolo analizzeremo nello specifico la decisione relativa al prezzo e alla quantità prodotta. Vedremo che tale decisione dipende dalla domanda — cioè dalla disponibilità dei clienti a pagare per il bene offerto — e dai costi di produzione.
La domanda di un prodotto dipende dal prezzo a cui viene offerto, mentre i costi di produzione dipendono anche dalla quantità prodotta. Sia la domanda sia i costi di produzione possono essere influenzati da altre scelte, oltre a quelle relative a prezzo e quantità. Come abbiamo visto nel Capitolo 2, l’innovazione può creare prodotti più appetibili, oppure permettere di produrre a costi più bassi; se un’impresa riesce ad innovare, può ottenere una rendita (almeno nel breve periodo, finché i concorrenti non si adeguano alla nuova tecnologia). Come visto nel Capitolo 6, le imprese fissano i salari, un’importante componente dei costi di produzione. Esse possono infine ridurre i propri costi di produzione provando a influenzare le scelte politiche relative alle imposte e alla regolamentazione cui sono soggette.
La decisione dell’impresa.
Figura 7.2 La decisione dell’impresa.
7.1 La scelta del prezzo
- curva di domanda
- Per ogni livello di prezzo, la curva di domanda indica la quantità di beni o servizi che i consumatori vogliono acquistare.
Per decidere in maniera ottimale il prezzo, un’impresa deve conoscere la domanda: quanto sono disposti a pagare i consumatori per il prodotto? La figura 7.3 mostra la curva di domanda per i cereali Cheerios, prodotti dalla General Mills a partire dal 1989. Per stimare tale curva, l’economista Jerry Hausman ha analizzato i dati su quantità vendute e prezzi dei cereali su base settimanale negli Stati Uniti nel 1996. Osservando il grafico, si vede, ad esempio, che al prezzo di 3 £ la domanda stimata è di 25.000 libbre di cereali (1 kg = 2,2 libbre); per la maggior parte dei prodotti la quantità domandata diminuisce all’aumentare del prezzo.
COME GLI ECONOMISTI IMPARANO DAI FATTI Stimare la curva di domanda usando i sondaggi
Jerry Hausman ha usato i dati sugli acquisti di cereali per stimare la curva di domanda dei Cheerios. Un altro metodo per conoscere la domanda, particolarmente utile per le imprese che vogliono lanciare un nuovo prodotto, è effettuare un sondaggio. Supponiamo di studiare la domanda potenziale per il turismo nello spazio. Potremmo chiedere ai potenziali clienti: “Quanto saresti disposto a pagare per fare un volo di 10 minuti nello spazio?” Ma rispondere a una domanda così formulata è tutt’altro che facile, e qualche intervistato, pensando che la sua risposta possa influenzare il prezzo finale, potrebbero essere indotto a mentire. Una domanda più appropriata potrebbe allora essere: “Pagheresti 1000 $ per fare un volo di 10 minuti nello spazio?”
Nel 2011 un simile sondaggio, finalizzato a conoscere la domanda potenziale di voli nello spazio, è stato effettivamente realizzato (i dati sono accessibili sul portale statista.com). Ma che si tratti di cereali o voli spaziali, il metodo è sempre il medesimo, riformulando la domanda con livelli di prezzo diversi e intervistando un numero elevato di individui, è possibile calcolare la quota di persone disposta ad acquistare il bene per ogni livello di prezzo, e quindi stimare la curva di domanda.
Stima della domanda di cereali Cheerios.
Figura 7.3 Stima della domanda di cereali Cheerios.
Adattata dalla figura 5.2 di hausman.1996
Se foste i manager della General Mills, come scegliereste il prezzo dei Cheerios? E quante libbre di cereali decidereste di produrre? Supponiamo, ad esempio, che il costo unitario per libbra di prodotto Cheerios sia di 2 $. Assumendo di riuscire a vendere tutto quanto è stato prodotto, il profitto, differenza tra ricavi e costi totali, è dato da:
\[\begin{array}{rlccc} \text{profitto} &= &\text{ricavi totali} &− &\text{costi totali}\\ &= &\text{prezzo}\; \times \text{quantità} &− &\text{costo unitario}\; \times \text{quantità} \\ &= &P \times Q &− &2 \times Q \end{array}\]per cui:
\[\text{profitto} = (P−2) \times Q\]Usando questa formula, è possibile calcolare il profitto per ogni coppia prezzo/quantità e disegnare le curve di isoprofitto, come nella figura 7.4. Come accadeva per le curve di indifferenza, luogo dei punti nel grafico corrispondenti al medesimo livello di utilità, le curve di isoprofitto sono costituite da punti che corrispondono allo stesso livello di profitto. Si può pensare alla curva di isoprofitto come alla curva di indifferenza di un’impresa, indifferente tra diverse combinazioni di prezzo e quantità che permettono di ottenere lo stesso profitto.
Domanda 7.1 Scegli le risposte corrette
Il costo unitario di produzione di un’impresa è di 12 £. Se P è il prezzo del bene e Q è il numero di unità prodotte e vendute, quale delle seguenti affermazioni è corretta?
- Quando (Q, P) = (2.000, 20), profitto = (20 – 12) × 2.000 = 16.000 £.
- Quando (Q, P) = (1.200, 24), profitto = (24 – 12) × 1.200 = 14.400 £. Quando (Q, P) = (2.000, 20), profitto = (20 – 12) × 2.000 = 16.000 £. Dunque, (2.000, 20) giace su una curva più alta.
- Quando (Q, P) = (2.000, 20), profitto = (20 – 12) × 2.000 = 16.000 £. Quando (Q, P) = (4.000, 16), profitto = (16 – 12) × 4.000 = 16.000 £. Quindi, questi due punti appartengono alla stessa curva di isoprofitto.
- Quando P = 12 l’impresa consegue profitti nulli, perciò (5.000, 12) giace sulla retta di isoprofitto orizzontale che equivale a zero profitti.
Domanda 7.2 Scegli le risposte corrette
Considera un’impresa che produce a costo unitario costante. Quale delle seguenti affermazioni è corretta?
- Una curva di isoprofitto rappresenta tutte le combinazioni prezzo/quantità che producono lo stesso profitto, quindi non può rappresentare la variazione dei profitti al variare delle quantità.
- Se il profitto è elevato, il prezzo deve essere maggiore del costo unitario. Dunque, se la produzione aumenta, il prezzo deve ridursi affinché il profitto rimanga costante. La curva di isoprofitto sarà dunque decrescente.
- È possibile calcolare il profitto per qualsiasi combinazione prezzo e quantità, quindi esisterà sempre un isoprofitto passante per quel punto.
- Se il prezzo è maggiore del costo unitario, allora un aumento della quantità deve corrispondere ad una diminuzione di prezzo affinché i profitti rimangano costanti. La curva di isoprofitto sarà dunque inclinata negativamente.
Per conseguire profitti elevati, sarebbe auspicabile che quantità e prezzo fossero i più alti possibili, ma la curva di domanda pone un vincolo a tale possibilità. Infatti, se il prezzo è alto la quantità venduta sarà ridotta, ed è possibile vendere una quantità elevata solo applicando un prezzo sufficientemente basso.
Dunque, la curva di domanda determina le combinazioni prezzo/quantità possibili. La figura 7.5 mostra le curve di isoprofitto e la curva di domanda. Il problema da affrontare è simile a quello di Alexei, lo studente del Capitolo 3 che doveva scegliere la quantità di ore di studio e il voto in grado di garantirgli la massima utilità nel suo insieme possibile. Analogamente, qui il problema consiste nel selezionare la combinazione di prezzi e quantità che massimizza i profitti dell’impresa compatibilmente col vincolo dato dalla curva di domanda.
Nella figura 7.5, la strategia ottima corrisponde alla scelta del punto E, in corrispondenza del quale sono vendute 14.000 libbre di cereali al prezzo unitario di 4,40 $ con un profitto di 34.000 $. Al fine di massimizzare il profitto, proprio come Alexei nel Capitolo 3, il manager deve tenere conto di due rapporti di sostituzione:
- saggio marginale di sostituzione (SMS)
- Il tasso al quale una persona è disposta a scambiare due beni. Corrisponde all’inclinazione della curva d’indifferenza in quel punto. Vedi anche: saggio marginale di trasformazione (SMT)
- saggio marginale di trasformazione (SMT)
- La quantità di un certo bene a cui dobbiamo rinunciare per acquisire un’unità addizionale di un altro bene. Corrisponde all’inclinazione della frontiera possibile in ogni punto. Vedi anche: saggio marginale di sostituzione (SMS)
- ragionando nei termini del Capitolo 3, la curva di isoprofitto corrisponde alla curva di indifferenza; la sua pendenza dice in che misura l’impresa è disponibile a rinunciare a P per aumentare Q al fine di mantenere il proprio profitto invariato—cioè il suo saggio marginale di sostituzione (SMS);
- la pendenza della curva di domanda, invece, rappresenta il vincolo cui la scelta tra P e Q è soggetta, la possibilità che l’impresa ha di “trasformare” una riduzione della quantità in un aumento del prezzo—cioè il suo saggio marginale di trasformazione (SMT).
L’eguaglianza tra questi due saggi di variazione individua la scelta ottimale di P e Q. È tuttavia improbabile che nella realtà i manager delle imprese affrontino le decisioni in questo modo. Verosimilmente, queste scelte vengono effettuate per tentativi ed errori, sulla base dell’esperienza passata e di indagini di mercato. Ma possiamo aspettarci che, in un modo o nell’altro, l’impresa sia in grado di individuare la combinazione di prezzo e quantità che le garantisca il profitto massimo. L’obiettivo della nostra analisi non è studiare il procedimento mentale del manager, ma capirne l’esito, comprendendone le relazioni con i costi dell’impresa e la domanda dei consumatori.
Questo non è il solo modo con il quale gli economisti rappresentano la scelta di massimizzazione del profitto. Un modo alternativo è presentato nella figura 7.6: il grafico in basso nella figura rappresenta la funzione di profitto, che indica il livello di profitto ottenibile in corrispondenza di ciascuna combinazione di Q e P sulla funzione di domanda. Come si può osservare, il livello massimo di profitto, pari a 34.000 $, si raggiunga quando Q = 14.000 libbre di cereali.
Domanda 7.3 Scegli le risposte corrette
La tabella rappresenta la domanda di mercato per un certo bene.
| Q | 100 | 200 | 300 | 400 | 500 | 600 | 700 | 800 | 900 | 1.000 |
| P | 270 £ | 240 £ | 210 £ | 180 £ | 150 £ | 120 £ | 90 £ | 60 £ | 30 £ | 0 £ |
Il costo unitario di produzione è di 60 £. Quale delle seguenti affermazioni è corretta?
- Se Q = 100, profitto = (270 – 60) × 100 = 21.000 £.
- Se Q = 400, profitto = (180 – 60) × 400 = 48.000 £. Calcolando il profitto in tutti gli altri punti della domanda, si può osservare che questo è il profitto più elevato.
- Il profitto massimo si ha per Q = 400: profitto = (180 – 60) × 400 = 48.000 £.
- L’impresa consegue una perdita per ogni quantità superiore ad 800. Se Q = 800, il profitto è nullo.
Esercizio 7.1 Cambiamenti nel mercato
Provate a indicare come varierebbero le curve della figura 7.5 nei seguenti casi:
- Un’impresa rivale abbassa il suo prezzo.
- I costi di produzione salgono a 3 $ per libbra.
- Vengono diffusi i risultati di uno studio indipendente che mostrano che i cereali della General Mills sono più salutari di quelli delle imprese concorrenti.
Per ciascun caso, è possibile sapere cosa accade ai prezzi e ai profitti?
7.2 Le economie di scala e i vantaggi della dimensione
Per quale motivo aziende come Walmart, Intel e FedEx sono diventate così grandi? Una spiegazione è che un’azienda più grande riesce a produrre ad un costo unitario più basso. Ciò avviene principalmente per due ordini di ragioni:
- vantaggi tecnologici: aumentando la scala di produzione spesso è possibile utilizzare una minore quantità di fattori produttivi per unità di prodotto;
- vantaggi di costo: nelle imprese di maggiori dimensioni, i costi fissi (come ad esempio le spese pubblicitarie o per l’acquisizione di brevetti o altri diritti di proprietà intellettuale) incidono in misura minore sul costo unitario; inoltre, le imprese più grandi hanno un maggiore potere contrattuale e riescono ad acquistare i fattori produttivi a condizioni più favorevoli.
- economie di scala
- Si hanno quando, aumentando in una certa proporzione la quantità dei fattori di produzione, il prodotto aumenta più che proporzionalmente. L’effetto delle economie di scala è quello di ridurre il costo medio di produzione. Vedi anche: diseconomie di scala
- diseconomie di scala
- Si hanno quando, aumentando in una certa proporzione la quantità dei fattori di produzione, il prodotto aumenta meno che proporzionalmente. Vedi anche: economie di scala
- rendimenti di scala costanti
- Si hanno quando, aumentando nella stessa proporzione tutti gli input, il prodotto aumenta in proporzione maggiore (ad esempio raddoppiando gli input il prodotto aumenta di più del doppio). È una delle ragioni per le quali il costo medio può essere decrescente.
In economia si usa l’espressione economie di scala, o anche rendimenti di scala crescenti, per descrivere i vantaggi tecnologici associati ad una maggiore scala produttiva. Supponiamo, ad esempio, di raddoppiare la quantità di fattori produttivi: se con le nuove quantità di input l’impresa riesce a aumentare la produzione in maniera più che proporzionale (ad esempio triplicarla), allora diremo che vi sono economie di scala. Specularmente, parliamo di diseconomie di scala, o anche rendimenti di scala decrescenti, se la scala produttiva comporta invece degli svantaggi, e di rendimenti di scala costanti se essa è neutrale.
Vi possono essere diverse motivazioni dietro alla presenza di economie di scala. Si consideri ad esempio la specializzazione del lavoro: un lavoratore cui viene assegnato un numero molto ristretto di compiti, diventa presto molto abile nello svolgerli, e quindi più produttivo: più l’impresa è grande, maggiori sono le possibilità di specializzare il lavoro. Oppure, alla base delle economie di scala possono esservi ragioni puramente ingegneristiche: nell’Einstein si dimostra che per realizzare una conduttura con una portata di liquido doppia occorre una quantità solo leggermente maggiore di materiale e dunque il suo costo è solo di poco superiore; il costo per unità di liquido trasportato si riduce dunque all’aumentare della portata.
In maniera analoga, possono presentarsi delle diseconomie di scala. Si pensi all’attività di supervisione: al crescere degli addetti, crescerà anche l’attività di monitoraggio e si dovrà dunque dunque assumere dipendenti da impiegare nell’attività di controllo di chi produce invece che in mansioni direttamente produttive; d’altra parte, rinunciare al monitoraggio dei dipendenti comporterebbe comunque il rischio di una diminuzione della produttività. A questa spiegazione delle diseconomie di scala abbiamo dato il nome di Legge di Dilbert della gerarchia di impresa, dal nome del personaggio della celebre striscia a fumetti americana. Nell’Einstein mostriamo come calcolare l’entità di tali diseconomie.
Economie e diseconomie di scala
Supponiamo di aumentare nella stessa proporzione tutti i fattori produttivi. Se la quantità prodotta aumenta:
- più che proporzionalmente, si parla di rendimenti crescenti di scala o economie di scala.
- meno che proporzionalmente, si parla di rendimenti decrescenti di scala o diseconomie di scala.
- proporzionalmente, si parla di rendimenti costanti di scala.
Einstein Dimensione e costo di una conduttura
A questo punto è utile ricorrere ad un esempio. Per capire come varia il costo di produzione delle tubature quando la portata, ovvero l’area della sua sezione, raddoppia, si può utilizzare la matematica. La formula dell’area di una circonferenza è:
\[\text{area} = \pi \times (\text{raggio})^2.\]Supponiamo l’area iniziale della tubatura fosse di 10cm2 e di raddoppiarla a 20cm2. Sulla base della formula avremo che, quando l’area è pari a 10cm2:
\[\text{raggio} = \sqrt{10/\pi} = 1,78\text{ cm};\]quando l’area è pari a 20cm2:
\[\text{raggio} = \sqrt{20/\pi} = 2,52\text{ cm}.\]Il costo del materiale per produrre il tubo non è proporzionale all’area della sezione del tubo, bensì alla circonferenza del tubo stesso. La formula per calcolare la circonferenza è:
\[\text{circonferenza} = 2 \times \pi \times \text{raggio};\]quindi, quando l’area è pari a 10cm2:
\[\text{circonferenza} = 2 \times \pi \times 1,78 = 11,18\text{ cm}\]mentre quando l’area è pari a 20cm2:
\[\text{circonferenza} = 2 \times \pi \times 2,52 = 15,83\text{ cm}.\]Riassumendo, il tubo ha raddoppiato portata, cioè l’area, ma la circonferenza, da cui dipende il costo, è aumentata di un fattore pari a:
\[\frac{15,83}{11,18} = 1,42\]Possiamo dunque concludere che la tecnologia presenta economie di scala.
Diseconomie di scala: la legge di Dilbert del CORE
Se per ogni 10 addetti alla produzione occorre un supervisore ad un livello gerarchico più alto, allora un’impresa con x livelli gerarchici e 10x addetti alla produzione avrà bisogno di 10x-1 supervisori al livello più basso, 10x-2 al secondo più basso e così via.
Un’impresa con un milione (106) di addetti alla produzione avrà 100.000 (\(10^5 = 10^{6-1}\)) supervisori al livello più basso. Dilbert non inventò questa legge, non ne aveva il tempo, essendo lui troppo monitorato: il team del progetto CORE l’ha inventata per lui.
Vantaggi di costo
- ricerca e sviluppo
- La spesa che un ente pubblico o privato effettua al fine di individuare nuovi metodi di produzione, nuovi prodotti, o di realizzare altre innovazioni utili dal punto di vista economico.
- costi fissi
- Costi di produzione che non aumentano né diminuiscono al variare della quantità prodotta dall’impresa.
Oltre che per la presenza di rendimenti crescenti di scala di tipo tecnologico, il costo unitario può diminuire all’aumentare della quantità prodotta anche per la presenza di costi fissi, tra cui i costi di ricerca e sviluppo (R&S), quelli sostenuti per il design di prodotto, le licenze e i brevetti, la pubblicità. Nel 2014, acquistare uno spazio pubblicitario televisivo di 30 secondi durante la partita del Super Bowl aveva il costo di 4 $ milioni, un investimento effettuabile solo se l’aspettativa è quella di vendere in grandissime quantità.
Vantaggi dal lato della domanda
- economie di rete
- Si hanno quando il valore per i consumatori di un certo bene o servizio prodotto da un’impresa aumenta all’aumentare di coloro che acquistano o utilizzano quel bene o servizio, ad esempio perché i consumatori traggono vantaggio dall’essere connessi tra loro.
Oltre ai vantaggi tecnologici e di costo, che possono essere indicati come vantaggi dal lato dell’offerta poiché riguardano la struttura produttiva dell’impresa, le imprese di grandi dimensioni beneficiano anche di vantaggi dal lato della domanda. I consumatori possono avere un incentivo ad acquistare un bene che è già ampiamente diffuso; un software ad esempio può avere un valore per chi lo acquista che è tanto maggiore quanto più diffuso è il suo utilizzo. Questi benefici dal lato della domanda prendono il nome di economie di rete.
Poiché la produzione di grandi quantità di prodotto beneficia di economie di scala, di ridotti costi unitari e di economie sul lato della domanda, la scala produttiva è un chiaro fattore di vantaggio, che può rendere difficile per una piccola impresa competere con le imprese più grandi. Ci sono tuttavia dei limiti alla possibilità di crescita di un’impresa. Come visto nel Capitolo 6, le imprese possono trovare profittevole esternalizzare la produzione tramite l’outsourcing; a volte è più conveniente acquistare i componenti necessari alla realizzazione di un prodotto piuttosto che produrli da sé; Apple ad esempio ha scelto di non produrre internamente tutti i componenti dei suoi prodotti, ma li acquista da aziende quali Toshiba, Samsung e altre. L’outsourcing costituisce un limite alla crescita dimensionale di Apple, mentre contribuisce alla crescita dei suoi fornitori.
Domanda 7.4 Scegli le risposte corrette
Quale delle affermazioni seguenti è corretta?
- Con rendimenti costanti, ogni aumento degli input produce un aumento proporzionale dell’output.
- Con rendimenti decrescenti, un raddoppio degli input produce un aumento inferiore al doppio dell’output.
- Poiché l’impresa può aumentare l’output con un aumento dell’input meno che proporzionale, il costo unitario diminuisce.
- Con rendimenti decrescenti, ogni aumento degli input produce un aumento meno che proporzionale dell’output.
7.3 La funzione di costo
Nell’analizzare la decisione su prezzo e quantità nel caso dei cereali Cheerios, abbiamo fatto l’ipotesi che il costo di produzione unitario fosse costante e che quindi la quantità prodotta fosse determinata dalla domanda. In questo paragrafo e nel prossimo studieremo il caso in cui i costi unitari variano al variare del livello di produzione scelto.
Consideriamo una casa automobilistica immaginaria, che produce automobili di lusso in quantità limitata (si tratta dunque di un’impresa di dimensioni ben più piccole della Ford, che ogni anno produce 6,6 milioni di veicoli); la chiameremo Motori Lusso Spa.
La produzione e commercializzazione di automobili richiede lo svolgimento di un’ampia gamma di attività. La nostra impresa ha bisogno di investire in stabilimenti e negli impianti necessari per la fusione, lavorazione, saldatura, rifinitura, verniciatura delle diverse parti. Dovrà poi acquistare le materie prime e gli altri componenti necessari alla realizzazione delle auto, e pagare gli operai impegnati nelle varie fasi di produzione. Dovrà assumere altri dipendenti per gestire il processo produttivo e quello di vendita delle vetture prodotte.
- costo opportunità
- È il beneficio netto che otterremmo dalla migliore alternativa a cui dobbiamo rinunciare per scegliere una certa azione.
- costo opportunità del capitale
- È la quantità di reddito che un investitore avrebbe potuto ottenere investendo il capitale in un altro progetto.
I proprietari dell’impresa — i suoi azionisti — non impegneranno i propri capitali nell’impresa se hanno migliori possibilità di investimento in altre attività. Ciò che potrebbero ricavare da un impiego alternativo dei loro capitali è un altro esempio di costo opportunità (discusso nel Capitolo 3): in questo caso si parla più precisamente di costo opportunità del capitale. La remunerazione del costo opportunità del capitale degli azionisti, che va loro garantita se si vuole che mantengano il proprio investimento nell’impresa, fa parte del costo di produzione delle automobili.
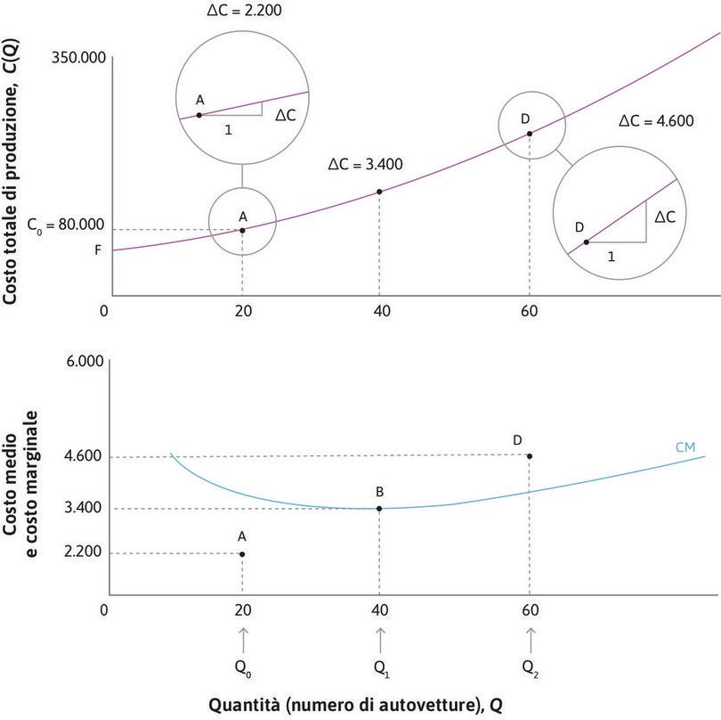
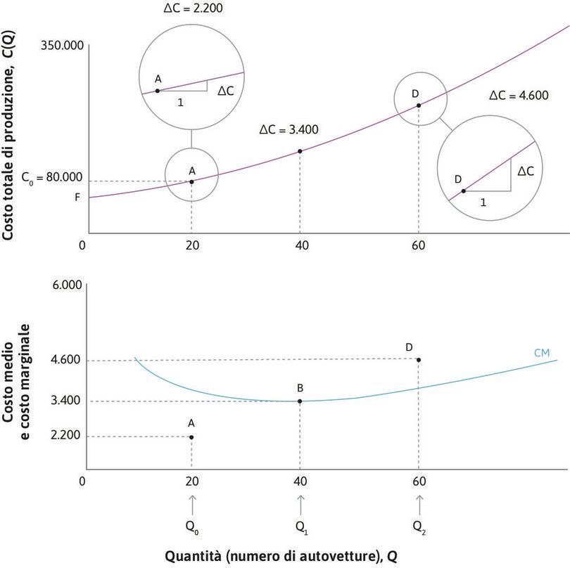
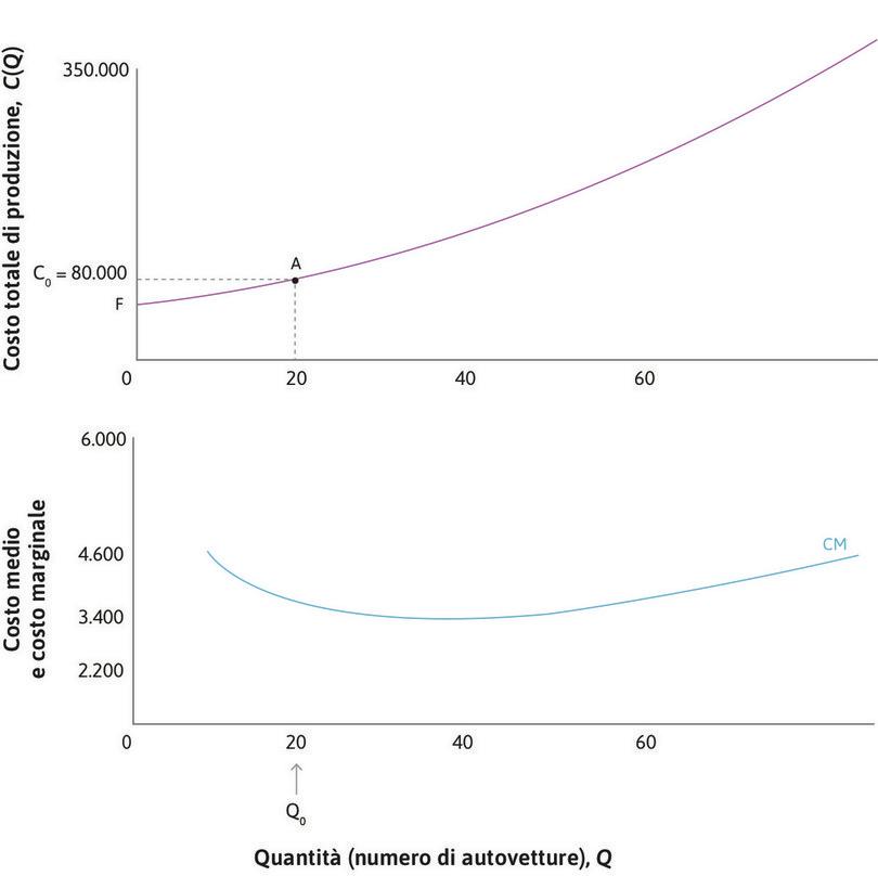
Maggiore è il numero delle automobili prodotte, maggiori sono i costi totali. La parte superiore di figura 7.7 mostra come variano i costi totali al variare della quantità Q prodotta su base giornaliera; \(C(Q)\) è la funzione di costo dell’impresa. La curva del costo unitario o costo medio, ricavabile dalla funzione di costo, è rappresentata invece nella parte inferiore della figura.
Costo marginale
Il costo marginale è il costo che si sostiene per produrre un’unità addizionale e corrisponde alla pendenza della funzione di costo. Se per produrre una quantità aggiuntiva \(\Delta Q\) i costi aumentano di \(\Delta C\), il costo marginale è dato da:
\[\text{CMg} = \Delta C/\Delta Q\]
Come si osserva dalla figura 7.7, la curva del costo medio è decrescente per bassi livelli di produzione e crescente per grandi quantità prodotte. Una giustificazione economica di questo fatto può essere che l’impresa, per produrre alte quantità, sostiene costi aggiuntivi: ad esempio, deve aumentare il numero dei turni di lavoro, retribuire maggiormente le ore di lavoro straordinario e sostituire o riparare con maggiore frequenza i macchinari se questi sono utilizzati in modo più intensivo.
- costo marginale
- Il costo sostenuto dall’impresa per produrre un’unità addizionale di output. Geometricamente, corrisponde in ogni punto alla pendenza della funzione di costo totale.
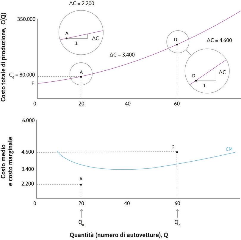
Nel Capitolo 3 abbiamo introdotto il concetto di prodotto marginale, corrispondente all’aumento di produzione che è possibile ottenere aumentando di un’unità la quantità impiegata di un fattore produttivo; graficamente il prodotto marginale è la pendenza della funzione di produzione. In maniera analoga, il costo marginale è la pendenza della funzione di costo. La figura 7.8 mostra come trovare il costo marginale, ovvero il costo che si sostiene per produrre un’unità aggiuntiva — il costo di produrre un’altra automobile nel caso della Motori Lusso. Nella parte bassa della figura, indichiamo la curva del costo medio con CM, e la curva del costo marginale con CMg.
Come si può osservare, la curva di costo marginale di Motori Lusso è crescente, in quanto la funzione di costo diventa sempre più ripida al crescere di Q. È l’andamento crescente dei costi marginali che determina, a lungo andare, un aumento del costo medio. Nella figura 7.8 il costo marginale è stato ricavato calcolando la variazione dei costi (\(\Delta C\)) che deriva dalla produzione di un’unità aggiuntiva. Alternativamente, si può considerare un incremento di un numero maggiore di unità. Ad esempio, se conosciamo il costo aggiuntivo per produrre \(\Delta Q\) = 5 unità in più, supponiamo tale costo sia \(\Delta C\) = 12.000 $, allora potremmo stimare il costo di produrre un’unità aggiuntiva tramite il calcolo \(\Delta C/\Delta Q\) = 2.400 $. In generale, quando la funzione di costo ha un andamento curvilineo, valori più piccoli di \(\Delta Q\) danno stime più accurate.
Analizzando la relazione tra le curve CM e CMg, riprodotte nella figura 7.9, osserviamo che CM è decrescente per tutti i valori di Q per i quali CM è maggiore di CMg ed è crescente per tutti i valori di Q per i quali CM è minore di CMg. Non si tratta di una coincidenza, ma di una proprietà sempre verificata, qualunque sia la forma della funzione di costo totale.
Domanda 7.5 Scegli le risposte corrette
Considerate un’impresa con costi fissi di produzione. Quale delle seguenti affermazioni sui costi medi (AC) e sui costi marginali (MC) è corretta?
- Se AC = MC, il costo di un’unità aggiuntiva è uguale al costo medio. Se viene prodotta un’unità in più, il costo medio non cambia e la curva AC ha, quindi, pendenza nulla.
- La curva MC può essere crescente, decrescente o piatta, indipendentemente dalla dimensione relativa di Ac e MC.
- Se AC < MC, il costo di un’unità addizionale è maggiore del costo medio e se viene prodotta un’unità in più, il costo medio conseguentemente aumenta. La curva AC ha, quindi, pendenza positiva.
- Se il costo marginale è costante, la curva MC è una retta orizzontale.
Domanda 7.6 Scegli le risposte corrette
Supponiamo ora che il costo di produrre un kg di cereali sia 2 $, indipendentemente dalla quantità prodotta (ciò significa che non ci sono costi fissi, cioè costi che devono essere sostenuti comunque, anche quando la quantità prodotta è nulla). Quale delle seguenti affermazioni è corretta?
- Il costo totale è 2Q, dove Q denota la quantità di output, rappresentabile come una retta crescente passante per l’origine.
- Il costo medio è uguale a 2 $ per ogni quantità prodotta rappresentabile come una retta orizzontale.
- Il costo marginale è uguale a 2 $ per ogni quantità prodotta rappresentabile come una retta orizzontale.
- Dalle due risposte precedente, entrambi i costi sono uguali a 2 $. Dunque, le due curve coincidono.
- economie di diversificazione
- Si hanno quando la produzione congiunta di più prodotti da parte della stessa impresa comporta costi inferiori rispetto alla loro produzione separata in imprese distinte.
Gli economisti Rajindar e Manjulika Koshal hanno studiato le funzioni di costo delle università degli Stati Uniti, prendendo in considerazione 171 università pubbliche durante l’anno accademico 1990/91. Le loro stime hanno evidenziato la presenza di costi medi decrescenti (si veda a questo proposito l’Esercizio 7.3), nonché di economie di diversificazione: queste ultime rappresentano vantaggi di costo derivanti dalla produzione congiunta di beni e servizi diversi — in questo caso la fornitura di corsi sia di primo che di secondo ciclo e lo svolgimento di attività di ricerca.2
Per saperne di più sui costi, l’economista George Stigler ha scritto un’interessante discussione sull’argomento nel Capitolo 7 del suo libro.
The Economist. 2008. Economies of Scale and Scope. (October).
Stigler, George J. 1987. The Theory of Price. New York, NY: Collier Macmillan.
Esercizio 7.2 La funzione di costo per i Cheerios
Le funzioni di costo, ovviamente, possono avere forme diverse da quella disegnata nelle figure precedenti per rappresentare l’impresa Motori Lusso. Per i Cheerios, ad esempio, avevamo considerato una funzione di costo tale che il costo unitario fosse costante e uguale a 2 $.
- Provate a disegnare la funzione di costo dei Cheerios.
- Qual è la forma delle funzioni del costo marginale e del costo medio?
- Supponiamo adesso che la funzione di costo dei Cheerios abbia costo medio costante e uguale a 2 $ e in più che vi siano dei costi fissi. Provate a disegnare le funzioni di costo totale, costo medio e costo marginale per questo caso.
Esercizio 7.3 Le funzioni di costo dell’istruzione universitaria
Di seguito, sono riportati il costo medio, il costo marginale e il costo totale relativi all’anno 1990-91 che Koshal e Koshal hanno calcolato nel loro studio.
Studenti CMg ($) CM ($) Costo totale ($) Primo ciclo 2.750 7.259 7.659 21.062.250 (undergraduate) 5.500 6.548 7.348 40.414.000 8.250 5.838 7.038 11.000 5.125 6.727 73.997.000 13.750 4.417 6.417 88.233.750 16.500 3.706 6.106 100.749.000 Studenti CMg ($) CM ($) Costo totale ($) Secondo ciclo 550 6.541 12.140 6.677.000 (graduate) 1.100 6.821 9.454 10.339.400 1.650 7.102 8.672 2.200 7.383 8.365 18.403.000 2.750 7.664 8.249 22.684.750 3.300 7.945 8.228 27.152.400
- Come varia il costo medio al crescere del numero di studenti?
- Usando il dato del costo medio, completate i riquadri vuoti nella colonna del costo totale.
- Disegnate le curve dei costi marginali e dei costi medi per il primo ciclo di istruzione universitaria (undergraduate), con i costi sull’asse delle ordinate e il numero degli studenti sulle ascisse. Su un altro grafico, svolgete lo stesso esercizio per il secondo ciclo (graduate).
- Qual è la forma delle funzioni di costo totale per il primo e il secondo ciclo? (Potete tracciarle usando le informazioni sui costi medi e marginali oppure potete disegnarle in maniera più accurata usando i dati riportati nella colonna dei costi totali. Suggerimento: non si tratta di rette)
- Quali sono le differenze principali nella struttura dei costi per i due cicli (primo e secondo) di istruzione universitaria?
- Riuscite a pensare a qualche spiegazione per la forma delle curve che hai disegnato?
7.4 Domanda e curve di isoprofitto
- prodotto differenziato
- Il prodotto di un’impresa è differenziato quando ha caratteristiche uniche rispetto ai prodotti delle imprese concorrenti.
Le automobili costituiscono un esempio di prodotto differenziato, in quanto ciascun modello possiede caratteristiche uniche in termini di design e prestazioni: le automobili non sono tutte uguali.
La domanda dei prodotti differenziati è generalmente decrescente. Se il prezzo è elevato, la domanda è bassa, in quanto costituita solo dai consumatori che hanno una forte preferenza per i prodotti di quell’impresa — nel nostro caso, per le vettura della marca Motori Lusso. Se il prezzo scende, invece, l’attrattività del prodotto aumenta e i consumatori che prima acquistavano altre vetture potrebbero adesso diventare clienti della Motori Lusso.
La curva di domanda
La curva di domanda è la relazione che indica la quantità di beni acquistati in corrispondenza di ciascun livello del prezzo. Supponiamo, a titolo esemplificativo, che nel caso della Motori Lusso vi siano 100 consumatori potenziali.
- disponibilità a pagare
- Indicatore del valore attribuito da un consumatore a un bene, corrisponde all’ammontare massimo che l’individuo sarebbe disposto a pagare per acquistare un’unità del bene. Vedi anche: disponibilità ad accettare
Ogni consumatore potenziale avrà una propria disponibilità a pagare (in inglese willingness to pay), una somma massima che sarà disposto a spendere per acquistare un’automobile della Motori Lusso, e che dipende dalla valutazione che il consumatore dà del prodotto (nei limiti della sua disponibilità economica); l’automobile verrà acquistata se il prezzo è inferiore o uguale a tale disponibilità. Ordinando i consumatori in base alla propria disponibilità a pagare e tracciando il grafico corrispondente, come nella figura 7.10, è possibile ricavare, per ogni livello di prezzo, il numero effettivo di acquirenti. Come evidenziato dalla figura, ad esempio, se P = 3.200 $ vi saranno 60 consumatori disposti ad acquistare l’automobile.
Figura 7.10 Domanda giornaliera di automobili.
Se il prezzo scende, il numero di consumatori disposti a comprare sale, dunque la domanda cresce. Le curve di domanda sono spesso rappresentate come delle rette, tuttavia non vi è ragione di credere che esse siano rettilinee; i cereali Cheerios avevano ad esempio una domanda curva. Ciò che invece possiamo ragionevolmente attenderci è che la domanda abbia un andamento decrescente: se il prezzo sale, il numero di acquirenti tende a diminuire. La relazione tra prezzo e quantità viene talora indicata con l’espressione Legge di Domanda.
La prima formulazione della legge della domanda risale al XVII secolo e viene attribuita a Gregory King (1648–1712) e Charles Davenant (1656–1714). King era membro del College of Arms di Londra, e si occupava di fornire stime dettagliate sulla popolazione e sulla ricchezza inglese. Davenant era un politico e in un suo scritto del 1699 pubblicò una tabella che, utilizzando i dati di King, metteva in relazione la variazione del prezzo del grano con quella della quantità raccolta. Egli calcolava ad esempio che una riduzione della produzione del 10% avrebbe portato ad un aumento del prezzo pari al 30%.
Evans, Heberton G. 1967. ‘The Law of Demand—The Roles of Gregory King and Charles Davenant.’ The Quarterly Journal of Economics 81 (3).
Domanda 7.7 Scegli le risposte corrette
Il diagramma rappresenta due curve di domanda alternative D and D’.
Guardando il grafico, quali delle seguenti affermazioni sono corrette?
- Su D, se il prezzo è 5.000 £, l’impresa può vendere 10 unità.
- Se Q = 70, il prezzo corrispondente su D’ è 3.000 £.
- D’ si ottiene traslando D di 40 unità verso destra. Dunque, qualunque sia il prezzo, l’impresa può vendere sempre 40 unità aggiuntive stando su D’ invece che su D.
- Con un output di 30 unità, l’impresa può scegliere un prezzo superiore di 4.000 £ stando su D’ invece che su D.
Come nel caso dei Cheerios, Motori Lusso sceglie la combinazione P e Q prendendo in considerazione sia la curva di domanda sia i costi di produzione; la domanda indica tutte le combinazioni possibili e viene confrontata con le curve di isoprofitto per individuare la combinazione ottimale, rappresentata dal punto di tangenza.
Le curve di isoprofitto
Il profitto è dato dalla differenza fra ricavi totali e costi totali:
\[\begin{align*} \text{profitto} &= \text{ricavi totali} − \text{costi totali} \\ &= P \times Q − C(Q) \end{align*}\]- profitto economico
- La differenza tra i ricavi totali di un’impresa e i suoi costi totali, questi ultimi comprensivi del costo opportunità del capitale
- profitto normale
- Livello dei profitti pari al costo opportunità del capitale. Un’impresa i cui profitti sono pari al profitto normale consegue un profitto economico pari a zero. Vedi anche: profitto economico, costo opportunità del capitale
Il profitto ricavato dalla formula è più specificamente indicato come profitto economico (diverso dal profitto o utile contabile). Ricordiamo che la funzione di costo comprende il costo opportunità del capitale, definito profitto normale; il profitto economico è dunque il profitto aggiuntivo rispetto alla remunerazione minima richiesta dagli azionisti.
Equivalentemente, possiamo definire il profitto a partire dal profitto unitario, quest’ultimo essendo pari alla differenza tra prezzo e costo medio. Il profitto sarà pari alla quantità di prodotto moltiplicato per il profitto unitario:
\[\begin{align*} \text{profitto} &= Q\left(P−\frac{C(Q)}{Q}\right) \\ &= Q(P−\text{CM}) \end{align*}\]Da questa equazione si osserva che la forma della curva di isoprofitto dipende dal costo medio. Nel caso della Motori Lusso, il costo medio ha una pendenza negativa fino a Q = 40, quantità dopo la quale la curva diventa crescente; la curva di isoprofitto corrispondente, disegnata nella figura 7.11, è simile a quella del caso Cheerios della figura 7.3, fatte salve le differenze dovute alla diversa struttura dei costi medi. La curva di isoprofitto più bassa, di colore azzurro più chiaro, rappresenta tutte le combinazioni di prezzo e quantità in corrispondenza delle quali il profitto economico è nullo: in tutti i punti sulla curva il prezzo è uguale al costo medio. Notiamo che nella figura 7.11:
- Le curve di isoprofitto sono decrescenti se P > CMg.
- Le curve di isoprofitto sono crescenti se P < CMg.
- margine di profitto
- La differenza tra prezzo e costo marginale.
La differenza fra prezzo e costo marginale si definisce margine di profitto. In ogni punto della curva di isoprofitto la pendenza è data da:
\[\begin{align*} \text{pendenza} &= −\frac{(P− \text{CMg})}{Q} \\ &= −\frac{\text{margine di profitto}}{\text{quantità}} \end{align*}\]Per comprendere questo punto, consideriamo il punto G della figura 7.11, nel quale Q = 23 e il prezzo è maggiore del costo marginale: aumentando Q di uno e riducendo P di (P – CMg)/Q i profitti non variano perché il profitto addizionale (P – CMg) sull’automobile 24 sarà interamente compensato dalla diminuzione dei ricavi (P – CMg) sulle altre 23 automobili.
Lo stesso ragionamento vale per tutti i punti nei quali P > CMg: il margine di profitto è positivo e la pendenza della curva di isoprofitto è negativa. Analogamente, quando P < CMg il margine di profitto è negativo e, se la quantità aumenta di un’unità, per mantenere costanti i profitti è necessario un aumento del prezzo: la curva di isoprofitto ha dunque pendenza positiva.
Domanda 7.8 Scegli le risposte corrette
Il grafico rappresenta la curva del costo marginale MC, del costo medio AC e di isoprofitto di un’impresa.
Cosa possiamo correttamente affermare guardando il grafico?
- Il profitto è zero lungo tutta la AC, poiché il prezzo è uguale al costo medio e il profitto = quantità × (prezzo – costo medio).
- Lungo la curva di isoprofitto passante per B, il profitto può essere calcolato per Q = 10, dove AC = 20 e P = 40. Esso è dunque pari a (40 – 20) × 10 = 200.
- Lungo la curva di isoprofitto passante per C, il profitto può essere calcolata per Q = 10, dove AC = 20 e P = 70. Esso è dunque pari a (70 – 20) × 10 = 500. Poiché in C la quantità Q è 20 e AC = 25, avremo che il profitto unitario è (P - AC) = 25. Dato che AC = 25, P deve essere 50.
- Lungo la curva di isoprofitto passante per B, il profitto può essere calcolato per Q = 10, dove AC = 20 e P = 40. Esso è dunque pari a (40 – 20) × 10 = 200. Poiché in B la quantità Q = 20 e AC = 25, avremo che il profitto unitario è (P - AC) = 10 e P = 35.
Esercizio 7.4 Guardiamo le curve di isoprofitto
Nel caso Cheerios, le curve di isoprofitto sono tutte decrescenti, mentre per Motori Lusso sono decrescenti per Q basso e crescenti per Q elevato.
- Qual è la ragione di questa differenza?
- In entrambi i casi le curve di isoprofitto più alte si avvicinano alla curva del costo medio al crescere della quantità. Perché?
7.5 La scelta di prezzo e quantità per massimizzare i profitti
La figura 7.12 riporta la domanda e le curve di isoprofitto della Motori Lusso. Qual sarà la scelta ottimale di prezzo e quantità? Le combinazioni possibili sono quelle che stanno sulla curva di domanda o sotto di essa (nell’area colorata in rosa). Per massimizzare i profitti, l’impresa sceglierà il punto di tangenza E tra la curva di domanda e la curva di isoprofitto più alta fra quelle raggiungibili.
Figura 7.12 La scelta ottima per la Motori Lusso.
La combinazione ottima è dunque \(P^{*}\) = 5.440 $ e \(Q^{*}\) = 32, che genera un profitto pari a 63.360 $. Come accadeva nel caso dei Cheerios, l’impresa da una parte deve tenere conto di due rapporti che hanno a che vedere con la variazione del prezzo e della quantità: da un lato, all’aumentare della quantità, una riduzione eccessiva del prezzo determinerebbe una riduzione dei profitti; dall’altro, è possibile aumentare le vendite solo riducendo il prezzo in misura adeguata. Più precisamente:
- la curva di isoprofitto è la curva di indifferenza dell’impresa e la sua pendenza, il saggio marginale di sostituzione (SMS), rappresenta la massima riduzione del prezzo accettabile a fronte di un aumento della quantità per evitare una riduzione del profitto;
- la domanda rappresenta la frontiera delle combinazioni possibili e la sua pendenza, il saggio marginale di trasformazione (SMT), rappresenta la minima riduzione del prezzo necessaria per poter vendere un’unità aggiuntiva del prodotto.
Sarà conveniente per l’impresa aumentare la quantità prodotta fino al punto in corrispondenza del quale la pendenza delle due curve è uguale, ovvero SMT = SMS.
Rispetto alle grandi multinazionali dell’industria automobilistica, Motori Lusso è una piccola impresa e decide di produrre solo 32 automobili al giorno; in termini di quantità prodotta, possiamo immaginarla simile a marche come Aston-Martin, Rolls Royce e Lamborghini, ciascuna delle quali produce ogni anno circa 5.000 autovetture. La piccola dimensione della Motori Lusso è determinata in parte dalla bassa domanda, che abbiamo ipotizzato essere di solo 100 potenziali clienti al giorno; nel lungo periodo, se volesse crescere di dimensioni, essa potrebbe investire in pubblicità, cercando di acquistare più visibilità e di convincere i consumatori della qualità del proprio prodotto. Ma dovrebbe anche cercare di modificare la struttura dei propri costi: al momento, i suoi costi marginali crescenti fanno sì che il costo medio inizia a crescere con una produzione giornaliera superiore alle 40 unità. Per aumentare la produzione oltre questo livello sarebbe necessario investire in nuovi impianti che possano ridurre il costo marginale.
Ottimizzazione vincolata
- ottimizzazione vincolata
- Situazione nella quale un decisore sceglie il valore di una o più variabili per raggiungere al meglio un certo scopo (per esempio massimizzare i profitti), in presenza di un vincolo che limita l’insieme possibile (per esempio la curva di domanda).
Il problema della massimizzazione dei profitti è un esempio di problema di ottimizzazione vincolata. Nei capitoli precedenti abbiamo visto altri problemi di questo tipo: la scelta delle ore di studio di Alexei, delle ore di lavoro di Angela, del salario di Maria. Questi problemi presentano tutti la medesima struttura:
- al fine di raggiungere un certo obiettivo, chi sceglie deve selezionare il valore di una o più variabili (nel caso della Motori Lusso le variabili sono prezzo e quantità);
- l’obiettivo è individuare il valore ottimo di una certa funzione obiettivo: a seconda dei casi si tratta di massimizzare l’utilità, minimizzare i costi o massimizzare i profitti;
- le scelte possibili sono limitate dalla presenza di un vincolo; i vincoli possono essere la funzione di produzione (nel caso di Angela), il vincolo di bilancio, la curva di risposta ottima (Maria) e la curva di domanda (nel caso della Motori Lusso).
In ciascuno dei casi citati abbiamo rappresentato graficamente la scelta ottima attraverso curve di indifferenza, che esprimono la funzione obiettivo, e una curva che rappresenta il vincolo e delimita l’insieme dei punti ammissibili: la soluzione del problema di scelta corrisponde al punto di tangenza tra la curva di indifferenza e il vincolo, dove il SMS (pendenza della curva di indifferenza) è uguale al SMT (pendenza del vincolo). L’ottimizzazione vincolata trova molte applicazioni in economia e la soluzione della scelta può essere ottenuta sia graficamente sia analiticamente.
Domanda 7.9 Scegli le risposte corrette
Nella figura 7.12 sono rappresentate la curva di domanda, la curva del costo marginale e la curva di isoprofitto della Motori Lusso.
La combinazione prezzo/quantità rappresentata dal punto E è \((Q^*, P^*)\) = (32, 5.440). Il costo medio sostenuto per produrre 50 o 32 autovetture è lo stesso. Supponiamo che l’impresa mantenga il prezzo P = 5.440 $, ma produca adesso 50 automobili anziché 32; quale delle seguenti risposte è corretta?
- Dalla curva di domanda, sappiamo che, al prezzo di 5.440 $, l’impresa vende solo 32 automobili.
- Il profitto si riduce di un ammontare pari al costo di produzione delle 18 automobili rimaste invendute.
- Il profitto si riduce di un ammontare pari al costo di produzione delle 18 automobili rimaste invendute.
- Il profitto si riduce di un ammontare pari al costo di produzione delle 18 automobili rimaste invendute.
Domanda 7.10 Scegli le risposte corrette
Nella figura 7.12 sono rappresentate la curva di domanda, la curva del costo marginale e la curva di isoprofitto della Motori Lusso. La combinazione prezzo/quantità rappresentata dal punto E è (Q*, P*) = (32, 5.440) alla quale corrisponde un profitto di 63.360 $.
Mettiamo che l’impresa decida di produrre Q = 32 al prezzo P = 5.400 $. Quale delle seguenti affermazioni è corretta?
- Poiché Q = 32, i costi totali non cambiano; i ricavi, invece, scendono: il profitto diminuisce.
- Poiché Q = 32, i costi totali non cambiano; i ricavi, invece, scendono di 40 $ per vettura, dunque di 1280 $ in totale. Il nuovo profitto è dunque 63.360 $ – 1.280 $ = 62.080 $.
- Nel punto E, in cui Q* = 32 e P* = 5440 $, il profitto totale è 63.360 $ e il profitto unitario 63.360 $/32 = 1980 $. Poiché 5440 $ – AC = 1980 $, avremo che AC = 3.460 $.
- Con un prezzo più basso la domanda sale e diventa maggiore di 32, quindi l’impresa riuscirà a vendere tutte le auto.
Domanda 7.11 Scegli le risposte corrette
Nella figura 7.12 sono rappresenta la curva di domanda, la curva del costo marginale e la curva di isoprofitto della Motori Lusso.
Supponiamo che l’impresa, che attualmente produce Q* = 32 a P* = 5.440 $, decida di aumentare il prezzo aggiustando la quantità da produrre per massimizzare i profitti; quale delle seguenti affermazioni è corretta?
- Ad un prezzo superiore a P*, il numero di auto che possono essere vendute è minore di 32.
- Poiché la produzione si riduce e MC è crescente, il costo marginale si riduce.
- Poiché la produzione si riduce, il costo totale si riduce.
- Qualsiasi punto ottenibile diverso da E, trovandosi su una curva di isoprofitto inferiore, comporta un livello di profitto più basso.
7.6 La massimizzazione del profitto in termini di ricavi e costi marginali
Nel paragrafo precedente abbiamo visto che per Motori Lusso la scelta ottima corrispondeva al punto di tangenza tra la curva di isoprofitto e la curva di domanda, in corrispondenza del quale \(Q^{*}\) = 32 e \(P^{*}\) = 5.440 $.
- ricavo marginale
- La differenza in ricavo che si ottiene aumentando la produzione di una unità.
Esiste un metodo alternativo per risolvere il problema di massimizzazione dei profitti, che non utilizza le curve di isoprofitto. Ricordando che i ricavi totali sono dati da \(R = P \times Q\), si definisce ricavo marginale (RMg) l’aumento dei ricavi dovuto alla produzione di un’unità in più di prodotto.
La figura 7.13 mostra come calcolare il ricavo marginale quando Q = 20: i ricavi totali sono rappresentati dall’area del rettangolo al di sotto della curva di domanda. Quando la quantità Q aumenta da 20 a 21, vi sono due effetti sui ricavi: aumentano poiché un’automobile aggiuntiva viene venduta; diminuiscono perché in seguito all’aumento della quantità di automobili vendute il prezzo scende. Il ricavo marginale è il risultato netto di questi due effetti.
La figura 7.14 mostra come ricavare la curva del ricavo marginale e come utilizzarla per trovare il punto di massimo profitto. Nel grafico in alto abbiamo tracciato la curva di domanda; in quello centrale tracciamo la curva del ricavo marginale accanto a quella del costo marginale. Vediamo che, in generale, quando P è elevato e Q è piccolo, RMg è elevato: il guadagno che deriva dalla vendita di un’unità aggiuntiva compensa la perdita dovuta al minor prezzo; al crescere di Q, invece, RMg diminuisce fino a diventare, oltre un certo livello, addirittura negativo.
La curva del ricavo marginale è solitamente decrescente. Il grafico centrale e quello più in basso nella figura 7.14 mostrano che i profitti sono massimi in corrispondenza del punto di intersezione tra le curve di ricavo e di costo marginale. Per capire il motivo, ricordiamo che il profitto è la differenza tra ricavi e costi, per cui, in corrispondenza di ciascun valore di Q, un aumento unitario della quantità determina una variazione dei profitti pari alla differenza tra variazione marginale dei ricavi (RMg) e variazione marginale dei costi (CMg):
\[\begin{align*} \text{profitti} &= \text{ricavi totali} − \text{costi totali} \\ \text{variazione dei profitti} &= \text{RMg} − \text{CMg} \end{align*}\]Chiaramente:
- Se RMg > CMg i profitti aumentando all’aumentare di Q.
- Se RMg < CMg i profitti si riducono all’aumentare di Q (l’impresa dovrebbe dunque diminuire la quantità prodotta).
Nella parte inferiore della figura 7.14 si osserva come varia il profitto in base alla quantità scelta. Così come il costo marginale è uguale alla pendenza della funzione di costo, il profitto marginale è dato dalla pendenza della funzione di profitto; in questo caso:
- se Q < 32, RMg > CMg: i profitti aumentano all’aumentare di Q;
- se Q > 32, RMg < CMg: i profitti diminuiscono all’aumentare di Q;
- se Q = 32, RMg = CMg: i profitti sono massimi.
Domanda 7.12 Scegli le risposte corrette
La figura mostra il costo marginale e il ricavo marginale per l’impresa Motori Lusso.
Basandosi sull’informazione deducibile dalla figura, quali delle seguenti affermazioni è corretta?
- Se Q = 40, il costo marginale è maggiore del ricavo marginale, dunque il profitto marginale è negativo: ciò non significa che il profitto totale sia negativo.
- Il ricavo marginale per Q = 10 è maggiore che per Q = 20. Tuttavia, poiché il ricavo marginale è positivo se la quantità aumenta da 10 a 20, i ricavi sono crescenti nella quantità.
- Il profitto marginale è zero in E, che rappresenta quindi il punto di massimo profitto. L’impresa, pertanto, lo sceglierà.
- Per tutti i punti fino a E, il ricavo marginale è più alto del costo marginale, dunque i profitti, in questo tratto, sono crescenti rispetto alla quantità.
- surplus
- No definition available.
- rendita economica
- La ottiene un individuo che riceve un pagamento o un altro tipo di remunerazione superiore a quanto avrebbe ricevuto nella migliore alternativa alla situazione corrente (cioè scegliendo l’opzione di riserva). Vedi anche: opzione di riserva
- guadagni dallo scambio
- La differenza tra quanto i partecipanti a uno scambio complessivamente ottengono realizzando lo scambio rispetto a quanto avrebbe ottenuto se lo scambio non avesse avuto luogo. Vedi anche: rendita economica
- Pareto-efficiente
- Lo è un’allocazione se nessun’altra allocazione possibile può migliorare la condizione di un individuo senza peggiorare quella di un altro, cioè se nessun’altra allocazione possibile la domina.
7.7 I vantaggi derivanti dallo scambio
Quando due individui si accordano su uno scambio, come visto nel Capitolo 5, agiscono per migliorare la loro condizione e ottenere un surplus, che rappresenta una rendita economica. Il surplus complessivo per le parti coinvolte nello scambio misura i cosiddetti guadagni dallo scambio. Come abbiamo fatto in precedenza per Angela e Bruno nel Capitolo 5, possiamo analizzare i risultati dell’interazione economica tra i consumatori e un’impresa, ovvero la creazione del surplus e il modo in cui è ripartito, in termini di equità ed efficienza. Fino ad ora abbiamo assunto che le regole del gioco nel mercato (dei Cheerios o delle automobili) fossero le seguenti:
- l’impresa decide quanto produrre e a quale prezzo vendere;
- l’individuo decide se acquistare.
Quando imprese e consumatori interagiscono, lo scambio porta a mutui vantaggi. Nello specifico della Motori Lusso, il consumatore otterrà un surplus se la sua disponibilità a pagare è maggiore del prezzo di acquisto dell’automobile. Analogamente, l’impresa ottiene una rendita finché il costo marginale (cioè il costo di produzione di una vettura aggiuntiva) è minore del prezzo di vendita. Il costo di produrre ciascuna automobile è indicato dal costo marginale, per cui l’impresa ottiene una rendita su tutte le automobili il cui costo è inferiore al prezzo. La figura 7.15 mostra come trovare il surplus del consumatore e del produttore una volta che Motori Lusso ha fissato il prezzo di vendita in modo da massimizzare i profitti.
Surplus del consumatore, surplus del produttore e profitto
- Il surplus del consumatore misura i benefici che ricevono i consumatori dalla partecipazione allo scambio.
- Il surplus del produttore è strettamente collegato al profitto, anche se si tratta di un concetto leggermente diverso. Infatti, il surplus del produttore è la differenza fra costi e ricavi marginali per ogni unità, quindi non considera i costi fissi.
- Il profitto è dato dal surplus del produttore meno i costi fissi.
- Il surplus totale è la somma dei surplus del consumatore e del produttore.
- surplus del consumatore
- La somma, per tutte le unità acquistate di un certo bene, delle differenze tra la disponibilità a pagare da parte del consumatore per quell’unità e il suo prezzo di acquisto.
- surplus del produttore
- La somma, per tutte le unità prodotte e vendute di un certo bene, tra il prezzo di vendita e il prezzo minimo che l’impresa sarebbe stata disposta ad accettare per vendere quell’unità.
Nella figura, l’area colorata al di sopra di \(P^{**}\) rappresenta il surplus del consumatore e quella sotto \(P^{**}\) il surplus del produttore; sia i consumatori sia l’impresa ottengono dunque un beneficio dallo scambio, la cui ripartizione dipende dal potere contrattuale di ciascuna. In questo caso, la quota maggiore del surplus viene ottenuta dall’impresa che, essendo l’unica venditrice di automobili Motori Lusso, gode di un potere contrattuale maggiore. I consumatori che desiderano specificamente quel tipo di automobile non hanno alternative, non hanno alcun potere contrattuale perché l’impresa ha molti altri potenziali clienti.
Efficienza paretiana
- miglioramento paretiano
- Un cambiamento dal quale almeno un individuo trae beneficio senza che peggiori la condizione degli altri individui.
Possiamo chiederci se l’equilibrio di mercato rappresentato nella figura 7.15 sia efficiente in senso paretiano. La risposta è no. Vi sarebbero infatti dei consumatori disposti ad acquistare ad un prezzo inferiore a quello di mercato ma superiore al costo marginale (cioè superiore al costo sostenuto dall’impresa per produrre un’autovettura in più). Se lo scambio a tale prezzo inferiore potesse avvenire, aumenterebbero sia il surplus del produttore (il prezzo di vendita è superiore al costo di produzione) sia quello del consumatore (il prezzo è inferiore alla sua disponibilità a pagare): lo scambio produrrebbe dunque un miglioramento paretiano.
L’allocazione efficiente è rappresentata dal punto F, in corrispondenza del quale la curva del costo marginale interseca la curva di domanda. Rispetto a tale punto non sono possibili miglioramenti paretiani. Come evidenziato nella figura 7.16, il surplus totale è maggiore nel punto F che nel punto E; tuttavia, l’impresa non sceglierà F, poiché in questo punto il suo profitto è inferiore (come si vede considerando la curva di isoprofitto).
- perdita secca
- La perdita di surplus totale dovuta al fatto che non è stata selezionata un’allocazione Pareto-efficiente.
Poiché l’impresa sceglie E, vi è una perdita potenziale di surplus, chiamata perdita secca, rappresentata nella figura dall’area del triangolo delimitato dalle curva di domanda e dalla curva del costo marginale a destra del livello Q = 32.
Occorre chiarire un punto: abbiamo affermato che spostarsi da E a F costituirebbe un miglioramento paretiano, eppure l’impresa sceglie E. Questo perché il raggiungimento del punto Pareto-efficiente F sarebbe possibile solo se l’impresa fosse in grado di vendere le proprie automobili ai consumatori esclusi dallo scambio ad un prezzo più basso di quello applicato per le prime 32 unità vendute. L’impresa sceglie E perché questo è il meglio che può fare date le regole del gioco (che in questo caso prevedono la fissazione di un unico prezzo per tutti gli acquirenti). L’allocazione risultante dalla scelta di un’impresa che vende un prodotto differenziato e ha la possibilità di fissare il prezzo di vendita è Pareto-inefficiente; essa utilizza il proprio potere di mercato per fissare un prezzo più alto del costo marginale, e così facendo produce una quantità inferiore al livello Pareto-efficiente.
Il fatto che un esito sia Pareto-efficiente non esclude la possibilità di considerare un cambiamento delle regole del gioco. Se esiste un’allocazione fattibile nella quale qualcuno sta meglio e nessuno sta peggio, allora E non è Pareto-efficiente. Ma potremmo immaginare diverse regole del gioco, e ipotizzare ad esempio che l’impresa possa applicare prezzi diversi a clienti diversi. Se essa fosse in grado di fissare un prezzo appena inferiore alla disponibilità a pagare di ciascun acquirente, potrebbe concludere la vendita con tutti i potenziali acquirenti la cui disponibilità a pagare è maggiore del costo marginale, realizzando in questo modo tutti i possibili scambi mutuamente vantaggiosi e vendendo una quantità efficiente. Per fissare i prezzi su base individuale nel modo descritto, e realizzare una politica di discriminazione dei prezzi, l’impresa dovrebbe tuttavia conoscere la disponibilità a pagare di ciascun potenziale acquirente. In questo caso, essa otterrebbe l’intero surplus (il surplus del consumatore sarebbe nullo): possiamo ritenere che questo esito sarebbe iniquo, ma l’allocazione di mercato sarebbe Pareto-efficiente.
Esercizio 7.5 Cambiamo le regole del gioco
- Supponiamo che la Motori Lusso possa discriminare tra consumatori, applicando a ciascuno un prezzo pari alla sua disponibilità a pagare. Disegna la domanda e il costo marginale (come nella figura 7.16) e indica sul grafico
- il numero di automobili vendute;
- il prezzo più alto e il prezzo più basso applicati;
- il surplus del consumatore e quello del produttore.
- Puoi fornire un esempio di beni venduti in questo modo?
- Perché non è una cosa comune?
- Alcune imprese realizzano una parziale discriminazione di prezzo; le compagnie aeree, ad esempio, applicano prezzi diversi ai viaggiatori last-minute. Spiega il motivo di una tale scelta e gli effetti sulla distribuzione del surplus.
- Descrivi possibili regole del gioco, diverse dalla discriminazione dei prezzi, che diano ai consumatori un maggior potere contrattuale.
- Quante automobili possono essere vendute con queste nuove regole?
- Come si ripartisce il surplus tra consumatori e produttori?
Domanda 7.13 Scegli le risposte corrette
Quale delle seguenti affermazioni è corretta?
- Per la precisione, ogni consumatore riceve un surplus pari alla differenza tra disponibilità a pagare e prezzo; il surplus del consumatore totale è la somma dei surplus individuali.
- Il surplus del produttore è la differenza tra il ricavo dell’impresa e i suoi costi variabili (la somma di tutti i costi marginali). Questo è diverso dal profitto perché non prende in considerazione i costi fissi.
- La perdita secca è la perdita di surplus potenziale che si ottiene quando un’impresa produce una quantità inferiore all’ottimo paretiano. in condizioni di efficienza allocativa ed il surplus effettivo derivante dalle scelte dell’impresa che massimizza i profitti.
- Tutti i potenziali vantaggi dello scambio sono ottenuti quando il livello di produzione è quello pareto-efficiente. La scelta che massimizza il profitto di un’impresa con potere di mercato che produce un prodotto differenziato non è Pareto-efficiente.
7.8 L’elasticità della domanda
- elasticità della domanda
- La riduzione percentuale di domanda dovuta a un aumento di prezzo pari all’1%. L’elasticità della domanda assume valori positivi: quando essa è maggiore di uno diremo che la domanda è elastica, quando è minore di uno che la domanda è inelastica.
Abbiamo visto che l’impresa massimizza i profitti scegliendo il punto in cui SMS = SMT. La scelta dipende dunque dalla pendenza della curva di domanda, cioè da quanto la quantità domandata dai consumatori risponde a una variazione prezzo del bene. L’elasticità della domanda rispetto al prezzo è una misura di tale risposta. Essa è definita come la variazione percentuale nella domanda che si verifica in risposta ad un aumento percentuale del prezzo dell’1%. Dunque, supponendo che a fronte di un aumento del prezzo del 10% la domanda si riduce del 5%, l’elasticità sarà
\[\varepsilon = −\frac{\text{variazione percentuale della domanda}}{\text{variazione percentuale del prezzo}} = −\frac{−5}{10}= 0,5\]la lettera greca \(\varepsilon\) (epsilon) è spesso utilizzata per indicare l’elasticità. Dal momento che la quantità domandata normalmente diminuisce all’aumentare del prezzo, il segno meno davanti alla formula fa sì che l’elasticità assuma valori positivi. L’elasticità è strettamente legata alla pendenza della curva di domanda: una domanda piatta corrisponde ad un’elevata reattività della quantità rispetto al prezzo e, quindi, a un valore elevato dell’elasticità; viceversa, una domanda molto ripida è associata ad una bassa elasticità. È tuttavia opportuno precisare che elasticità e pendenza non sono la medesima cosa: l’elasticità cambia lungo la curva di domanda anche quando la pendenza rimane costante. La figura 7.17 mostra la domanda di automobili, che, essendo una retta, ha pendenza costante. In ciascun punto, ad un aumento unitario della quantità (\(\Delta Q=1\)) corrisponde una riduzione del prezzo di 80 $ (\(\Delta P = 80\)), per cui
\[\text{pendenza della curva di domanda} = −\frac{\Delta P}{\Delta Q} = −80.\]Possiamo agevolmente calcolare l’elasticità per Q = 20 e P = 6.400 $:
\[\begin{align*} \text{variazione percentuale di }Q &= 100\left(\frac{\Delta Q}{Q}\right) = 100\left(\frac{1}{20}\right) = 5\% \\ \text{variazione percentuale di }P &= 100\left(\frac{\Delta P}{P}\right) = 100\left(\frac{−80}{6400}\right) = −1,25% \end{align*}\]Da cui:
\[\varepsilon = −\frac{5}{−1,25} = 4\]Procedendo in modo analogo, è possibile calcolare l’elasticità in corrispondenza di diversi punti della domanda. I valori sono riportati nella tabella della figura 7.17. Osserviamo che, muovendoci lungo la curva di domanda, l’elasticità si riduce.
Diremo che la domanda di un bene è elastica se l’elasticità è maggiore di uno e inelastica (rigida) se l’elasticità è minore di uno. Come si vede dalla tabella nella figura 7.17, il ricavo marginale è positivo se e solo se la domanda è elastica; infatti, un aumento della quantità venduta aumenta i ricavi solo se ad esso si accompagna una piccola riduzione del prezzo; se invece la domanda è rigida, per riuscire a vendere un’unità aggiuntiva l’impresa è costretta a ridurre significativamente il prezzo e i ricavi diminuiranno. Nell’Einstein che segue dimostreremo che questa relazione vale per tutti i tipi di domanda.
Domanda 7.14 Scegli le risposte corrette
Un negozio vende 20 cappelli a settimana a 10 $ cadauno. Quando il prezzo aumenta a 12 $, la quantità scende a 15. Quali tra le seguenti affermazioni sono corrette?
- Se il prezzo sale, la domanda diminuisce.
- L’aumento percentuale del prezzo è 100 x 2/10 = 20% Ciò causa una diminuzione percentuale della domanda pari a 100 x 5/20 = 25%.
- Usando i valori riportati in figura si può verificare che l’elasticità è maggiore di uno, quindi la domanda è elastica.
- L’aumento percentuale del prezzo è 100 x 2/10 = 20%, la diminuzione percentuale della domanda è pari a 100 x 5/20 = 25%. Quindi l’elasticità è 25/20 = 1,25.
La Motori Lusso massimizza i profitti quando Q = 32; nella figura 7.17, vediamo che in quel punto la domanda è elastica. Nel punto scelto l’elasticità sarà sempre maggiore di uno. L’impresa non avrebbe infatti alcuna convenienza a scegliere il punto D, dove la domanda è inelastica, perché in quel punto il ricavo marginale sarebbe negativo: una riduzione della quantità porterebbe cioè ad un aumento dei ricavi oltre che ad una riduzione dei costi.
Al diminuire dell’elasticità, l’impresa tenderà a fissare un prezzo che si discosta maggiormente dal costo marginale, aumentando il margine di profitto (differenza tra prezzo e costo marginale). Il markup, definito come il rapporto tra il margine di profitto e il prezzo, è inversamente proporzionale all’elasticità. Nella figura 7.18 è rappresentato il caso di una domanda molto elastica: piccole differenze di prezzo provocano effetti rilevanti nella quantità. La scelta ottima dell’impresa che massimizza il profitto sarà nel punto E, dove il margine di profitto è modesto. La figura 7.19 mostra invece la decisione di un produttore di automobili che ha la medesima struttura dei costi, ma si confronta con una curva di domanda meno elastica. La domanda non è molto sensibile agli aumenti di prezzo, e l’impresa sfrutta questa situazione per ottenere una quota più ampia di surplus; il risultato è una minore quantità venduta e una perdita secca più elevata.
Figura 7.18 Domanda elastica.
Figura 7.19 Domanda rigida.
- markup
- Il rapporto tra il margine di profitto (differenza tra prezzo e costo marginale) e il prezzo. Per un’impresa che massimizza il profitto, è inversamente proporzionale all’elasticità della domanda del bene prodotto. Vedi anche: margine di profitto
Domanda 7.15 Scegli le risposte corrette
La figura rappresenta due curve di domanda D1 e D2.
In base alla figura, quali delle seguenti affermazioni sono corrette?
- Nel punto E, il prezzo e la quantità domandata sono le medesime nelle due curve, ma la domanda D1 ha maggiore pendenza e, quindi, è meno elastica di D2.
- Le inclinazioni in A e C sono uguali, ma in A il prezzo è maggiore e la quantità minore, dunque l’elasticità è più elevata.
- Il prezzo e la quantità sono identiche su entrambe le curve, ma D1 ha maggiore pendenza e, quindi, le elasticità sono diverse.
- L’inclinazione della domanda in E e C è la medesima, ma in E il prezzo è più alto e la quantità più bassa, dunque l’elasticità è maggiore.
Einstein L’elasticità della domanda e il ricavo marginale
Con l’aiuto della figura spieghiamo come ottenere la formula dell’elasticità in un generico punto (Q, P) sulla curva di domanda, e mostriamo la relazione esistente tra elasticità e pendenza della domanda. In generale, una domanda piatta è associata ad un’elasticità elevata.
![]()
Supponiamo che la domanda sia elastica nel punto A. Allora l’elasticità è maggiore di uno:
\[−\frac{P \Delta Q}{\text{Q}\Delta P} > 1\]Moltiplicando per \(−Q\Delta P\) (positivo):
\[P\Delta Q > −Q\Delta P\]da cui:
\[P\Delta Q + Q\Delta P > 0.\]Consideriamo il caso \(\Delta Q = 1\). La disuguaglianza diventa:
\[P + Q \Delta P > 0.\]Il ricavo marginale, che rappresenta la variazione del ricavo se Q aumenta di un’unità, deriva dalla combinazione di due effetti di segno opposto: da una parte le vendite aumentano di un’unità producendo un effetto positivo pari a P; dall’altra, l’impresa è costretta ad applicare un prezzo inferiore a tutte le unità in vendita per vendere tutto, perdendo quindi l’ammontare \(Q \Delta P\). La disuguaglianza precedente, quindi, indica che il ricavo marginale è positivo.
Abbiamo dimostrato che, se la domanda è elastica, RMg > 0; in maniera analoga si può verificare che, in caso di domanda rigida, RMg < 0.
Il markup scelto dall’impresa
Dimostriamo che il markup scelto dall’impresa è inversamente proporzionale all’elasticità della domanda rispetto al prezzo. Sappiamo che, nel punto di massimo profitto, l’inclinazione della curva di isoprofitto e quella della domanda sono uguali e che la pendenza della domanda è collegata all’elasticità:
\[\varepsilon = −\frac{P}{Q}\times\frac{1}{\text{pendenza della domanda}}\]da cui:
\[\text{pendenza della curva di domanda} = −\frac{P}{Q}\times\frac{1}{\text{elasticità}}.\]Dal paragrafo 7.4 sappiamo che:
\[\text{pendenza della curva di isoprofitto} = −\frac{(P − \text{CMg})}{Q}.\]Se le due inclinazioni sono identiche:
\[\frac{(P − \text{CMg})}{Q} = \frac{P}{Q}\times\frac{1}{\text{elasticità}}\]da cui ricaviamo la formula del markup:
\[\frac{(P − \text{CMg})}{P} = \frac{1}{\text{elasticità}}\]
7.9 L’elasticità della domanda e la politica economica
Conoscere l’elasticità della domanda è molto importante anche per le decisioni di politica economica. Supponiamo che il governo introduca un’imposta che va ad aumentare il prezzo di uno specifico bene (ovvero un’accisa):
- se la domanda è elastica, vi sarà una forte riduzione delle vendite; l’effetto potrebbe essere intenzionale quando lo scopo è quello di scoraggiare il consumo di certi beni (ad esempio le imposte sul tabacco possono servire a scoraggiare un comportamento dannoso per la salute);
- una riduzione delle vendite, tuttavia, diminuirà l’importo totale dell’imposta incassata dal governo.
Se l’obiettivo del governo è quello di aumentare le proprie entrate fiscali, le accise devono quindi essere applicare su prodotti a domanda rigida, mentre un’elasticità elevata indica che la tassazione potrebbe essere uno strumento efficace per ridurre il consumo di beni nocivi per la salute.
Uno studio condotto nel 2014 ha dimostrato che, a partire dal 1980, il rischio di obesità è aumentato sia in età adulta sia in età infantile; nel 2013 il 37% degli uomini e il 38% delle donne, nel mondo, erano obese o sovrappeso. In Nord America i numeri sono ancora più preoccupanti, essendo rispettivamente del 70% e del 61%. Sorprendentemente, la questione non riguarda solo i paesi ricchi: nel Medio Oriente e in Nord Africa si osservano tassi del 59% e 66%. In risposta a questo problema, paesi come il Messico e la Francia hanno introdotto imposte su cibo e bibite zuccherate.
Gli economisti Matthew Harding e Michael Lovenheim hanno utilizzato dati su diversi tipi di alimenti per studiare le elasticità di domanda e comprendere i possibili effetti delle imposte sul loro consumo. Hanno diviso i prodotti in 33 diverse categorie e hanno stimato di variazioni dei prezzi sulla composizione della spesa alimentare, tenendo conto degli effetti che ciascun prezzo ha anche sul consumo di beni nelle altre categorie. La tabella 7.1 mostra i risultati dello studio:
| Categoria | Tipo | Calorie per porzione | Prezzo per 100g ($) | Spesa settimanale ($) | Elasticità di prezzo |
|---|---|---|---|---|---|
| 1 | Frutta e vegetali | 660 | 0,38 | 2,00 | 1,128 |
| 2 | Frutta e vegetali | 140 | 0,36 | 3,44 | 0.830 |
| 15 | Cereali, pasta e pane | 1.540 | 0,38 | 2,96 | 0,845 |
| 17 | Cereali, pasta e pane | 960 | 0,53 | 2,64 | 0,292 |
| 28 | Snack e dolciumi | 433 | 1,13 | 4,88 | 0,270 |
| 29 | Snack e dolciumi | 1.727 | 0,68 | 7,60 | 0,295 |
| 30 | Latte | 2.052 | 0,09 | 2,32 | 1,793 |
| 31 | Latte | 874 | 0,15 | 1,44 | 1,972 |
Tabella 7.1 Elasticità della domanda per diverse tipologie di cibo.
harding.lovenheim.2013
Questo blog mostra una reazione allo studio di Matthew Harding e Michael Lovenheim: The Huffington Post. 2014. There’s An Easy Way To Fight Obesity, But Conservatives Will HATE It). The Huffington Post.
Si può osservare che la domanda di latticini a basso contenuto calorico è quella più reattiva alle variazioni di prezzo: se il prezzo aumenta del 10%, la quantità scende del 19,72%. La domanda di snack e dolciumi, invece, è piuttosto rigida e questo suggerisce che imposte mirata a limitarne il consumo sarebbero probabilmente poco efficaci.
Harding e Lovenheim hanno analizzato gli effetti di un’imposta del 20% su zucchero, grassi e sale: un’imposta sullo zucchero del 20% aumenterebbe del 10% il prezzo di un alimento contenente il 50% di zuccheri e avrebbe un effetto rilevante sulle scelte nutrizionali, riducendo il consumo di zucchero del 16%, di grassi del 12%, di sale del 10% e l’introito calorico del 19%.
Esercizio 7.6 Elasticità e spesa
La tabella 7.1 mostra come ripartisce la sua spesa tra le vari gruppi di alimenti un consumatore americano che spende in generi alimentari 80 $ la settimana. Supponiamo che il prezzo della categoria 30, che rappresenta latticini ad alto contenuto calorico, aumenti del 10%:
- In che percentuale scenderebbe la quantità appartenente alla categoria 30?
- Calcolate la quantità, misurata in grammi, consumata prima e dopo la variazione di prezzo.
- Calcolate la spesa destinata alla categoria 30 prima e dopo la variazione del prezzo. Dovresti ottenere una diminuzione della spesa.
- Adesso, scegliete una categoria con elasticità minore di uno e ripeti i calcoli precedenti. Dovreste ottenere un aumento della spesa.
Esercizio 7.7 Imposte sul cibo e salute
Le imposte sul cibo sono uno strumento dibattuto, alcuni ritengono infatti che gli individui debbano essere liberi di scegliere come nutrirsi senza che il governo interferisca. Altri sostengono che il governo debba poter intervenire, visto che chi si ammala peserà sul sistema sanitario pubblico.
Fornite degli argomenti a favore o contro le imposte sul cibo come strumento per incoraggiare comportamenti alimentari più sani.
7.10 Fissazione del prezzo, concorrenza e potere di mercato
- monopolio
- Si ha un monopolio quando un’impresa è l’unica a vendere un prodotto per il quale non esistono sostituti stretti. Un mercato monopolistico è un mercato con un solo venditore. Vedi anche: potere di mercato, monopolio naturale, mercato monopolistico
La nostra analisi della determinazione del prezzo si applica al caso di un’impresa che vende un prodotto differenziato rispetto a quello delle altre imprese. Nel XIX secolo l’economista francese Augustin Cournot sviluppo un’analisi per molti versi simile alla nostra, facendo riferimento al caso di un’impresa che vende “l’acqua minerale proveniente da una sorgente con proprietà uniche per la salute”. Cournot si riferiva ad una situazione di monopolio — in un mercato monopolistico c’è un’unica impresa che vende il prodotto — e dimostrò che il prezzo di mercato fissato dal venditore era superiore al costo marginale di produzione.3
Grandi economisti Augustin Cournot
L’economista francese Augustin Cournot (1801–1877) deve la sua fama al suo modello di mercato oligopolistico, un mercato caratterizzato da numero ristretto di imprese. Nel libro Recherches sur les Principes Mathématiques de la Théorie des Richesses (Ricerca sui principi matematici della teoria della ricchezza) del 1838, Cournot introdusse un nuovo approccio allo studio dell’economia, basato sull’utilizzo della matematica; una novità che egli temeva gli avrebbe portato “la disapprovazione di teorici di fama”. L’opera di Cournot influenzò altri economisti del XIX secolo come Marshall e Walras, e fissò alcuni principi che vengono tuttora utilizzati per comprendere il comportamento delle imprese. Benché formulata in modo algebrico anziché grafico, la sua analisi della domanda e della massimizzazione del profitto è molto simile a quella che abbiamo presentato in questo capitolo.
Come abbiamo visto nel paragrafo 7.6, quando il prezzo è fissato ad un livello al di sopra del costo marginale l’allocazione non è Pareto-efficiente: parleremo, in casi come questo, di fallimento del mercato. La perdita secca esprime una misura delle conseguenze del fallimento del mercato e, come visto nel paragrafo 7.7, essa è tanto maggiore quanto più il prezzo si discosta dal costo marginale, e dunque quanto minore è l’elasticità della domanda.
Cosa determina l’elasticità della domanda? Perché per alcuni beni la domanda é più elastica che per altri? Per rispondere a queste domande occorre analizzare il comportamento del consumatore. I mercati con prodotti differenziati riflettono l’eterogeneità delle preferenze dei consumatori: coloro che desiderano acquistare un’automobile ricercano diverse caratteristiche, presenti in alcuni modelli più che in altri; la disponibilità a pagare non dipende soltanto dalle caratteristiche del prodotto che desideriamo acquistare, ma anche dalle da quelle dei prodotti simili venduti dalle altre imprese. La tabella 7.2 riporta il prezzo di diversi modelli di automobili a tre porte con cilindrata intorno ai 1000cc, rilevato nel Gennaio 2014 in Inghilterra su un sito web di comparazione. Sebbene i diversi modelli fossero simili nelle loro caratteristiche principali, il sito web li confrontava anche sulla base di altre 75 caratteristiche secondarie che li differenziavano l’uno dall’altro.
| Prezzo | |
|---|---|
| Ford Fiesta | 11.917 £ |
| Vauxhall Corsa | 11.283 £ |
| Peugeot 208 | 10.384 £ |
| Toyota IQ | 11.254 £ |
Tabella 7.2 Prezzi di alcuni modelli di automobili nel Regno Unito (gennaio 2014).
Autotrader.com
Quando il consumatore può scegliere tra modelli di automobili simili, la domanda per un’auto di uno specifico modello è probabilmente elastica: se, ad esempio, aumenta il prezzo della Ford Fiesta, la domanda può diminuire in maniera consistente perché i consumatori hanno la possibilità di scegliere altre marche. In maniera analoga, se il prezzo scende, molti consumatori che precedentemente erano orientati su altre marche possono spostare le loro preferenze sulla Ford Fiesta. Più vicine sono le caratteristiche dei diversi modelli, minori saranno le differenze di prezzo. Solo chi ha sviluppato una maggiore fedeltà al marchio Ford, e solo coloro che hanno una forte preferenza per caratteristiche uniche dei modelli Ford, mostreranno una scarsa reattività alle variazioni di prezzo. Il fatto che la maggior parte dei clienti modifichi la propria scelta in risposta al prezzo comporta per l’impresa un margine di profitto piuttosto esiguo.
- rendita monopolistica
- Il profitto economico generato dalla mancanza di concorrenza nel mercato del bene o servizio prodotto dall’impresa. Vedi anche: profitto economico
Diverso è il caso di un produttore di automobili con caratteristiche speciali e uniche rispetto ai modelli offerti dai concorrenti. Tale impresa avrà una domanda meno elastica e potrà fissare un prezzo ben al di sopra del costo marginale senza rischiare di perdere i propri clienti. La posizione di cui gode garantirà a questa impresa una rendita monopolistica, ovvero profitti che eccedono i costi di produzione. Come abbiamo visto nel Capitolo 2, anche un’impresa innovativa ottengono una simile rendita monopolistica, almeno fino a che le imprese concorrenti non sono in grado di replicare la nuova tecnologia.
- beni sostituti
- Due beni A e B sono sostituti se quando aumenta il prezzo del bene A aumenta la quantità domandata del bene B. Vedi anche: beni complementari
- potere di mercato
- Capacità di un’impresa di fissare un prezzo alto per il proprio prodotto senza doversi adeguare al prezzo dei concorrenti, agendo quindi da price-setter invece che da price-taker.
Un’impresa si trova in una posizione di forza se la concorrenza è bassa, ovvero se vi sono poche imprese che producono beni sostituti. In questo caso, la domanda è rigida e l’impresa gode di un elevato potere di mercato; il suo potere contrattuale nei confronti dei suoi clienti le consente di fissare un prezzo elevato senza andare incontro a un significativa riduzione della domanda a vantaggio dei concorrenti.
Politiche per la concorrenza
Questa discussione spiega perché le autorità politiche siano così preoccupate per la presenza di imprese che hanno pochi concorrenti. Il potere di mercato consente ad un’impresa di fissare prezzi elevati e ottenere elevati profitti a danno dei consumatori: il surplus dei consumatori diminuisce perché molti tra loro devono rinunciare all’acquisto del bene e chi lo acquista paga un prezzo più elevato. I proprietari dell’impresa ci guadagnano, ma come abbiamo visto, si determina una perdita secca.
Imprese che operano in mercati di nicchia, come la nostra Motori Lusso (o, nel mondo reale, la Lamborghini), non attirano l’attenzione dei governi, poiché l’impatto delle loro scelte sul benessere della collettività è limitato; ma se un’impresa acquisisce una posizione dominante in un mercato di rilevo, il governo può intervenire per promuovere la concorrenza. Nel 2000, ad esempio, la Commissione Europea ha impedito a Volvo e Scania di fondersi, perché la nuova impresa nata dalla fusione avrebbe avuto una posizione dominante nel mercato dei camion in Irlanda e nei paesi nordici; in Svezia la somma delle quote di mercato delle due imprese arriva infatti al 90% e la fusione avrebbe creato di fatto una situazione di monopolio.
- cartello
- Gruppo di imprese operanti in uno stesso mercato che si accordano tra loro con lo scopo di aumentare i profitti.
Un altro motivo di preoccupazione quando su un mercato opera un numero ridotto di imprese è la possibilità che esse formino un cartello, ovvero che esse, invece di competere tra loro, colludano per mantenere elevati i prezzi, comportandosi come se fossero un monopolista. Un noto esempio è rappresentato dall’OPEC, l’associazione dei maggiori paesi esportatori di petrolio, i cui membri si accordano sulla quantità da produrre al fine di controllare il prezzo globale del greggio. Il cartello formato dall’OPEC ha avuto un ruolo importante nel mantenere elevati i prezzi successivamente ai due shock petroliferi del 1973 e del 1979. Torneremo a parlare delle fluttuazioni del prezzo del petrolio nel Capitolo 11 e nel Capitolo 15 ne analizzeremo gli effetti sull’inflazione e la disoccupazione .
- politiche per la concorrenza
- L’insieme delle iniziative e delle norme che mirano a limitare il potere di mercato derivante dalle posizioni di monopolio e a prevenire la formazione di cartelli.
Gilbert, Richard J., e Michael L. Katz. 2001. ‘An Economist’s Guide to US v. Microsoft’. Journal of Economic Perspectives 15 (2): pp. 25–44. Krajewski, Markus. 2014. ‘The Great Lightbulb Conspiracy.’ IEEE Spectrum. Updated 25 September. Vickers, John. 1996. ‘Market Power and Inefficiency: A Contracts Perspective.’ Oxford Review of Economic Policy 12 (4): pp. 11–26. Basker, Emek. 2007. ‘The Causes and Consequences of Wal-Mart’s Growth’. Journal of Economic Perspectives 21 (3): pp. 177–198.
Benché i cartelli tra imprese privati siano illegali in molti Paesi, le imprese spesso trovano comunque il modo di cooperare per fissare i prezzi e garantirsi profitti più elevati. Le politiche economiche che mirano a ridurre il potere di mercato delle imprese e a prevenire la formazione di monopoli o di cartelli si definiscono politiche per la concorrenza, o anche politiche antitrust.
La fissazione di prezzi elevati non è l’unico modo col quale le imprese dominanti possono sfruttare la propria posizione di forza. Nel 2001, in un famoso caso antitrust, il Dipartimento di Giustizia degli Stati Uniti accusò Microsoft di aver adottato comportamenti anticoncorrenziali incorporando nel sistema il browser di rete Internet Explorer, rendendone l’utilizzo di fatto obbligatorio per la navigazione web; negli anni Venti, imprese come Philips, Osram e General Electric formarono un cartello per produrre lampadine con vita limitata a 1.000 ore di luce, così da indurre i consumatori a rimpiazzarle con maggior frequenza; Walmart è stata accusata di applicare prezzi estremamente bassi col fine di far fallire i rivenditori locali e abbassare i salari nelle aree in cui opera.
Esercizio 7.8 Multinazionali o rivenditori indipendenti?
Immaginate di essere gli amministratori di una città dove una multinazionale intende aprire un nuovo supermercato. Supponete che vi siano delle proteste organizzate da parte di chi teme che i negozi della zona vengano messi fuori mercato, con effetti negativi sulla possibilità di scelta dei consumatori e sul tessuto urbano. C’è anche un gruppo favorevole al supermercato, che argomenta che, qualora ci fossero le conseguenze indicate, sarebbe solo il segno che i consumatori preferiscono il supermercato.
Da che parte vi schierereste?
Domanda 7.16 Scegli le risposte corrette
Supponiamo che una multinazionale intenda costruire un supermercato in una piccola città. Quali delle seguenti affermazioni possono essere considerate corrette?
- La presenza di beni sostituti implica generalmente in una domanda elastica.
- La presenza di beni sostituti si traduce in concorrenza tra produttori e, tipicamente, in prezzi più bassi.
- Se i rivenditori di zona falliscono, la multinazionale avrà ampio potere di mercato e potrà applicare prezzi elevati.
- L’alta differenziabilità, sinonimo di bassa sostituibilità, implica generalmente una domanda rigida, non elastica.
7.11 Selezione del prodotto, innovazione e pubblicità
I profitti di un’impresa dipendono dalla curva di domanda del suo prodotto, che a sua volta dipende dalle preferenze dei consumatori e dalla presenza di imprese concorrenti. Per accrescere i suoi profitti, l’impresa più provare ad influenzare la curva di domanda, modificando le caratteristiche del prodotto o con la pubblicità.4
Nel decidere quali beni produrre, un’impresa dovrebbe provare ad offrire qualcosa di attraente per i consumatori, con caratteristiche diverse da quelle dei prodotti già presenti sul mercato. L’obiettivo è quello di rendere la domanda per i propri prodotti più elevata e meno elastica. Non è facile: un’impresa che vuole introdurre un nuovo tipo di cereali per la colazione, o un nuovo modello di automobile, sa che sul mercato c’è già un’ampia scelta di marche. Una strada da percorrere è senz’altro l’innovazione tecnologica: nel 1997 Toyota riuscì ad introdurre un modello innovativo di automobile sviluppando la prima vettura ibrida a produzione di massa, la Prius; negli anni a seguire Toyota mantenne una posizione di monopolio nel mercato degli ibridi, tanto che nel 2013, benché alcuni concorrenti avessero a loro volta introdotto vetture ibride, la Prius era ancora leader del mercato con una quota superiore al 50%.
Se un’impresa ha creato un nuovo prodotto, ha la possibilità di proteggerlo dalla concorrenza ottenendo un diritto esclusivo a produrlo tramite un attraverso un brevetto o le leggi sul diritto d’autore. Negli anni Settanta la casa editrice Parker Brothers portò avanti una lunga causa legale per proteggere il proprio diritto di monopolio sul gioco Monopoly. Questo tipo di protezione legale del monopolio si giustifica col fatto che fornisce incentivi alla ricerca e allo sviluppo di nuovi prodotti, ma ha un costo, visto che successivamente alla creazione del prodotto limita la quantità prodotta e quindi i guadagni dallo scambio.
Nel Capitolo 20 analizzeremo in maggior dettaglio i diritti di proprietà intellettuale.
Il monopolio del Monopoly
Il celebre gioco da tavola Monopoly, nel quale si simula la compravendita di immobili, fu lanciato sul mercato nel 1935 dalla casa editrice Parker Brothers. Negli anni Settanta la case editrice intentò una serie di azioni legali per impedire al professore di economia Ralph Anspach di commercializzare un gioco rivale, chiamato Anti-Monopoly. Anspach riuscì però a spuntarla, dimostrando che il gioco non era in realtà un’invenzione originale della Parker Brothers, e che questa non poteva quindi reclamare il diritto esclusivo alla sua commercializzazione. Dopo un pronunciamento del tribunale a favore di Anspach, apparvero sul mercato un certo numero di versioni concorrenti del gioco; ma le cose cambiarono a seguito di una modifica legislativa che, nel 1984, consentì alla Parker Brothers di far valere il proprio diritto sul marchio Monopoly, il cui mercato da allora è tornato ad essere un … monopolio.
Un’altra strategia attraverso la quale è possibile influenzare la domanda è la pubblicità; si tratta di uno strumento ampiamente utilizzato sia dai produttori di automobili sia da quelli di cereali per la colazione. Quando i prodotti sono differenziati, le imprese possono ricorrere alla pubblicità per informare i consumatori delle caratteristiche specifiche dei loro prodotti rispetto ai quelle dei prodotti concorrenti e per creare fedeltà alla marca. Secondo uno studio condotto da Schonfeld and Associates, un’impresa di analisti del mercato, la spesa in pubblicità dei produttori dei cereali negli Stati Uniti è pari al 5,5% del loro fatturato — circa 3,5 volte superiore della media dei prodotti manifatturieri. La figura 7.20 riporta i dati sui 35 marchi di cereali maggiormente venduti a Chicago nel biennio 1991/1992, mettendo in evidenza la relazione fra quota di mercato e spese di pubblicità. Come si può vedere, la quota di mercato non è strettamente collegata al prezzo, ma riflette le spese per pubblicità; l’economista Matthew Shum, utilizzando proprio i dati sul consumo di cereali a Chicago, ha dimostrato che la pubblicità riesce a stimolare la domanda più di quanto non faccia uno sconto sul prezzo. Poiché i brand più pubblicizzati sono quelli maggiormente conosciuti, ha concluso Shum, la principale funzione della pubblicità non è tanto quella di informare i consumatori dell’esistenza del prodotto, quanto quella di fidelizzare i clienti e spingere a cambiare chi consuma altre marche.
Shum, Matthew. 2004. ‘Does Advertising Overcome Brand Loyalty? Evidence from the Breakfast-Cereals Market.’ Journal of Economics & Management Strategy 13 (2): pp. 241–72.
Figura 7.20 Spese di pubblicità e quota di mercato dei produttori di cereali a Chicago (1991-92).
Figura 1 in shum.2004
7.12 Prezzi, costi e fallimenti del mercato
Quando l’allocazione dei beni che emerge sul mercato è inefficiente ci troviamo di fronte ad un fallimento del mercato. In questo capitolo abbiamo visto che una possibile causa di fallimento del mercato (altre ne vedremo nei prossimi capitali) è rappresentata dalla fissazione di un prezzo superiore al costo marginale. Realizzando prodotti differenziati le imprese hanno la possibilità di tenere elevati i prezzi a causa della minore concorrenza (o dell’assenza di concorrenza nel caso di un monopolio); le imprese traggono beneficio dalle strategie che riducono la concorrenza, ma un mercato poco concorrenziale produce sempre una perdita secca e, per questo motivo, l’autorità politica interviene attraverso politiche di tutela della concorrenza.
La presenza di prodotti differenziati non è l’unica razione per la quale il prezzo può essere maggiore del costo marginale; una seconda importante ragione è rappresentata dall’andamento decrescente dei costi medi, che può essere dovuto alla presenza di costi fissi o alla possibilità di spuntare costi degli input più bassi acquistandone quantità elevate. In questi casi, il costo medio di produzione è maggiore del costo marginale e le curve di costo sono decrescenti. Tuttavia, l’impresa non può fissare il prezzo al di sotto del costo medio, perché facendolo opererebbe in perdita: ne consegue che il prezzo sarà superiore al costo marginale (CMg < P).
- monopolio naturale
- Un’industria nella quale la produzione è caratterizzato da una curva di costo medio di lungo periodo decrescente, tale da non rendere sostenibile la concorrenza tra più imprese nel mercato.
Costo medio decrescente significa che l’impresa ha costi unitari inferiori operando su larga scala. Nel mercato dei servizi di pubblica utilità, come luce, gas e acqua, vi sono elevati costi fissi dovuti alla creazione e manutenzione della rete; sono costi che devono essere sostenuti indipendentemente dalla quantità offerta, e determinano rilevanti economie di scala. Quando una singola impresa può coprire la domanda dell’intero mercato con un costo unitario inferiore rispetto a quello che sosterrebbero due imprese distinte, si dice che l’industria costituisce un monopolio naturale.
Nel caso di un monopolio naturale l’autorità politica non è in grado di promuovere la concorrenza, poiché il costo medio aumenta all’aumentare del numero di imprese operanti nel mercato; può invece decidere di regolare l’attività del monopolista privato, limitando la sua discrezionalità nella decisione relativa al prezzo da applicare, oppure può costituire un’impresa pubblica per la produzione del bene in questione. La maggior parte delle imprese che forniscono il servizio idrico nel mondo sono di proprietà pubblica, sebbene in Inghilterra e in Galles nel 1989 e in Cile negli anni Novanta la fornitura idrica sia stata privatizzata. Anche in Italia la gestione del servizio idrico è in alcuni casi affidato ai privati.
Un ulteriore esempio è fornito dall’industria cinematografica. La produzione di un film richiede ingenti spese per l’ingaggio del regista, degli attori e dello staff tecnico, l’acquisto dei diritti sulla sceneggiatura, il lancio pubblicitario, ecc. Si tratta di costi fissi, a volte indicati come costi della prima copia, visto che una volta prodotta la prima copia il costo di realizzazione delle copie successive, cioè il costo marginale, è molto basso. Ciò indica un costo medio decrescente e un costo marginale al di sotto del costo medio. Se il prezzo fosse fissato sulla base del costo marginale di replica delle copie del film, non sarebbe possibile coprire i costi di produzione complessivi.
I servizi di pubblica utilità e la produzione di film costituiscono due esempi nei quali la fissazione di un prezzo superiore al costo marginale non è dovuta di per se alla mancanza di concorrenza e alla scarsa reattività della domanda ai prezzi. L’industria dei film infatti è molto concorrenziale, mentre l’elettricità o il gas non sono certo un prodotto differenziato. La ragione è invece, come abbiamo visto, la struttura dei costi. Pur trattandosi di problemi diversi, esiste però un chiaro legame tra scarsa concorrenzialità di un mercato e presenza di economie di scala: un mercato nel quale competono imprese con costi medi decrescenti tenderà a diventare sempre più concentrato, visto che l’impresa che per prima riesce a sfruttare i vantaggi di costo di un aumento dimensionale sarà in grado di mettere fuori mercato i suoi concorrenti e, alla lunga, diventare un monopolista.
Un prezzo superiore al costo marginale, qualunque ne sia la causa, determina sempre un fallimento del mercato, visto che a tale prezzo la quantità scambiata è sub-ottimale: vi sono potenziali consumatori la cui disponibilità a pagare eccede il costo marginale ma è inferiore al prezzo; essi non acquistano il bene e ciò determina una perdita secca di surplus.
Esercizio 7.9 Produzione di conoscenza e monopolio naturale
Alcune imprese che operano nel settore della produzione della conoscenza presentano costi fissi molto elevati a causa del valore dei brevetti, dei marchi e dei copyright che possiedono. La curva del costo medio è dunque decrescente. I mercati in cui tali imprese operano rappresentano monopoli naturali?
7.13 Conclusioni
Abbiamo visto, nel corso di questo capitolo, che le imprese che producono prodotti differenziati scelgono la combinazione di prezzo e quantità che massimizza il profitto. La decisione dipende dalla curva di domanda del loro prodotto e dalla struttura dei costi di produzione. Il prezzo viene fissato al di sopra del costo marginale, specialmente se la concorrenza è limitata e l’elasticità è bassa.
Le economie di scala e i vantaggi di costo favoriscono le imprese che producono grandi quantità di beni, poiché godono di un costo unitario basso; l’innovazione permette di ridurre i costi e aumentare i profitti.
Quando il prezzo è superiore al costo marginale, si verifica un fallimento del mercato e l’allocazione dei beni è inefficiente in senso paretiano. Infatti, le imprese realizzano profitti economici, ma il surplus del consumatore si riduce causando una perdita secca. Per questo motivo l’autorità politica, attraverso politiche di tutela della concorrenza (antitrust), può impedire alle imprese che godono di posizioni dominanti di abusare del proprio potere di mercato.
Concetti chiave del capitolo 7
Prima di procedere, verificate di aver ben compreso questi concetti:
-
Schumacher, E. F. (1973), Small Is Beautiful: Economics as If People Mattered, Blond & Briggs, Londra (trad. it. Piccolo è bello: uno studio di economia come se la gente contasse qualcosa, Mursia, Milano, 2011). ↩
-
Koshal, R. K. e M. Koshal (1999), “Economies of scale and scope in higher education: a case of comprehensive universities”, Economics of Education Review, 18, pp. 269–277. ↩
-
Cournot, A.-A. (1838), Recherches sur les principes mathématiques de la théorie des richesses, Hachette, Parigi. ↩
-
Kay, J. (1993), “The structure of strategy”, Business Strategy Review, 4, pp. 17–37. ↩
L’economista francese Augustin Cournot (1801–1877) deve la sua fama al suo modello di mercato oligopolistico, un mercato caratterizzato da numero ristretto di imprese. Nel libro Recherches sur les Principes Mathématiques de la Théorie des Richesses (Ricerca sui principi matematici della teoria della ricchezza) del 1838, Cournot introdusse un nuovo approccio allo studio dell’economia, basato sull’utilizzo della matematica; una novità che egli temeva gli avrebbe portato “la disapprovazione di teorici di fama”. L’opera di Cournot influenzò altri economisti del XIX secolo come Marshall e Walras, e fissò alcuni principi che vengono tuttora utilizzati per comprendere il comportamento delle imprese. Benché formulata in modo algebrico anziché grafico, la sua analisi della domanda e della massimizzazione del profitto è molto simile a quella che abbiamo presentato in questo capitolo.
