Capítulo 7 La empresa y sus clientes
Temas y capítulos integradores
Cómo interactúa con sus clientes una empresa que maximiza los beneficios de producir un bien diferenciado
- Las empresas que producen bienes diferenciados escogen los precios y las cantidades para maximizar sus beneficios, considerando la curva de demanda de sus productos y su función de costos.
- Las ventajas tecnológicas y de costos asociadas a la producción a gran escala favorecen la existencia de grandes empresas.
- La sensibilidad de los consumidores a los cambios de precios se mide por la elasticidad de la demanda, que afecta el precio de la empresa y su margen comercial.
- Las ganancias del intercambio comercial se reparten entre consumidores y dueños de las empresas, pero los precios por encima del costo marginal provocan fallas del mercado y pérdida de eficiencia.
- Las empresas pueden aumentar sus beneficios a través de la selección de productos y la publicidad. Aquellas que tengan menos competidores pueden lograr mayores márgenes comerciales y rentas monopolísticas.
- Los diseñadores de políticas públicas usan las elasticidades de la demanda para diseñar políticas tributarias y reducir el poder de mercado de las empresas a través de la política de competencia.
El libro Lo pequeño es hermoso, de Ernst F. Schumacher, publicado en 1973, abogaba por la producción a pequeña escala realizada por individuos y grupos en un sistema económico diseñado para enfatizar la felicidad en lugar de los beneficios económicos.1 En el año en que el libro se publicó, las firmas Intel y FedEx tenían cada una solo unas cuantas personas empleadas en Estado Unidos. Cuarenta años después, Intel empleaba a cerca de 108 000, y FedEx a más de 300 000 personas. En 1973, Walmart empleaba a 3500 personas; en 2016 a 2,3 millones.
La mayoría de las empresas estadounidenses son mucho más pequeñas, pero en todas las economías ricas la mayoría de la gente trabaja para empresas grandes. En Estados Unidos, el 52% de los trabajadores del sector privado laboran en compañías con un mínimo de 500 empleados. La razón principal es que los dueños generan más dinero si pueden ampliar el tamaño de la empresa, y los accionistas obtienen mayores rendimientos de las acciones de empresas más grandes. Los empleados también reciben mejores remuneraciones en las empresas de gran tamaño. La figura 7.1 muestra el crecimiento de un grupo altamente exitoso de empresas estadounidenses.
Figura 7.1 Tamaño de las empresas en Estados Unidos: número de empleados (1900–2006).
Erzo G. J. Luttmer. 2011. ‘On the Mechanics of Firm Growth’. The Review of Economic Studies 78 (3): pp. 1042–68.
¿Qué estrategias pueden usar las empresas para prosperar y crecer como las de la figura 7.1? La historia del minorista británico Tesco, fundado en 1919 por Jack Cohen, sugiere una respuesta.
Jack Cohen, el fundador de Tesco, comenzó como un comerciante en el mercado de calle del East End de Londres. Los comerciantes del mercado se reunían al amanecer cada día y, en cuanto se daba la señal, corrían a su puesto favorito, conocido como «terreno de juego». Cohen perfeccionó la técnica de lanzar su gorra para reclamar el terreno de juego más deseable. En la década de 1950, Cohen comenzó a abrir supermercados siguiendo el modelo estadounidense, adaptándose rápidamente a este nuevo estilo de operación. Tesco se convirtió en el líder del mercado del Reino Unido en 1995, y ahora emplea a casi medio millón de personas en Europa y Asia.
Hoy, la estrategia de precios de Tesco tiene como objetivo atraer a todos los segmentos del mercado, etiquetando algunos de sus productos de marca propia como Finest (Máxima calidad) y otros como Value (Mejor precio). El Programa Money de la BBC resumía los tres mandamientos de Tesco como «estar en todas partes», «vender de todo» y «vender a todos».
«Apile alto y venda barato» era el lema de Jack Cohen. Él empezó como vendedor ambulante y abrió su primera tienda 10 años después. Hoy en día, una de cada siete libras gastadas en el Reino Unido se gasta en una tienda Tesco, compañía que se expandió al mundo en la década de los 1990. En 2014, Tesco tuvo más beneficios que cualquier otro minorista en el mundo excepto por Walmart. Mantener los precios bajos, como Cohen recomendaba, es una de las posibles estrategias para una empresa que busque maximizar sus beneficios: el beneficio por cada artículo es pequeño, pero los precios bajos pueden atraer tantos clientes que el beneficio total sea alto.
Otras empresas pueden adoptar estrategias bastante diferentes. Apple fija precios altos para sus iPhones y iPads, incrementando sus ganancias al cobrar un sobreprecio, en vez de bajar sus precios para llegar a más clientes. Por ejemplo, entre abril de 2010 y marzo de 2012, el beneficio por unidad de los iPhones de Apple se situó entre el 49 y el 58% del precio. Durante el mismo periodo, los beneficios de las operaciones de Tesco por unidad fueron entre 6,0 y 6,5%.
El éxito de las empresas no depende únicamente de tener el precio adecuado. La elección de los productos también importa, así como la capacidad de atraer clientes, producir a costos más bajos y con mejor calidad que los competidores. Las empresas necesitan ser capaces de reclutar y retener empleados que puedan hacer que todas estas cosas ocurran.
La figura 7.2 ilustra las decisiones clave que toman las empresas. En este capítulo nos concentraremos particularmente en cómo determina una empresa el precio de un producto y la cantidad a producir. Esto va a depender de la demanda a que se enfrente –es decir, de la predisposición de los clientes potenciales a pagar por sus productos– y de los costos de producción.
La demanda del producto depende de su precio, y los costos de producción dependen de cuántas unidades se fabriquen. Ahora bien, una empresa puede influir activamente, tanto en la demanda de los consumidores como en los costos, de más formas que solo a través de los precios y las cantidades producidas. Como vimos en el capítulo 2, la innovación puede llevar a nuevos y atractivos productos, o a costos de producción más bajos. Si la empresa es capaz de innovar con éxito, puede obtener rentas económicas gracias a ello, al menos en el corto plazo hasta que otros la alcancen. Eso sí, podría ser necesario seguir innovando para mantener la delantera. La publicidad también incrementa la demanda. Además, y como ya vimos en el capítulo 6, la empresa fija el salario, que es un importante componente de sus costos. Como veremos en los capítulos siguientes, la empresa también gasta para ejercer su influencia en materia de impuestos y regulaciones medioambientales, con el objetivo de bajar sus costos.
Figura 7.2 Las decisiones de la empresa.
7.1 Cereal de desayuno: Escoger un precio
- curva de demanda
- Curva que muestra la cantidad que los consumidores comprarán para cada precio posible.
Para decidir el precio a cobrar, las empresas necesitan información sobre la demanda: cuánto están dispuestos a pagar los potenciales consumidores por sus productos. La figura 7.3 muestra la curva de demanda para los cereales Cheerios de manzana y canela (Cheerios es una marca estadounidense de cereales de desayuno que lanzó al mercado la compañía General Mills en 1989). En 1996, el economista Jerry Hausman usó datos de ventas semanales de cereales de desayuno en distintas ciudades estadounidenses para estimar cómo variaría la cantidad de cereales que los consumidores desearían comprar semanalmente si variaba el precio por libra (2,2 equivalen a 1 kilo). Puede ver en la figura 7.3 que si el precio fuera de 3 dólares, por ejemplo, los consumidores demandarían 25 000 libras de Cheerios de manzana y canela. Para la mayoría de los productos, cuanto más bajo el precio, más quieren comprar los clientes.
Cómo aprenden los economistas de los hechos Estimar curvas de demanda a partir de encuestas
Jerry Hausman usó datos de compra de cereales para estimar la curva de demanda de los Cheerios de manzana y canela. Otro método, que para las empresas que introducen nuevos productos resulta muy útil, es usar encuestas al consumidor. Suponga que está investigando la demanda potencial para el turismo espacial. Podría intentar preguntarles a los consumidores potenciales:
«¿Cuánto estaría dispuesto a pagar por un vuelo de 10 minutos al espacio?»
Sin embargo, es posible que para los encuestados les sea difícil responder, o peor, pueden mentir si es que piensan que su respuesta va a afectar el precio que eventualmente se cobrará. Una mejor forma de averiguar cuál es su verdadera disposición a pagar, podría ser preguntar:
«¿Estaría dispuesto a pagar 1000 dólares por un vuelo de 10 minutos al espacio?»
En 2011 alguien planteó esta pregunta, razón por la que sabemos cuál es la demanda de viajes al espacio por parte de los consumidores.2
Cualquiera que sea el producto –cereales o viajes al espacio– el método es el mismo. Si cambia usted los precios de la pregunta y se la plantea a un gran número de consumidores, podrá estimar la proporción de las personas dispuestas a pagar cada precio y así estimar la curva de demanda completa.
Figura 7.3 Demanda estimada para los Cheerios de manzana y canela.
Adaptación de la figura 5.2 en Jerry A. Hausman. 1996. ‘Valuation of New Goods under Perfect and Imperfect Competition’. In The Economics of New Goods, pp. 207–248. Chicago, IL: University of Chicago Press.
Si fuera usted el gerente en General Mills, ¿cómo elegiría el precio para los Cheerios de manzana y canela en esta ciudad, y cuántas libras de cereales produciría?
Necesita considerar cómo va a afectar la decisión sus ganancias o beneficios (la diferencia entre los ingresos por venta y los costos de producción). Suponga que el costo unitario de los Cheerios de manzana y canela -el costo de producir cada libra- es de 2 dólares. Para maximizar sus beneficios, debería producir la cantidad que espera vender y nada más. De esta forma, los ingresos por venta, los costos y los beneficios vienen dados por:
\[\begin{align*} \text{costo total} &= \text{costo unitario} \times \text{cantidad} \\ &= 2 \times Q \\ \text{ingreso total} &= \text{precio} \times \text{cantidad} \\ &= P \times Q \\ \text{ganancia} &= \text{ingreso total} − \text{costo total} \\ &= P \times Q − 2 \times Q \end{align*}\]Así tenemos una fórmula para los beneficios:
\[\text{beneficios} = (P-2) \times Q\]Usando esta fórmula, usted puede calcular los ingresos para cualquier elección de precio y cantidad, y así dibujar las curvas de isobeneficio, como en la figura 7.4. Al igual que las curvas de indiferencia unen puntos en un diagrama que dan el mismo nivel de utilidad, las curvas de isobeneficio unen puntos con el mismo nivel de beneficio total. Podemos pensar en las curvas de isobeneficio como las curvas de indiferencia de la empresa: a la empresa le resulta indiferente escoger entre combinaciones de precio y cantidad que le dan los mismos beneficios.
Pregunta 7.1 Escoja la(s) respuesta(s) correcta(s)
El costo de producción de una empresa es de 12 libras esterlinas por unidad de producto. Si P es el precio del bien y Q es la cantidad de unidades producidas, ¿cuál de las siguientes afirmaciones es correcta?
- En (Q, P) = (2000, 20), beneficio = (20 − 12) × 2000 = 16 000 libras.
- En (Q, P) = (1200, 24), beneficio = (24 − 12) × 1200 = 14 400 libras. En (Q, P) = (2000, 20), el beneficio = (20 − 12) × 2000 = 16 000 libras. Por lo tanto, (2000, 20) está en una curva de isobeneficio más alta.
- En (Q, P) = (2000, 20), beneficio = (20 − 12) × 2000 = 16 000 libras. En (Q, P) = (4000, 16), beneficio = (16 − 12) × 4000 = 16 000 libras. Por lo tanto, estos dos puntos están sobre la misma curva de isobeneficio.
- En P = 12 la empresa no genera beneficios. Por lo tanto, (5000, 12) estará sobre una curva de isobeneficio horizontal que representa cero beneficios.
Pregunta 7.2 Escoja la(s) respuesta(s) correcta(s)
Considere una empresa cuyo costo unitario (el costo de producir una unidad del bien) es el mismo para todos los niveles de producción. ¿Cuáles de las siguientes afirmaciones son correctas?
- Una curva de isobeneficio une todas las combinaciones de precio y producción para las cuales el beneficio de la firma es el mismo.
- Si el beneficio es alto, el precio debe estar por encima del costo unitario. Luego, si se aumenta la producción, el precio debe reducirse para mantener constante el nivel de beneficios. Por lo tanto, las curvas de isobeneficio deben tener pendiente descendente.
- Usted puede calcular los beneficios para cualquier combinación de precio y cantidad y, encontrando otros puntos que generen el mismo beneficio, dibujar una curva de isobeneficio que pase por esa combinación.
- Si el precio está por encima del costo unitario, entonces, si se aumenta la producción, el precio debe reducirse para mantener las ganancias constantes, por lo que la curva de ganancias tiene pendiente descendente.
Para lograr beneficios altos, usted preferiría que tanto los precios como las cantidades fueran tan altas como fuese posible. Sin embargo, está usted sometido a las restricciones que plantea la curva de demanda. Si escoge un precio alto va a poder vender solo una pequeña cantidad; y si quiere vender una gran cantidad, debe elegir un precio bajo.
La curva de demanda determina lo que es factible. La figura 7.5a muestra las curvas de isobeneficio y la curva de demanda juntas. Usted se enfrenta un problema similar al de Alexei, el estudiante del capítulo 3, que quería elegir el punto en su conjunto factible donde su utilidad se maximizara. Lo que usted busca es escoger una combinación factible de precio y cantidad que maximice sus ingresos.
Su mejor estrategia es elegir el punto E en la figura 7.5a: debería producir 14 000 libras de cereales y venderlos a un precio de 4,40 dólares por libra, generando 34 000 dólares de ingresos. Al igual que en el caso de Alexei en el capítulo 3, la combinación óptima de precio y cantidad implica resolver dos disyuntivas. Como gerente, lo que a usted le preocupa (lo que hemos asumido que le preocupa) son los beneficios, más que cualquier combinación particular de precio y cantidad.
- tasa marginal de sustitución (TMS)
- Disyuntiva que una persona está dispuesta a enfrentar a la hora de elegir entre dos bienes. En cualquier punto dado, esa trata de la pendiente de la curva de indiferencia. También conocida como: relación marginal de sustitución. Ver también: tasa marginal de transformación.
- tasa marginal de transformación (TMT)
- Cantidad de algún bien que debe sacrificarse para adquirir una unidad adicional de otro bien. En cualquier punto, es la pendiente de la frontera factible. También conocida como: relación marginal de transformación. Ver también: tasa marginal de sustitución.
- La curva de isobeneficio es su curva de indiferencia, y su pendiente en cualquier punto representa las soluciones a la disyuntiva que está usted dispuesto a asumir entre P y Q – su TMS: estaría dispuesto a sustituir un mayor precio por una menor cantidad si obtiene el mismo beneficio.
- La pendiente de la curva de demanda refleja las soluciones a la disyuntiva entre precio y cantidad a las que está usted sujeto – su TMT, o la tasa a la cual la curva de demanda le permite «transformar» cantidad en precio. No puede subir el precio sin disminuir la cantidad porque habrá una cantidad menor de consumidores que compren un producto más costoso.
Estas dos disyuntivas se equilibran en la elección de P y Q que maximice el beneficio.
El gerente de General Mills probablemente no tomó la decisión razonando de esta manera.
Quizás el precio se fijó siguiendo más bien una lógica de prueba y error, a partir de experiencias pasadas y con base en investigaciones de mercado. Sin embargo, esperamos que una empresa siempre llegará, de algún modo, a encontrar el precio y cantidad que maximicen sus beneficios. El propósito de nuestro análisis económico no es hacer un modelo del proceso mental del gerente, sino entender el resultado y cómo se relaciona con los costos de la empresa y la demanda del consumidor.
Aun desde el punto de vista del economista, existen otras maneras de concebir la maximización de beneficios. El panel inferior de la figura 7.5b muestra cuánto beneficio se producirá en cada punto de la curva de demanda.
El panel inferior de este mismo gráfico corresponde a la función de beneficio: muestra el beneficio que alcanzaría usted si decide producir una cantidad Q. A partir de la función de demanda, puede fijar el precio más alto que le permitiría vender esa cantidad. La función de beneficio estima que alcanzaría un máximo beneficio de 34 000 dólares con Q = 14 000 libras de cereal.
Pregunta 7.3 Escoja la(s) respuesta(s) correcta(s)
La tabla representa la demanda de mercado Q para un bien a diferentes precios P.
| Q | 100 | 200 | 300 | 400 | 500 | 600 | 700 | 800 | 900 | 1000 |
| P | GBP 270 | GBP 240 | GBP 210 | GBP 180 | GBP 150 | GBP 120 | GBP 90 | GBP 60 | GBP 30 | GBP 0 |
El costo unitario de producción de la empresa es 60 libras esterlinas. Con base en esta información, ¿cuál de las siguientes afirmaciones es correcta?
- En Q = 100, beneficio = (270 − 60) × 100 = 21 000 libras.
- En Q = 400, beneficio = (180 − 60) × 400 = 48 000 libras. Si usted calcula el beneficio para cada punto sobre la curva de demanda, verá que el beneficio es menor en los otros puntos.
- El máximo beneficio se alcanza en Q = 400, donde el beneficio = (180 − 60) × 400 = 48 000 libras.
- La firma tendrá pérdidas (beneficio negativo) cuando produzca más de 800 libras. Si produce exactamente 800 libras, el beneficio es cero.
Ejercicio 7.1 Cambios en el mercado
Dibuje diagramas para mostrar cómo cambiarían las curvas en la figura 7.5a en cada uno de los siguientes casos:
- Una compañía rival que produce una marca similar reduce sus precios.
- El costo de producir los Cheerios de manzana y canela aumenta a 3 dólares por libra.
- Un estudio gubernamental muy conocido muestra que los productos de General Mills son más saludables que otros cereales para el desayuno.
Para facilitar el dibujo de las curvas, suponga que la curva de demanda es lineal. En cada caso, ¿puede decir qué pasaría con el precio y el beneficio?
7.2 Economías de escala y la ventaja en costos de la producción a gran escala
¿Por qué las empresas como Walmart, Intel y FedEx se han hecho tan grandes? Una razón importante por la que una empresa grande puede ser más rentable que una pequeña es que la primera produce sus productos a un costo unitario menor. Esto ocurre, entre otras razones, debido a:
- Ventajas tecnológicas: La producción a gran escala normalmente usa menos insumos por unidad de producto final.
- Ventajas en costos: En empresas grandes, los costos fijos como la publicidad tienen un menor efecto sobre el costo por unidad. Las empresas grandes pueden, además, comprar sus insumos a un costo más bajo porque cuentan con más poder de negociación frente a sus proveedores.
Los economistas usan el término economías de escala o rendimientos a escala crecientes para describir las ventajas tecnológicas de la producción a gran escala. Por ejemplo, si al duplicar la cantidad de cada insumo que utiliza la empresa, se triplica la producción final, eso es señal de que la empresa obtiene retornos crecientes a escala.
- economías de escala
- Se producen cuando, por ejemplo, duplicamos los insumos introducidos en un proceso productivo y la producción resultante crece más del doble. La forma de la curva de costo medio a largo plazo de una empresa depende tanto de los rendimientos de escala en la producción como del efecto de esa escala sobre los precios que la empresa paga por sus insumos. También se usa el término: rendimientos crecientes a escala. Ver también: deseconomías de escala.
- deseconomías de escala
- Se producen cuando, al duplicar los insumos de un proceso de producción, se obtiene menos del doble de producto. También conocidas como: rendimientos a escala decrecientes. Véase también: economías de escala.
- rendimientos a escala constantes
- Se producen cuando, al duplicar los insumos de un proceso de producción, se duplica la cantidad de producto. La forma de la curva de costo promedio a largo plazo de una empresa depende tanto de los rendimientos a escala en la producción como del efecto de la escala en los precios que se pagan por los insumos. Véase también: rendimientos crecientes a escala, rendimientos a escala decrecientes.
Economías y deseconomías de escala
Si incrementamos todos los insumos en una proporción determinada, y esto:
- aumenta la producción más que proporcionalmente, se dice que la tecnología muestra rendimientos a escala crecientes en la producción o economías de escala,
- aumenta la producción menos que proporcionalmente, la tecnología muestra rendimientos a escala decrecientes en la producción o deseconomías de escala,
- aumenta la producción proporcionalmente, la tecnología muestra rendimientos a escala constantes en la producción.
Las economías de escala pueden ser producto de la especialización dentro de la empresa que permita que los empleados realicen las tareas que mejor se les den, minimizando así el tiempo de formación al requerir de los empleados un conjunto más limitado de habilidades. Las economías de escala también pueden producirse por razones puramente relativas a la ingeniería. Por ejemplo, trasladar una mayor cantidad de líquido requiere una tubería más grande, pero duplicar la capacidad de la tubería requiere incrementar su diámetro (y el material necesario para construirla) por mucho menos que un factor de dos. Para consultar la demostración de que esto es así, revise El tamaño y el costo de una tubería en el Einstein del final de esta sección.
Ahora bien, también hay deseconomías de escala intrínsecas. Piense en los dueños de la empresa, gerentes, supervisores y trabajadores de producción. Suponga que cada supervisor dirige a 10 trabajadores de producción, mientras que cada gerente dirige a 10 supervisores, y así sucesivamente. Si la empresa emplea a 10 trabajadores de producción, entonces el dueño puede realizar la administración y la supervisión. Si emplea a 100 trabajadores de producción, necesitará agregar un segmento de 10 supervisores y, si crece a 1000 trabajadores, necesitará reclutar a otro segmento más de gerencia para supervisar a la primera capa de supervisores. Si este es el caso, entonces supervisar trabajadores de producción requiere un aumento más que proporcional en los insumos de supervisores. La única manera en que la firma podría incrementar todos sus insumos proporcionalmente sería reduciendo la intensidad de la supervisión, con las pérdidas asociadas en productividad. Llamemos a esta deseconomía de escala Ley de Dilbert de la jerarquía de la empresa, (con base en una tira cómica). Vea la sección Einstein para averiguar cómo calcular el tamaño de la deseconomía de escala que implica nuestra Ley de Dilbert.
Ventajas en costos
- investigación y desarrollo
- Lo que gasta una entidad pública o privada para crear nuevos métodos de producción, productos u otro nuevo conocimiento económicamente relevante.
El costo por unidad también puede ir cayendo a medida que la empresa fabrica más productos, aun si hay rendimientos a escala constantes o incluso decrecientes. Esto ocurrirá si hay un costo fijo que no depende del número de unidades producidas: es el mismo, tanto si la empresa produce una unidad, como si son muchas. Un ejemplo sería el costo de investigación & desarrollo (I&D) y diseño de producto, o adquirir una licencia para poder comenzar la producción, u obtener una patente para una técnica particular. Los gastos de marketing, como la publicidad, son otro costo fijo. En 2014, un anuncio de 30 segundos durante la retransmisión televisiva del partido de fútbol americano de la final del Super Bowl estadounidense costaba 4 millones de dólares, un costo que sería solo justificable si se vendieran un gran número de unidades del producto como resultado.
Para una empresa, el costo de intentar obtener un trato favorable por parte del gobierno por medio del cabildeo (lobbying), de contribuciones a campañas electorales y de gastos en relaciones públicas, también constituye en su conjunto un tipo de costo fijo, pues se incurre en estos gastos más o menos independientemente del nivel de producción de la empresa.
Además, como hemos visto, las compañías grandes también logran comprar sus insumos en condiciones más favorables porque tienen más poder de negociación que las empresas pequeñas cuando negocian con proveedores.
Ventajas de demanda
- economías de escala de red
- Existen cuando un aumento en el número de usuarios de un producto de una empresa implica un aumento en el valor del producto para cada uno de ellos, porque están conectados entre sí.
Tener un tamaño grande también puede beneficiar a una empresa a la hora de vender sus productos, no solo al producirlos. Esto ocurre cuando las personas tienden a comprar un producto o un servicio que ya tiene muchos usuarios. Por ejemplo, una aplicación de software es más útil cuando todos están usando una versión compatible. Estas economías de escala del lado de la demanda se conocen como economías de escala de red, y hay muchos ejemplos de ellas en mercados relacionados con la tecnología.
Dado que producir grandes cantidades crea economías de escala, reduce los costos e incrementa la demanda, la producción a gran escala influye poderosamente sobre el tamaño de la empresa. Por lo general, la producción que genera un grupo pequeño de personas resulta demasiado costosa para competir contra las grandes empresas.
Hemos visto en el capítulo 6 que las empresas pueden externalizar la producción de componentes. Ahora bien, por más que las pequeñas empresas se enfrenten al dilema de crecer o cerrar, su crecimiento tiene un límite. Por una parte, porque a veces es más barato comprar partes del producto que fabricarlas. Apple sería gigante si decidiera que los empleados de Apple produjeran las pantallas táctiles, los chips y otros componentes que se utilizan en el iPhone y el iPad, en vez de comprar esas partes a Toshiba, Samsung y otros proveedores. La estrategia de externalización de Apple limita el tamaño de la empresa e incrementa el tamaño de Toshiba, Samsung y otras firmas que producen los componentes de Apple.
En la siguiente sección, vamos a analizar cómo hacer un modelo de la forma en que los costos de una empresa dependen de sus economías de escala.
Pregunta 7.4 Escoja la(s) respuesta(s) correcta(s)
¿Cuál de las siguientes afirmaciones es correcta?
- Con rendimientos constantes, el aumento de los insumos conduce al mismo aumento proporcional en la producción.
- Con rendimientos decrecientes, duplicar los niveles de insumos aumenta el nivel de producción en menos del doble.
- Dado que la empresa puede aumentar la producción con un aumento menos que proporcional en los insumos, su costo por unidad disminuirá.
- Con rendimientos decrecientes, el aumento de los insumos conduce a un aumento de la producción menos que proporcional.
Einstein El tamaño y costo de una tubería
Podemos usar matemáticas simples para calcular cuánto aumentaría el costo cuando el tamaño de la tubería se duplica. La fórmula para el área de un círculo es:
\[\text{área de un círculo} = \pi \times (\text{radio del círculo})^2\]Asumamos que el área de la tubería era originalmente de 10 cm2, y que luego se duplicó su tamaño a 20 cm2. Podemos usar la ecuación anterior para encontrar el radio de la tubería en cada caso.
Cuando el área de la tubería es 10:
\[\text{radio} = \sqrt{\frac{10}{\pi}} = 1,78\text{ cm}\]Cuando el área de la tubería es 20:
\[\text{radio} = \sqrt{\frac{20}{\pi}} = 2,52\text{ cm}\]El costo del material usado para hacer una tubería de determinado largo es proporcional a su circunferencia. La fórmula para la circunferencia del círculo es:
\[\text{circumferencia} = 2 \times \pi \times \text{radio del círculo}\]Cuando el área de la tubería es 10:
\[\text{circumferencia} = 2 \times \pi \times 1,78 = 11,18\text{ cm}\]Cuando el área de la tubería es 20:
\[\text{circumferencia} = 2 \times \pi \times 2,52 = 15,83\text{ cm}\]La tubería ha duplicado su capacidad, pero la circunferencia y, por lo tanto, el costo de la tubería, ha incrementado solo en un factor de:
\[\frac{15,83}{11,18} = 1,42\]Por consiguiente, podemos ver claramente que la empresa se ha beneficiado de economías de escala.
Deseconomías de escala: la ley Dilbert de CORE de la jerarquía de la empresa
Si por cada diez empleados de un determinado nivel se debe tener un supervisor en un nivel inmediatamente superior, entonces una empresa que tenga 10x obreros (el nivel más bajo del escalafón) va a tener x niveles de gestión, 10x−1 supervisores en el nivel más bajo, 10x−2 en el segundo nivel, y así sucesivamente.
Una empresa con un millón (106) de trabajadores va a tener, por lo tanto, 100 000 (105 = 106−1) supervisores del nivel más bajo. No fue Dilbert quien inventó la ley –el supervisor lo vigila demasiado de cerca como para tener tiempo para eso–, fue el equipo CORE el que lo hizo.
7.3 Producción: la función de costos de Autos Hermosos
Para fijar el precio y el nivel de producción para los Cheerios de manzana y canela, el gerente necesitaba conocer la función de demanda y los costos de producción. Dado que asumíamos que el costo de producir cada libra de Cheerios era el mismo, la escala de la producción venía determinada por la demanda del bien. En esta sección y en la siguiente, examinaremos un ejemplo diferente, en el cual los costos varían con el nivel de la producción.
Considere una empresa que produce autos. Comparada con Ford, que fabrica alrededor de 6,6 millones de vehículos al año, esta empresa, en cambio, produce autos exclusivos y resultará ser bastante pequeña, por lo que la llamaremos Autos Hermosos.
- costo de oportunidad
- Asumir una acción implica dejar de tomar la siguiente mejor alternativa. Este costo es el beneficio neto de la alternativa que se dejó de tomar. También conocido como: coste de oportunidad.
- costo de oportunidad del capital
- Cantidad de ingresos que un inversor podría haber recibido invirtiendo la unidad de capital en otro lugar. También conocido como: coste de oportunidad del capital.
Piense en los costos de producir y vender autos. La firma necesita instalaciones –una fábrica– equipadas con máquinas para fundición, forja, soldadura y montaje de carrocerías de automóviles. Puede arrendar esas instalaciones a otra empresa o aumentar el capital financiero para invertir en instalaciones y equipamiento propio. Luego, además debe comprar la materia prima y los componentes, así como pagar a los trabajadores de la línea de producción para que operen la maquinaria. Más aún: se van a necesitar otros trabajadores para gestionar el proceso de producción, diseñar el marketing y vender los autos terminados.
Los dueños de la empresa –los accionistas– no estarían dispuestos a invertir en la firma si pudieran hacer mejor uso de su dinero, invirtiéndolo y obteniendo beneficios en algún otro lugar. Lo que podrían recibir si lo invirtieran en otro lado, por dólar invertido, es otro ejemplo del costo de oportunidad que abordamos en el capítulo 3, que en este caso podemos llamar costo de oportunidad del capital. Un componente del costo de producir automóviles es la cantidad que debe pagarse a los accionistas para cubrir el costo de oportunidad del capital; es decir, para inducirlos a continuar invirtiendo en los activos que la empresa necesita para fabricar autos.
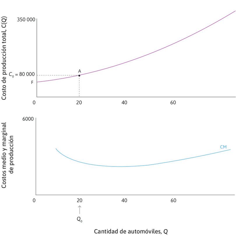
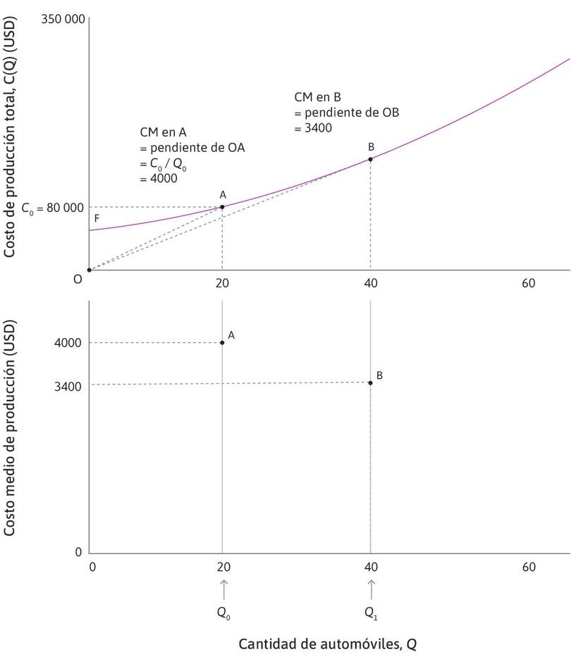
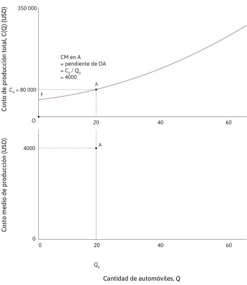
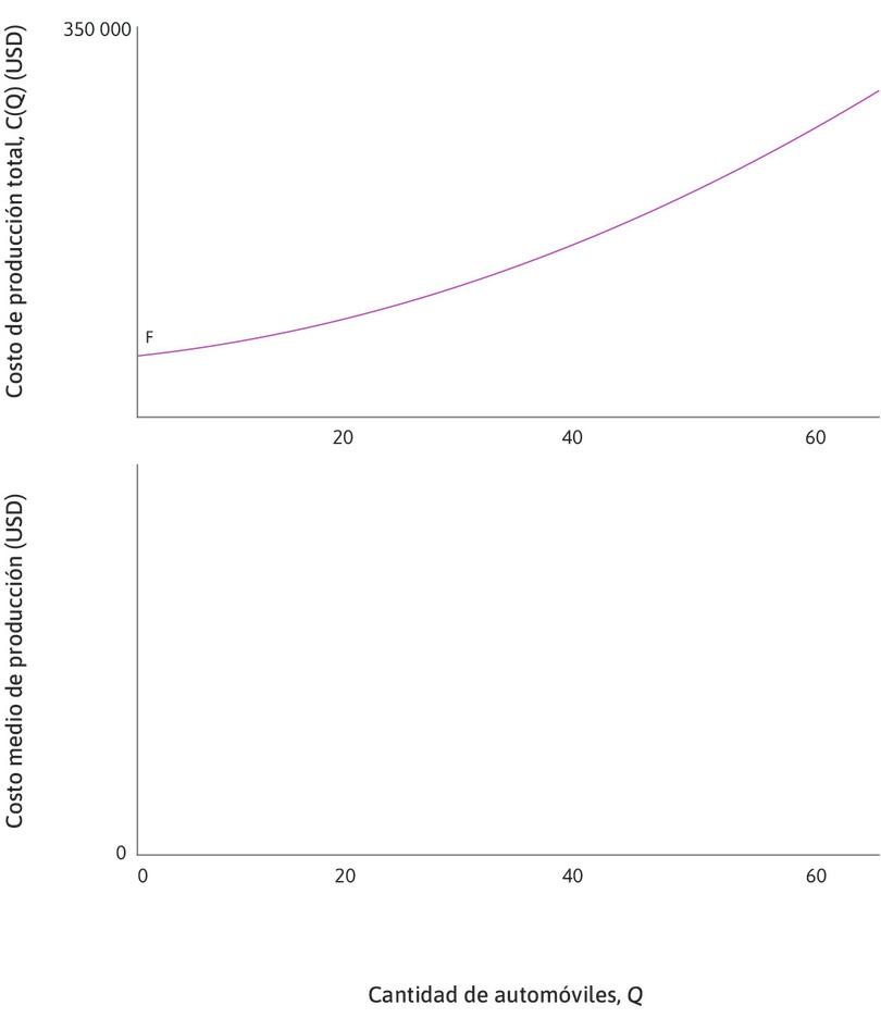
Cuantas más unidades produzca Autos Hermosos, más alto será el costo total. El panel superior de la figura 7.6 muestra cómo el costo total podría depender de la cantidad de autos, Q, producidos por día. Esta es la función de costos de la firma, C(Q). A partir de la función de costos, hemos obtenido el costo medio de un auto y cómo cambia con Q. La curva de costo medio (CM) se muestra en el panel inferior de la misma figura.
- costos fijos
- Costos de producción que no varían con el número de unidades producidas. También conocido como: costes fijos.
Podemos ver en la figura 7.6 que los Autos Hermosos tienen costos medios decrecientes para niveles bajos de producción: la curva CM tiene pendiente negativa. En niveles altos de producción, el costo medio aumenta, por lo que la pendiente de la curva CM se vuelve positiva. Esto podría ocurrir porque la empresa tenga que incrementar el número de turnos diarios en la línea de ensamblaje, o quizás tenga que pagar horas extras y la maquinaria se averíe con más frecuencia cuando la línea de producción esté trabajando durante más tiempo.
Costo marginal
En cada punto de la función de costo, el costo marginal (CMg) es el costo adicional de producir una unidad más de producto, y se corresponde con la pendiente de la función de costo. Si el costo aumenta en ∆C cuando la cantidad aumenta en ∆Q, el costo marginal se puede estimar de la siguiente manera:
\[\text{CMg} = \frac{\Delta C}{\Delta Q}\]
- costo marginal
- Efecto sobre el costo total de producir una unidad adicional de producto. Corresponde a la pendiente de la función de costo total en cada punto. También conocido como: coste marginal.
La figura 7.7 muestra cómo encontrar el costo marginal de un automóvil: es decir, el costo de producir un automóvil más. En el capítulo 3 vimos que, para una función de producción determinada, el producto marginal era el producto adicional producido cuando el insumo se incrementaba en una unidad, y que correspondía a la pendiente de la función de producción. La figura 7.7 muestra que el costo marginal (CMg) corresponde a la pendiente de la función de costos.
Al calcular el costo marginal para cada valor de Q, hemos dibujado la totalidad de la curva de costos marginales en el panel inferior de la figura 7.7. Como el CMg es la pendiente de la función de costos, y la curva de costos se vuelve más pronunciada a medida que Q aumenta, el gráfico del costo marginal es una línea con pendiente positiva. En otras palabras: Autos Hermosos tiene costos marginales crecientes para la producción de automóviles. Es el costo marginal creciente el que finalmente causa que los costos medios aumenten.
Note que en la figura 7.7 calculamos el CMg encontrando el cambio en los costos, ΔC, por hacer un auto más. Algunas veces es más conveniente considerar otro aumento diferente de la cantidad. Si sabemos que los costos se incrementan en ΔC = 12 000 cuando se producen cinco automóviles adicionales, entonces podemos calcular ΔC/ΔQ, donde ΔQ = 5 para obtener una estimación del costo medio unitario de 2400 dólares por auto. En general, cuando la función de costos es curva, un menor ΔQ proporciona una estimación más exacta.
Leibniz: Funciones de costo medio y marginal
Ahora considere la forma de las curvas CM y CMg que se muestran nuevamente en la figura 7.8. Puede usted ver que, para valores de Q donde el CM sea mayor que el CMg, la pendiente de la curva de CM es negativa y, en cambio, es positiva donde CM es menor que CMg. Esto no es solo una simple coincidencia, sino que ocurre sea cual sea la forma de la función de costos totales. Trabaje con los pasos de la figura 7.8 para ver por qué ocurre esto.
Pregunta 7.5 Escoja la(s) respuesta(s) correcta(s)
Considere una empresa con costos fijos de producción. ¿Cuál de las siguientes afirmaciones sobre su costo medio (CM) y costo marginal (CMg) es correcta?
- Cuando CM = CMg, el costo de una unidad adicional es igual al costo medio de todas las unidades existentes. Por lo tanto, el nuevo CM será el mismo y la pendiente es cero.
- La curva CMg puede ser ascendente, horizontal o descendente, independientemente del tamaño relativo de CM y CMg.
- Cuando CM < CMg, el costo de una unidad adicional es mayor que el costo medio de la producción existente. Así pues, el nuevo CM será mayor. La curva de CM tiene pendiente ascendente.
- Si CMg es constante, entonces la curva CMg es una línea horizontal.
Pregunta 7.6 Escoja la(s) respuesta(s) correcta(s)
Suponga que el costo unitario de producir una libra de cereal es de 2 dólares, independientemente del nivel de producción. (Esto significa que no hay costos fijos, es decir, costos en que se incurra para cualquier nivel de producción, incluido cero). ¿Cuál de las siguientes afirmaciones es correcta?
- El costo total = 2Q, donde Q es la producción. Esta es una línea recta con pendiente positiva desde el origen.
- El costo promedio = 2 para todos los productos, luego su función es una línea recta horizontal.
- El costo marginal = 2 para todos los productos, luego su función es una línea recta horizontal.
- Tanto el costo medio como el costo marginal son 2 para todos los productos, por lo que las curvas que los representan coinciden.
Ejercicio 7.2 La función de costos para los Cheerios de manzana y canela
Claramente, las funciones de costo pueden tener formas diferentes a la que dibujamos para Autos Hermosos. Para los Cheerios de manzana y canela, asumimos que el costo medio era constante, de modo que el costo unitario de una libra de cereal era igual a 2 dólares, independientemente de la cantidad producida.
- economías de alcance
- Ahorro de costos que tiene lugar cuando dos o más productos se producen conjuntamente en una sola empresa, en lugar de producirse en empresas separadas.
- Dibuje la función de costo (también llamada curva de costo total) para este caso.
- ¿Qué aspecto tienen las funciones de costo marginal y promedio?
- Ahora suponga que el costo marginal de producir una libra de Cheerios era de 2 dólares, independientemente de la cantidad, pero que también había algunos costos fijos de producción. Dibuje las curvas de costo total, costo marginal y costo medio en este caso.
Los economistas Rajindar y Manjulika Koshal estudiaron la función de costos de las universidades en Estados Unidos.3 Lo que hicieron fue estimar el costo marginal y el costo medio de educar a alumnos de grado y posgrado en 171 universidades públicas en el año académico 1990–91. Como podrá comprobar en el ejercicio 7.3, se encontraron con que los costos medios eran decrecientes. También descubrieron que las universidades se benefician de lo que se denomina economías de alcance: es decir, que se producía un ahorro de costos gracias a la producción de varios productos –en este caso, la educación de grado, la educación de posgrado y la investigación– juntos.4
Si quiere saber más sobre costos, el economista George Stigler escribió un libro al respecto, en cuyo capítulo 7 plantea un interesante debate.5
Ejercicio 7.3 Funciones de costo para la educación universitaria
A continuación, puede usted ver los costos medio y marginal por alumno para el año 1990–91 que calcularon Koshal y Koshal a partir de su investigación.
Alumnos CMg (USD) CM (USD) Costo total (USD) Grado 2750 7259 7659 21 062 250 5500 6548 7348 40 414 000 8250 5838 7038 11 000 5125 6727 73 997 000 13 750 4417 6417 88 233 750 16 500 3706 6106 100 749 000 Alumnos CMg (USD) CM (USD) Costo total (USD) Postgrado 550 6541 12 140 6 677 000 1100 6821 9454 10 339 400 1650 7102 8672 2200 7383 8365 18 403 000 2750 7664 8249 22 684 750 3300 7945 8228 27 152 400
- ¿Cómo cambian los costos medios a medida que aumenta el número de alumnos?
- Usando los datos sobre costos medios, complete las cifras que faltan en la columna de costo total.
- Dibuje las curvas de costo marginal y costo medio para la educación de grado en un gráfico, con los costos en el eje vertical y el número de estudiantes en el eje horizontal. En un diagrama separado, dibuje los gráficos equivalentes para el caso de los graduados que cursan posgrados.
- ¿Cuáles son las formas de las funciones de costo total para alumnos universitarios de pregrado y para graduados que cursan posgrados? (Puede dibujarlas basándose en lo que sabe sobre los costos marginal y medio). Represéntelos en un solo gráfico, usando los números de la columna de costo total.
- ¿Cuáles son las principales diferencias entre las estructuras de costos de las universidades para estudiantes universitarios de pregrado y de posgrado?
- ¿Se le ocurre alguna explicación para las formas de los gráficos que ha dibujado?
7.4 Curvas de demanda y de isobeneficio: Autos Hermosos
- productos diferenciados
- Producto confeccionado por una sola empresa y que posee ciertas características únicas en comparación con productos similares de otras empresas.
No todos los autos son iguales. Los autos son productos diferenciados. Cada marca y modelo lo produce una única empresa, y tiene algunas características únicas de diseño y rendimiento que lo diferencian de los autos de otras empresas.
Esperamos que una compañía que venda productos diferenciados se enfrente a una curva de demanda con pendiente negativa. Ya hemos visto un ejemplo empírico en el caso de los Cheerios de manzana y canela (otro producto diferenciado). Si el precio de un Auto Hermoso es alto, la demanda será baja porque los únicos consumidores que lo compren serán aquellos que tengan una fuerte preferencia por los Autos Hermosos por encima de todas las otras marcas. A medida que el precio caiga, más consumidores –que podrían haber comprado un Ford o un Volvo– se interesarán por un Auto Hermoso.
La curva de demanda
Para cualquier producto que los consumidores puedan desear comprar, la curva de demanda del producto es una relación que le indica el número de artículos (la cantidad) que comprarán a cada posible precio. Para un modelo simple de demanda de Autos Hermosos, imagine que hay 100 consumidores potenciales que comprarían un Auto Hermoso cada uno hoy mismo si el precio fuera suficientemente bajo.
- disposición a pagar (DAP)
- Indicador de cuánto valora una persona un bien, medido por la cantidad máxima que pagaría para adquirir una unidad de ese bien. Véase también: disposición a aceptar.
Cada consumidor tiene una disposición a pagar (DAP) por un Auto Hermoso, que depende de cuánto lo valora personalmente (por supuesto, suponiendo que este tiene los recursos para comprarlo). Un consumidor comprará un auto si el precio es menor o igual a su DAP. Suponga que ponemos en fila a los consumidores según su DAP, de más a menos, y realizamos un gráfico para mostrar cómo va variando la DAP a lo largo de la fila (figura 7.9). Si elegimos cualquier precio, digamos P = 3200 dólares, el gráfico muestra el número de consumidores cuya DAP es mayor o igual a P. En este caso, hay 60 consumidores dispuestos a pagar 3200 o más, por lo que la demanda de autos a un precio de 3200 dólares es 60.
Figura 7.9 Demanda de automóviles (por día).
La Ley de la Demanda se remonta al siglo XVII y se atribuye a Gregory King (1648–1712) y Charles Davenant (1656–1714). King fue heraldo de armas en el Colegio de Armas de Londres y produjo estimaciones detalladas de la población y la riqueza de Inglaterra. Davenant, que era político, publicó la Ley de la Demanda de Davenant-King en 1699, utilizando los datos de King para describir cómo cambiaría el precio del maíz, dependiendo del tamaño de la cosecha. Por ejemplo, calculó que un «defecto», o déficit, de una décima parte (10%) aumentaría el precio en un 30%.
Si P es más bajo, hay un mayor número de consumidores dispuestos a comprar, por lo que la demanda es más alta. Las curvas de demanda se suelen dibujar como líneas rectas, como en este ejemplo, aunque en realidad no hay razón para esperar que sean rectas: ya vimos que la curva de demanda para los Cheerios de manzana y canela no era recta. Ahora bien, lo que sí esperamos es que las curvas de demanda tengan pendiente negativa: a medida que el precio aumenta, la cantidad demandada por los consumidores cae. En cambio, en sentido contrario, cuando la cantidad disponible es baja, puede venderse a un precio alto. Esta relación entre precio y cantidad se conoce a veces como la Ley de la Demanda.
Pregunta 7.7 Escoja la(s) respuesta(s) correcta(s)
El diagrama muestra dos curvas de demanda alternativas, D y D′, para un producto. Según este gráfico, ¿cuáles de las siguientes afirmaciones son correctas?
- En la curva de demanda D, cuando el precio es de 5000 libras, la empresa puede vender 10 unidades.
- Cuando Q = 70, el precio correspondiente en D′ es 3000 libras.
- D′ puede verse sencillamente como un desplazamiento hacia la derecha de D, en 40 unidades, que hace que, para cualquier precio, la empresa pase a poder vender 40 unidades más en D′ que en D.
- Con una producción de 30 unidades, la empresa puede cobrar 4000 libras más en D′ que en D.
Como los productores de Cheerios de manzana y canela, Autos Hermosos va a elegir el precio P y la cantidad Q tomando en cuenta su curva de demanda y sus costos de producción. La curva de demanda determina el conjunto factible de combinaciones de P y Q. Para encontrar el punto en el que se maximiza el beneficio, vamos a dibujar las curvas de isobeneficio y buscar el punto de tangencia, tal y como ya lo hicimos.
Las curvas de isobeneficio
El beneficio o utilidad de la empresa es la diferencia entre sus ingresos (el precio multiplicado por la cantidad vendida) y sus costos totales, C(Q):
\[\begin{align*} \text{utilidad} &= \text{ingreso total} − \text{costo total} \\ &= PQ − C(Q) \end{align*}\]- beneficios económicos o ganancias económicas
- Ingresos de una empresa menos sus costos totales (incluido el costo de oportunidad del capital).
- beneficios o ganancias normales
- Se corresponden con un beneficio económico de cero, lo que significa que la tasa de beneficio es igual al costo de oportunidad del capital. Véase también: beneficios económicos o ganancias económicas, costo de oportunidad del capital.
Este cálculo nos da lo que se conoce como beneficio económico o utilidad económica. Recuerde que la función de costos incluye el costo de oportunidad del capital, es decir, lo que hay que pagar a los propietarios para inducirlos a conservar sus acciones, que es lo que se conoce como beneficios normales o utilidades normales. Las ganancias económicas son el beneficio adicional por encima del rendimiento mínimo exigido por los accionistas.
De igual manera, las ganancias son el número de unidades producidas multiplicado por el beneficio por unidad, que es la diferencia entre el precio y el costo medio:
\[\begin{align*} \text{beneficio} &= Q(P-\frac{C(Q)}{Q}) \\ &= Q(P- \text{CM}) \end{align*}\]A partir de esta ecuación, puede ver que la forma de las curvas de isobeneficio dependerá de la forma de la curva de costo medio. Recuerde que, para los Autos Hermosos, la pendiente de la curva de costo medio es negativa hasta Q = 40, y luego se vuelve positiva. La figura 7.10 muestra las curvas de isobeneficio correspondientes. Son parecidas a las de los Cheerios de la figura 7.3, pero hay algunas diferencias porque la función de costo medio tiene una forma diferente. La curva más baja (azul claro) es la curva de beneficio económico cero: las combinaciones de precio y cantidad para las que el beneficio económico es igual a cero porque el precio es exactamente igual al costo medio para cada cantidad.
Note que en la figura 7.10:
- Las curvas de isobeneficio tienen pendiente negativa en los puntos donde P > CMg.
- Las curvas de isobeneficio tienen pendiente positiva en los puntos donde P < CMg.
- margen de beneficio
- Diferencia entre el precio y el costo marginal.
La diferencia entre el precio y el costo marginal se denomina margen de beneficio o margen comercial o simplemente margen. En cualquier punto sobre una curva de isobeneficio, la pendiente vendrá dada por:
\[\begin{align*} \text{pendiente de la curva de isobeneficio} &= −\frac{(P- \text{CMg})}{Q} \\ &= −\frac{\text{margen de ganancia}}{\text{cantidad}} \end{align*}\]Para entender por qué ocurre esto, considere de nuevo el punto G en la figura 7.10, en el que Q = 23, y el precio es mucho más alto que el costo marginal. Si usted:
- Incrementa Q en 1
- Reduce P en (P – CMg)/Q
Luego su beneficio va a ser el mismo porque el beneficio extra de (P – CMg) del auto 24 se va a ver compensado por una caída en los ingresos de (P – CMg) en los otros 23 autos.
Este mismo tipo de razonamiento es aplicable a cada punto donde P > CMg. El margen de beneficio es positivo, luego la pendiente es negativa. También se aplica cuando P < CMg, pero en este caso el margen de beneficio es negativo, de modo que se hace necesario un incremento en el precio para mantener constante el beneficio cuando la cantidad suba en una unidad: la curva de isobeneficio tiene pendiente positiva.
Pregunta 7.8 Escoja la(s) respuesta(s) correcta(s)
El diagrama representa la curva de costo marginal (CMg), la curva de costo medio (CM) y las curvas de isobeneficio de una empresa. ¿Qué podemos deducir de la información que vemos en el diagrama?
- El beneficio en cualquier punto de la curva CM es cero (ya que el precio es igual al costo promedio y el beneficio = cantidad vendida × (precio − costo medio)).
- El nivel de ganancia para la curva de isobeneficio que pasa por B se puede calcular en Q = 10, donde CM = 20 y P = 40. Entonces, la ganancia es (40 − 20) × 10 = 200
- El nivel de beneficio para la curva de isobeneficio que pasa por C puede calcularse en Q = 10, donde CM = 20 y P = 70. Así pues, el beneficio es (70 − 20) × 10 = 500. En C, Q = 20, entonces la ganancia por unidad es (P − CM) = 25. Dado que CM es 25, P debe ser 50.
- El nivel de beneficio para la curva de isobeneficio que pasa por B se puede calcular en Q = 10, donde CM = 20 y P = 40. Así pues, el beneficio es (40 − 20) × 10 = 200. En B, Q = 20, por lo tanto, el beneficio por unidad es (P − CM) = 10. Como CM es 25, P debe ser 35.
Ejecicio 7.4 Observación de curvas de isobeneficio
Las curvas de isobeneficio para los Cheerios tienen pendiente descendente mientras que, para los Autos Hermosos, tienen pendiente descendente cuando la cantidad Q es baja y ascendente cuando Q es alta.
- En ambos casos, las curvas de isobeneficio más altas se acercan a la curva de costo medio a medida que la cantidad aumenta. ¿Por qué?
- ¿Cuál es la razón que explica la diferencia en la forma de las curvas de isobeneficio entre las dos empresas?
7.5 Fijar el precio y la cantidad para maximizar el beneficio.
En la figura 7.11 hemos mostrado tanto la curva de demanda como la curva de isobeneficio para Autos Hermosos. ¿Cuál es la mejor elección de precio y cantidad para el fabricante?
Las únicas elecciones factibles son los puntos situados en la curva de demanda o por debajo de esta, que corresponden al área sombreada en el diagrama. Para maximizar los beneficios, la empresa debería elegir el punto de tangencia E, donde se alcanza la curva de isobeneficio más alta posible.
Figura 7.11 La elección de precio y cantidad para maximizar los beneficios de Autos Hermosos.
El precio y cantidad que maximizan el beneficio son P* = 5440 dólares y Q* = 32, y el beneficio correspondiente es de 63 360 dólares. Como en el caso de los Cheerios, la combinación óptima de precio y cantidad equilibra la solución a la disyuntiva entre precio y cantidad que la empresa estaría dispuesta a adoptar (para determinado nivel de beneficio) con la solución a esa disyuntiva que la empresa está obligada a adoptar con base en la curva de demanda.
La empresa maximiza su beneficio en el punto de tangencia donde la pendiente de la curva de demanda es igual a la pendiente de la curva de isobeneficio, de modo que las dos disyuntivas entre precio y cantidad coinciden, produciéndose un equilibrio:
- La curva de demanda es la frontera factible y su pendiente es la tasa marginal de transformación (TMT) de precios más bajos en mayores cantidades vendidas.
- La curva de isobeneficio es la curva de indiferencia y su pendiente es la tasa marginal de sustitución (TMS) en la creación de beneficios, entre vender más y cobrar más.
En el punto E, el punto de máximo beneficio, TMT = TMS.
Leibniz: El precio que maximiza el beneficio
En comparación con las gigantes multinacionales de la industria automovilística, Autos Hermosos es una empresa pequeña: elige producir solo 32 autos al día. En términos de sus niveles de producción (pero no en sus precios), se asemeja a las marcas de lujo como Aston-Martin, Rolls Royce o Lamborghini, cada una de las cuales produce menos de 5000 autos al año. El tamaño de Autos Hermosos viene determinado, en parte, por su función de demanda: tiene tan solo 100 compradores potenciales por día, a cualquier precio. A más largo plazo, la empresa podría incrementar su demanda a través de la publicidad, con la que atraería la atención de más consumidores hacia sus productos, y los convencería de las cualidades deseables de estos. Pero, si la empresa quiere expandir su producción, también necesita considerar su estructura de costos, como en la figura 7.7. En la actualidad tiene costos marginales rápidamente crecientes, lo que implica rendimientos a escala decrecientes cuando el producto por día excede 40 unidades. Con sus instalaciones y equipos actuales, es difícil producir más de 40 automóviles. La inversión en nuevo equipamiento puede ayudar a reducir el costo marginal y podría hacer posible la expansión.
Optimización restringida
- problema de elección restringida
- Este problema gira en torno a cómo podemos hacer lo mejor para nosotros, dadas nuestras preferencias y restricciones, y cuando las cosas que valoramos son escasas. Véase también: problema de optimización restringida.
El problema de maximización del beneficio es otro problema de elección restringida como los que hemos estudiado en capítulos anteriores: la elección de tiempo de estudio de Alexei, la elección del horario de trabajo de usted y el de Ángela, y la decisión sobre el salario por parte del empleador de María.
Todos estos problemas tienen la misma estructura:
- Quien toma las decisiones quiere escoger los valores de una o más variables para lograr un objetivo o meta. Para Autos Hermosos, las variables son precio y cantidad.
- El objetivo es optimizar algo: maximizar la utilidad, minimizar los costos o maximizar los beneficios.
- Quien toma las decisiones se enfrenta a una restricción, que limita lo que es factible: la función de producción de Ángela, la restricción presupuestaria de usted mismo, la curva de mejor respuesta de María, la curva de demanda de Autos Hermosos.
En cada uno de estos casos, hemos representado la elección de quien toma las decisiones en forma gráfica, mostrando las curvas de indiferencia que se relacionan con el objetivo (isoutilidad, isocosto o isobeneficio) y el conjunto de resultados factibles, que viene determinado por la restricción. Además, hemos identificado que la solución al problema se sitúa en el punto de tangencia donde la TMS (la pendiente de la curva de indiferencia) es igual a la TMT (la pendiente de la restricción).
Optimización restringida
Quien toma decisiones escoge el valor de una o más variables
- … para lograr un objetivo
- … sujeto a una restricción que determina el conjunto factible
La optimización restringida tiene muchas aplicaciones en el ámbito de la Economía; este tipo de problemas puede resolverse tanto matemática como gráficamente.
Pregunta 7.9 Escoja la(s) respuesta(s) correcta(s)
La figura 7.11 muestra la curva de demanda de Autos Hermosos junto con las curvas de costo marginal e isobeneficio. La combinación cantidad-precio en el punto E es (Q*, P*) = (32, 5440). El costo promedio de producir 50 automóviles es el mismo que el costo promedio de producir 32. Suponga que la empresa mantiene el precio en P = 5440 dólares, pero ahora produce 50 automóviles en lugar de 32. ¿Cuál de las siguientes afirmaciones es correcta?
- Con base en la curva de demanda podemos ver que, a 5440 dólares, la empresa solo puede vender 32 autos.
- El beneficio de la empresa se reduce por el costo de producir los 18 autos adicionales que quedan sin vender.
- El beneficio de la empresa se reduce por el costo de producir los 18 autos adicionales que quedan sin vender.
- El beneficio de la empresa se reduce por el costo de producir los 18 autos adicionales que quedan sin vender.
Pregunta 7.10 Escoja la(s) respuesta(s) correcta(s)
La figura 7.11 muestra la curva de demanda de Autos Hermosos, junto con las curvas de costo marginal e isobeneficio. En el punto E, la combinación de cantidad y precio es (Q*, P*) = (32, 5440) y el beneficio es de 63 360 dólares.
Suponga que la empresa elige producir Q = 32 automóviles y establece el precio en P = 5400 dólares. ¿Cuál de las siguientes afirmaciones es correcta?
- Como Q sigue siendo 32, los costos de producción se mantienen igual, pero el ingreso cae, por lo que el beneficio cae.
- Como Q sigue siendo 32, los costos de producción se mantienen igual. El ingreso se reduce en 40 dólares por cada auto, por tanto, en un total de 1280. El beneficio es 63 360 – 1280 = 62 080 dólares
- En E, donde Q* = 32 y P* = 5440 dólares, el beneficio es de 63 360 dólares. Así pues, el beneficio por automóvil es de 63 360/32 = 1980 dólares. Como 5440 – CM = 1980 dólares, el CM debe ser de 3460 dólares. El CM es igual sea cual sea el precio cobrado.
- Al precio más bajo, la demanda del mercado es superior a 32, por lo que la empresa no tendrá problemas para vender los 32 autos al nuevo precio.
Pregunta 7.11 Escoja la(s) respuesta(s) correcta(s)
La figura 7.11 muestra la curva de demanda de Autos Hermosos, junto con las curvas de costo marginal e isobeneficio.
Suponga que la empresa decide pasar de P* = 5440 dólares y Q* = 32 a un precio más alto, y elige el nivel de producción que maximiza el beneficio al nuevo precio. ¿Cuál de las siguientes afirmaciones es correcta?
- A un precio más alto que P*, el número máximo de automóviles que se pueden vender es inferior a 32, y la empresa no producirá más automóviles de los que puede vender.
- La empresa producirá menos de 32 automóviles. La curva de costo marginal tiene pendiente ascendente, por lo que, a una producción menor, el costo marginal será menor.
- La empresa producirá menos de 32 automóviles, por lo que sus costos totales serán más bajos.
- Cualquier punto factible diferente a E está en una curva de isobeneficio menor.
7.6 Observación de la maximización de beneficio como ingreso marginal y costo marginal
En la sección anterior mostramos que la elección que maximiza los beneficios para Autos Hermosos era el punto donde la curva de demanda era tangente a la curva de isobeneficio. Para maximizar los beneficios, debería producir Q = 32 autos y venderlos a un precio P = 5440 dólares.
- ingreso marginal
- Cambio en los ingresos que se obtiene al aumentar la cantidad de Q a Q + 1.
Ahora analicemos un método diferente para encontrar el punto que maximiza el beneficio (sin usar curvas de isobeneficio), sino que usamos la curva de ingresos marginales. Recuerde que si Q autos se venden a un precio P, los ingresos I vienen dados por I = P × Q. El ingreso marginal, IM, es el incremento en el ingreso obtenido al incrementar la cantidad de Q a Q + 1.
La figura 7.12a muestra cómo calcular el ingreso marginal cuando Q = 20. Esto es, el incremento en el ingreso si la cantidad aumenta en una unidad.
La figura 7.12a muestra que los ingresos de la empresa se corresponden con el área del rectángulo dibujado bajo de la curva de demanda. Cuando Q aumenta de 20 a 21, los ingresos cambian por dos razones. Se vende un auto adicional a un nuevo precio pero, dado que el precio es más bajo cuando Q = 21, también hay una pérdida de 80 dólares en los otros 20 autos. El ingreso marginal es la combinación de estos dos cambios.
La figura 7.12b muestra la curva de ingreso marginal, que se usa para encontrar el punto de ingresos máximos. El panel superior muestra la curva de demanda, y el panel central muestra la curva de costo marginal. El análisis de la figura 7.12b muestra cómo calcular y representar la curva de ingresos marginales, que se obtiene calculando el IM en cada punto a lo largo de la curva de demanda. Cuando P es alto y Q es baja, el IM es alto: el ingreso de vender un auto más es mucho mayor que la pérdida total sobre el número menor del resto de autos. A medida que nos movemos hacia abajo por la curva de demanda, P cae –y, por tanto, el ingreso del último auto vendido se vuelve más pequeño– y Q aumenta –por lo que la pérdida total para el resto de autos es mayor– de modo que el IM cae y al final se vuelve negativo.
La curva de ingreso marginal es, por lo general (aunque no necesariamente) una línea con pendiente negativa. Los dos paneles inferiores de la figura 7.12b demuestran que el punto que maximiza el beneficio es aquel donde la curva de IM se cruza con la curva de CMg. Para entender por qué, recuerde que el beneficio es la diferencia entre los ingresos y los costos, así que, para cualquier valor de Q, el cambio en el beneficio si Q se incrementara en una unidad –el beneficio marginal– sería la diferencia entre la variación en los ingresos y la variación en los costos:
\[\begin{align*} \text{beneficio} &= \text{ingreso total} − \text{costos total} \\ \text{beneficio marginal} &= \text{IM} − \text{CMg} \end{align*}\]Por lo tanto:
- IM > CMg: La firma podría incrementar sus beneficios aumentando Q.
- IM < CMg: El beneficio marginal es negativo. Sería mejor disminuir Q.
Leibniz: Ingreso marginal y costo marginal
Puede usted ver cómo cambian los beneficios con las variaciones de Q en el panel inferior de la figura 7.12b. Al igual que el costo marginal es la pendiente de la función de costos, el beneficio marginal es la pendiente de la función de beneficio. En este caso:
- Cuando Q < 32, IM > CMg: El beneficio marginal es positivo, por lo que el beneficio aumenta con Q.
- Cuando Q > 32, IM < CMg: El beneficio marginal es negativo; el beneficio se reduce cuando aumenta Q.
- Cuando Q = 32, IM = CMg: El beneficio alcanza un máximo.
Pregunta 7.12 Escoja la(s) respuesta(s) correcta(s)
Esta figura muestra las curvas de costo marginal e ingreso marginal para Autos Hermosos. ¿Cuál de las siguientes afirmaciones es correcta, según la información que se muestra?
- Cuando Q = 40, el costo marginal es mayor que el ingreso marginal, por lo que el beneficio marginal es negativo. Esto no significa que el beneficio total de la empresa sea negativo.
- El ingreso marginal es mayor en Q = 10 que en Q = 20 pero, debido a que el ingreso marginal es positivo, a medida que la producción aumenta de 10 a 20, los ingresos aumentan: el ingreso es mayor en Q = 20.
- El beneficio marginal es cero en E, pero este es el punto donde se maximiza el beneficio, por lo que la empresa lo elegirá.
- A todos los niveles de producción hasta el punto E, el ingreso marginal es mayor que el costo marginal. Por lo tanto, la ganancia aumenta a medida que aumenta la producción: es mayor en Q = 20 que Q = 10
7.7 Las ganancias del intercambio comercial
- renta económica
- Pago u otro beneficio recibido por encima y más allá de lo que el individuo hubiera recibido en su siguiente mejor alternativa (u opción de reserva). Ver también: opción de reserva.
- ganancias del intercambio
- Beneficios que cada parte obtiene de una transacción en comparación con cómo les hubiera ido sin el intercambio. También se conoce como ganancias del comercio. Ver también: renta económica.
- eficiencia de Pareto
- Asignación con la propiedad de que no existe una asignación alternativa técnicamente factible en la que, al menos una persona estaría mejor y nadie peor.
Recuerde cómo en el capítulo 5 las personas participaban en interacciones económicas voluntarias porque les convenía: podían obtener un superávit llamado renta económica. El excedente total para las partes involucradas es una medida de las ganancias del intercambio o ganancias del comercio. Podemos analizar el resultado de las interacciones económicas entre los consumidores y una empresa en términos de eficiencia y equidad, como lo hicimos con Ángela y Bruno en el capítulo 5. Evaluamos el excedente total y la forma en que se distribuye en términos de eficiencia de Pareto y justicia.
Hemos asumido que las reglas del juego para distribuir Cheerios y autos entre los consumidores son:
- Una empresa decide cuántos artículos producir y fija un precio.
- Luego los consumidores individuales deciden si compran.
Estas reglas reflejan instituciones de mercado típicas para la asignación de bienes de consumo, aunque podríamos imaginar otras alternativas: quizás un grupo de gente que quisiera autos podría reunirse para producir una especificación y luego invitar a los productores a licitar para que se les adjudicara el contrato.
En la interacción entre una empresa como Autos Hermosos y sus consumidores, hay ganancias potenciales para ambos, siempre y cuando la empresa sea capaz de elaborar un auto a un costo menor que el valor del auto para un consumidor. Recuerde que la curva de demanda muestra la disposición a pagar (DAP) de cada uno de los potenciales consumidores. Un consumidor cuya DAP sea mayor que el precio, va a comprar el bien y recibir un excedente: el valor de su auto es más de lo que tiene que pagar por él.
De manera similar, la curva de costo marginal muestra cuánto cuesta producir cada auto adicional. (Si se empieza en Q = 0, la curva de costo marginal muestra cuánto cuesta producir el primer auto, luego el segundo, y así sucesivamente). Y si el costo marginal es menor que el precio, la firma también recibe un excedente. La figura 7.13 muestra cómo encontrar el excedente total –recuerde que a veces también se conoce como ganancias del comercio o ganancias del intercambio– para la empresa y sus consumidores, cuando Autos Hermosos fija el precio con el objetivo de maximizar sus ganancias.
Excedente del consumidor, excedente del productor, beneficio
- El excedente del consumidor es una medida de los beneficios de la participación en el mercado para los consumidores.
- El excedente del productor está estrechamente relacionado con las ganancias de la empresa, pero no es exactamente lo mismo. El excedente del productor es la diferencia entre los ingresos de la empresa y los costos marginales de cada unidad, pero no incluye los costos fijos en los que se incurre incluso cuando Q = 0.
- El beneficio es el excedente del productor menos los costos fijos.
- El excedente total derivado del comercio en este mercado, para la empresa y los consumidores en conjunto, es la suma del excedente del consumidor y el excedente del productor.
En la figura 7.13, el área sombreada por encima de P* mide el excedente del consumidor y el área sombreada por debajo de P* es el excedente del productor. A partir del tamaño relativo de las dos áreas en la figura 7.13, vemos que en este mercado la empresa obtiene una participación mayor del excedente.
Al igual que en el caso del contrato de intercambio voluntario entre Ángela y Bruno en el capítulo 5, ambas partes ganan en el mercado de Autos Hermosos y el reparto de las ganancias viene determinado por el poder de negociación. En este caso, la empresa tiene más poder de negociación que los consumidores porque es el único vendedor de Autos Hermosos. Esto significa que puede fijar un precio alto y obtener una proporción alta de las ganancias, a sabiendas de que los consumidores que atribuyan un valor alto al auto no tienen más alternativa que aceptar. Un consumidor individual no tiene poder de negociación para tratar de obtener un acuerdo mejor porque la empresa tiene muchos otros potenciales consumidores.
Eficiencia de Pareto
- mejora de Pareto
- Cambio que beneficia al menos a una persona sin empeorar por ello la situación de nadie más. Ver también: dominancia de Pareto.
- eficiencia de Pareto
- Asignación con la propiedad de que no existe una asignación alternativa técnicamente factible en la que, al menos una persona estaría mejor y nadie peor.
¿Es la asignación de autos en este mercado eficiente en términos de Pareto? La respuesta es no, porque hay algunos consumidores que no compran autos al precio elegido por la empresa pero que, sin embargo, estarían dispuestos a pagar más de lo que le costaría a la firma producirlos. En la figura 7.13 vimos que Autos Hermosos obtiene un excedente por el auto marginal, esto es decir, el auto 32. El precio es mayor que el costo marginal. Podría producir otro auto y venderlo al consumidor número 33 a un precio menor de 5440 dólares pero mayor que el costo de producción. Esto sería una mejora de Pareto: tanto la empresa como el consumidor 33 estarían mejor. En otras palabras: las potenciales ganancias del comercio en el mercado para este tipo de auto no se han agotado en E.
Suponga que la empresa hubiera escogido el punto F, donde la curva de costo marginal se cruza con la curva de demanda. Este punto representa un resultado eficiente en términos de Pareto, sin que existan potenciales mejoras de Pareto adicionales: si se produjera otro auto, costaría más de lo que cualquiera de los consumidores restantes estaría dispuesto a pagar por él. La figura 7.14 explica por qué el excedente total, que podemos concebir como la torta total a repartir entre la empresa y sus clientes, sería mayor en F.
El excedente del consumidor sería más alto en el punto eficiente en términos de Pareto (F) que en E. El excedente del consumidor sería mayor porque aquellos que están dispuestos a comprar a un precio más alto se beneficiarían del precio menor, y los consumidores adicionales también obtendrían un excedente. No obstante, Autos Hermosos no escogerá F porque el excedente del productor es más bajo en ese punto (y puede usted ver que está en una curva de isobeneficio más baja).
- pérdida de eficiencia
- (o pérdida irrecuperable de eficiencia) Pérdida de excedente total en relación a una asignación eficiente en términos de Pareto.
Como la empresa escoge E, se da una pérdida de excedente potencial que se conoce como pérdida de eficiencia. En el diagrama es el área triangular entre Q = 32, la curva de demanda y la curva de costo marginal.
Puede parecer confuso que la empresa escoja E cuando hemos dicho que en este punto sería posible para consumidores y para la empresa plantearse moverse a otro en el que estarían mejor. Eso es verdad, pero solo si los autos pudieran venderse a otros consumidores a un precio más bajo que a los primeros 32 consumidores. La firma escoge E porque eso es lo mejor que puede hacer, dadas las reglas del juego (fijar un único precio para todos los consumidores). La asignación que resulta de la fijación de precios por parte del fabricante de un producto diferenciado como los Autos Hermosos es ineficiente en términos de Pareto. La compañía usa su poder de negociación para fijar un precio que es mayor que el costo marginal de un auto. Más aún, mantiene el precio alto produciendo una cantidad que es demasiado baja, en comparación con la asignación eficiente en términos de Pareto.
Como experimento mental, imagine que las reglas del juego fueran diferentes y la empresa pudiera cobrar precios diferenciados a cada comprador, justo por debajo de la disposición a pagar de cada uno de ellos. En este caso, definitivamente la firma vendería a cualquier comprador potencial cuya disposición a pagar excediera el costo marginal y, en consecuencia, se producirían todos los intercambios mutuamente beneficiosos. La empresa fabricaría una cantidad de automóviles eficiente en términos de Pareto.
Para realizar de esta forma una fijación de precios individuales (conocida como discriminación de precios), la empresa necesitaría saber la disposición a pagar de cada comprador. En este caso hipotético, la pérdida de eficiencia desaparecería. La empresa captaría todo el excedente: habría excedente de productor, pero no excedente de consumidor. Puede que pensemos que esto es injusto, pero la asignación de mercado resultante sería eficiente en términos de Pareto.
Ejercicio 7.5 Cambiar las reglas del juego
- Suponga que Autos Hermosos tiene suficiente información y tanto poder de negociación que podría cobrar a cada consumidor, por separado, el máximo que este estaría dispuesto a pagar. Dibuje las curvas de demanda y costo marginal (como en la figura 7.14) e indique en su diagrama:
- la cantidad de autos vendidos
- el precio más alto pagado por cualquier consumidor
- el precio más bajo pagado
- el excedente del consumidor y del productor
- ¿Puede pensar en algún ejemplo de bienes que se vendan de esta manera?
- ¿Por qué no es esta una práctica común?
- Algunas empresas cobran precios diferentes a diferentes grupos de consumidores; por ejemplo, las aerolíneas pueden cobrar tarifas más altas para los viajeros de último minuto. ¿Por qué harían esto y qué efecto tendría sobre el excedente del consumidor y del productor?
- Supongamos que una política de competencia ha cambiado las reglas del juego. ¿Cómo podría dar esto más poder de negociación a los consumidores?
- Bajo estas reglas, ¿cuántos autos se venderían?
- Bajo estas reglas, ¿cuáles serían los excedentes del productor y del consumidor?
Pregunta 7.13 Escoja la(s) respuesta(s) correcta(s)
¿Cuál de las siguientes afirmaciones es correcta?
- Esto es correcto: para ser más exactos, cada consumidor recibe un excedente igual a la diferencia entre la DAP y el precio, y el excedente del consumidor es la suma de los excedentes de todos los consumidores.
- El excedente del productor es la diferencia entre los ingresos de la empresa y sus costos marginales. Esto no es lo mismo que el beneficio, porque no tiene en cuenta los costos fijos de producción. El beneficio es el excedente del productor menos los costos fijos.
- La pérdida de eficiencia es la pérdida de potencial excedente total debido a que la empresa produce por debajo del nivel eficiente en términos de Pareto. Es la suma de las pérdidas de excedente tanto de los consumidores como del productor.
- Se lograrían todas las ganancias posibles en el nivel de producción eficiente en términos de Pareto, pero la opción que maximiza el beneficio de una empresa que produce un bien diferenciado no es eficiente en términos de Pareto.
7.8 La elasticidad de la demanda
La empresa maximiza beneficios al escoger el punto donde la pendiente de la curva de isobeneficio (TMS) es igual a la pendiente de la curva de demanda (TMT), que representa la solución a la disyuntiva entre precio y cantidad que la firma está obligada a aceptar.
- elasticidad de la demanda ante los precios
- Cambio porcentual en la demanda que ocurriría en respuesta a un aumento del precio del 1%. Lo expresamos como un número positivo. La demanda es elástica si esta cifra es mayor que 1 e inelástica si la cifra es menor que 1.
Así pues, la decisión de la empresa depende de cuánta pendiente tenga la curva de demanda: en otras palabras, cuánto cambiará la demanda de un bien por parte de los consumidores si cambia el precio. La elasticidad de la demanda ante los precios es una medida de la sensibilidad de un consumidor a un cambio de precios: se define como el cambio porcentual en la demanda que ocurriría en respuesta a un incremento de un 1% en el precio. Por ejemplo, suponga que cuando el precio de un producto incrementa un 10%, observamos una caída del 5% en la cantidad vendida. Podemos calcular la elasticidad ε de la siguiente forma:
\[\varepsilon = −\frac{\text{cambio } \% \text{ de la demanda}}{\text{cambio } \% \text{ del precio}}\]ε es la letra griega épsilon, que es la que habitualmente se utiliza para la elasticidad. En una curva de demanda, la cantidad cae cuando el precio aumenta y, por lo tanto, el cambio en la demanda es negativo si el cambio en precio es positivo y viceversa. El signo negativo en la fórmula para la elasticidad asegura que obtengamos un número positivo como nuestra medida de sensibilidad. Así, en este ejemplo, obtenemos:
\[\begin{align} \varepsilon &= −\frac{-5}{10} \\ &= 0,5 \end{align}\]La elasticidad de la demanda ante los precios está relacionada con la pendiente de la curva de demanda: si la curva de demanda es bastante plana, la cantidad cambia significativamente en respuesta a un cambio en el precio, así que la elasticidad es alta. De manera inversa, una curva de demanda con una pendiente más pronunciada corresponde a una menor elasticidad. Ahora bien, la pendiente de la curva de demanda y su elasticidad no son lo mismo. Es importante reparar en que la elasticidad cambia a medida que nos movemos a lo largo de la curva de demanda, incluso si la pendiente no lo hace.
La figura 7.15 muestra (una vez más) la curva de demanda de autos, que tiene una pendiente constante: es una línea recta. En cada punto, si la cantidad se incrementa en uno (ΔQ = 1), el precio cae 80 dólares (ΔP = –80 dólares):
\[\begin{align*} \text{pendiente de la curva de demanda} &= −\frac{\Delta P}{\Delta Q} \\ &= −80 \end{align*}\]Como ΔP = –80 dólares cuando ΔQ = 1 sobre cada punto de la curva de demanda, es fácil calcular la elasticidad en cualquier punto. En el punto A, por ejemplo, Q = 20 y P = 6400 dólares, por lo que:
\[\begin{align*} \text{cambio } \%\text{ en }Q &= 100(\frac{\Delta Q}{Q}) = 100(\frac{1}{20}) = 5\% \\ \text{cambio } \%\text{ en }P &= 100(\frac{\Delta P}{P}) = 100(\frac{-80}{6400}) = −1,25\% \end{align*}\]Y así:
\[\begin{align*} \varepsilon &= −\frac{5}{-1,25} \\ &= 4 \end{align*}\]La tabla de la figura 7.15 muestra los cálculos de elasticidad en diversos puntos de la curva de demanda. Siga los pasos del análisis de la figurara para ver cómo, a medida que descendemos por la curva de demanda, los mismos cambios en P y Q conducen a mayores cambios porcentuales en P y menores cambios porcentuales en Q, de modo que la elasticidad cae.
Decimos que una demanda es elástica si la elasticidad es mayor que 1, e inelástica si es menor que 1. Observe en la figura 7.15 que el ingreso marginal es positivo en puntos donde la demanda es elástica, y negativo donde es inelástica. ¿Por qué ocurre esto? Cuando la demanda es altamente elástica, el precio sólo caerá un poco si la firma aumenta la cantidad. En ese caso, al producir un automóvil adicional, la empresa puede obtener ingresos con el auto adicional vendido sin perder mucho en la venta de los otros autos, subiendo entonces el ingreso total. En otras palabras, el IM > 0. En el caso contrario, cuando la demanda es inelástica, la firma no puede aumentar Q sin sufrir una fuerte caída en P, por lo cual IM < 0. En el Einstein al final de esta sección, demostramos que esta relación se cumple para todas las curvas de demanda posibles.
Pregunta 7.14 Escoja la(s) respuesta(s) correcta(s)
Una tienda vende 20 sombreros por semana a 10 dólares cada uno. Cuando aumenta el precio a 12 dólares, la cantidad de sombreros vendidos cae a 15 por semana. ¿Cuáles de las siguientes afirmaciones son correctas?
- Cuando el precio aumenta de 10 a 12 dólares, la demanda disminuye.
- El aumento porcentual del precio es 100 × 2/10 = 20%. Esto genera una disminución porcentual de la demanda de 100 × 5/20 = 25%.
- Si utilizamos estas cifras para estimar la elasticidad de la demanda ante los precios, obtenemos un valor mayor que 1, con lo cual, la demanda es elástica.
- El aumento porcentual del precio es 100 × 2/10 = 20%; La disminución porcentual de la demanda es de 100 × 5/20 = 25%. Por lo tanto, la elasticidad se puede estimar como 25/20 = 1,25.
¿Cómo afecta la elasticidad de demanda las decisiones de la empresa? Recuerde que la cantidad que maximiza las ganancias para el productor de automóviles es = 32. Observe en la figura 7.15 que ese punto se encuentra en la parte elástica de la curva de demanda. La empresa nunca escogería un punto como D, donde la curva de demanda es inelástica, porque allí el ingreso marginal es negativo; siempre sería mejor disminuir la cantidad, pues con ello se incrementaría el ingreso y se reducirían los costos. Por consiguiente, la empresa siempre escoge un punto donde la elasticidad es mayor que uno.
En segundo lugar, el margen de beneficio de la empresa (la diferencia entre el precio y el costo marginal de producción) está estrechamente relacionado con la elasticidad de la demanda. La figura 7.16 representa una situación de demanda altamente elástica. La curva de demanda es bastante plana, por lo que pequeños cambios en los precios marcan una gran diferencia en ventas. La elección que maximiza el beneficio es el punto E. Puede usted ver que el margen de beneficio es relativamente pequeño. Esto significa que la cantidad de autos que la empresa elige fabricar no está tan por debajo de la cantidad eficiente en términos de Pareto, en el punto F.
Figura 7.16 Una empresa que se enfrenta a una demanda altamente elástica.
La figura 7.17 muestra la decisión de una empresa con los mismos costos de producción de autos, pero una demanda menos elástica para sus productos. En este caso, el margen de beneficio es alto y la cantidad es baja. Cuando el precio aumenta, muchos consumidores están todavía dispuestos a pagar. La empresa maximiza los beneficios aprovechando esta situación para obtener una proporción mayor del excedente, pero el resultado es que se venden menos autos y las ganancias del comercio no aprovechadas, representadas por la pérdida de eficiencia, son altas.
Figura 7.17 Una empresa que se enfrenta a una demanda menos elástica.
Leibniz: La elasticidad de la demanda
- sobreprecio
- El precio menos el costo marginal dividido por el precio. Es inversamente proporcional a la elasticidad de la demanda de este bien.
Estos ejemplos ilustran que, cuanto menor sea la elasticidad de demanda, tanto más aumentará el precio la empresa por encima del costo marginal para obtener un alto margen de beneficio. Cuando la elasticidad de la demanda es baja, la empresa tiene el poder de aumentar el precio sin perder muchos consumidores y el sobreprecio (se usa también el anglicismo markup), que es el margen de beneficio como proporción del precio, será alto. El Einstein del final de esta sección muestra que el sobreprecio es inversamente proporcional a la elasticidad de la demanda.
Pregunta 7.15 Escoja la(s) respuesta(s) correcta(s)
La figura representa dos curvas de demanda, D1 y D2:
Con base en esta figura, ¿cuáles de las siguientes afirmaciones son correctas?
- En E, el precio y la cantidad son iguales en ambas curvas de demanda, pero D1 tiene más pendiente, por lo que es menos elástica que D2.
- La pendiente es la misma en A y C, pero en A el precio es más alto y la cantidad es más baja, por lo que la elasticidad es más alta.
- El precio y la cantidad son los mismos en ambas curvas de demanda, pero D1 tiene más pendiente, por lo que las elasticidades no son las mismas.
- La pendiente es la misma en E y B, pero en E el precio es más alto y la cantidad es más baja, por lo que la elasticidad es más alta.
Einstein La elasticidad de demanda y el ingreso marginal
El diagrama muestra cómo obtener una fórmula general para la elasticidad en cada punto (Q, P) sobre la curva de demanda.
También muestra cómo la elasticidad está relacionada a la pendiente de la curva de demanda. Una curva de demanda más plana tiene una menor pendiente y, por lo tanto, una mayor elasticidad.
![]()
Figura 7.18 La elasticidad de la demanda y el ingreso marginal.
En el punto A, el precio es P y la cantidad es Q. Si la cantidad aumenta en ΔQ, el precio cae: experimenta una variación de ΔP que es negativa.
\[\begin{align*} \text{cambio % en } P = 100 \times \Delta P/P \\ \text{cambio % en } Q = 100 \times \Delta Q/Q \\ \text{Elasticidad en A} = −\frac{\text{cambio % en }Q}{\text{cambio % en } P} \\ = − \frac{\Delta Q/Q}{\Delta P/P} \\ = − \frac{P}{Q} \times \frac{\Delta Q}{\Delta P} \\ \text{pendiente de la curva de demanda} = \frac{\Delta P}{\Delta Q} \\ \text{Elasticidad} = - \frac{P}{Q} \times \frac{1}{pendiente} \end{align*}\]Suponga que la curva de demanda es elástica en A. Entonces la elasticidad es mayor que uno:
\[-\frac{P \Delta Q}{Q \Delta P} > 1\]Multiplicando por –QΔP (que es positivo):
\[P\Delta Q > −Q\Delta P\]Que reordenando nos da:
\[P\Delta Q + Q\Delta P > 0\]Considera el caso especial en que ΔQ = 1. La desigualdad es ahora:
\[P + Q \Delta P > 0\]Ahora recuerde que el ingreso marginal en el punto A es el cambio en el ingreso que se produce cuando Q se incrementa en una unidad. Este cambio consiste en la ganancia en términos de ingreso por unidad adicional, que es P, y la pérdida en las otras unidades, que es QΔP. Por lo tanto, esta desigualdad nos indica que el ingreso marginal es positivo.
Hemos mostrado que, si la curva de demanda es elástica, IM > 0. De manera similar, si la curva de demanda es inelástica, IM < 0.
El tamaño del sobreprecio que escoge la firma
Podemos encontrar una fórmula que muestra que el sobreprecio es alto cuando la elasticidad de la demanda es baja.
Sabemos que la empresa escoge un punto donde la pendiente de la curva de isobeneficio se iguala a la pendiente de la curva de demanda, y también que la pendiente de la curva de demanda se relaciona con la elasticidad de la demanda ante los precios:
\[\varepsilon = -\frac{P}{Q}\times\frac{1}{\text{pendiente}}\]Reordenando esta fórmula:
\[\text{pendiente de la curva de demanda} = -\frac{P}{Q}\times\frac{1}{\text{elasticidad}}\]También sabemos gracias a la sección 7.4 que:
\[\text{pendiente de la curva de isobeneficio} = -\frac{(P- \text{CMg})}{Q}\]Cuando las dos pendientes se igualan:
\[\frac{(P - \text{CMg})}{Q} = \frac{P}{Q}\times\frac{1}{\text{elasticidad}}\]Reordenando, obtenemos:
\[\frac{(P - \text{CMg})}{P} = \frac{1}{\text{elasticidad}}\]A la izquierda tenemos el margen de beneficio como proporción del precio, que es lo que llamamos sobreprecio. Por ende:
El sobreprecio de una empresa es inversamente proporcional a la elasticidad la demanda.
7.9 Uso de las elasticidades de la demanda en las políticas gubernamentales
Medir elasticidades de demanda también es útil para quienes elaboran las políticas públicas. Si el gobierno establece un impuesto sobre un bien particular, ese gravamen hará que aumente el precio que pagan los consumidores, por lo que el efecto del impuesto dependerá de la elasticidad de la demanda.
- Si la demanda es altamente elástica: Un impuesto reduce las ventas. Eso puede ser precisamente lo que el gobierno intenta hacer: por ejemplo, el gobierno usa los impuestos sobre el tabaco para desincentivar el consumo de tabaco porque es dañino para la salud.
- Si un impuesto causa una importante caída en las ventas: También reduce los ingresos potenciales del impuesto.
En consecuencia, un gobierno que desee recaudar fondos a través de los impuestos debe escoger impuestos a productos con demandas inelásticas.
Muchos países, como México y Francia, han introducido recientemente impuestos orientados a reducir el consumo de comidas y bebidas que no son sanas. Un estudio internacional del 2014 develaba preocupantes incrementos en la obesidad de adultos y niños desde 1980. En 2013, el 37% de los hombres y 38% de las mujeres del mundo eran obesos o tenían sobrepeso. En Norteamérica, las cifras ascendían a 70 y 61%, respectivamente. No obstante, la epidemia de obesidad no afecta solo a los países más ricos: los niveles alcanzados en Oriente Medio y el Norte de África eran del 59 y 66%, respectivamente.
Para investigar los efectos de los impuestos sobre los alimentos, Matthew Harding y Michael Lovenheim usaron datos detallados sobre las compras de alimentos por parte de los consumidores estadounidenses con el objetivo de estimar las elasticidades de demanda para distintos tipos de alimentos. Así pues, dividieron los productos alimenticios en 33 categorías y usaron un modelo de toma de decisiones del consumidor para examinar cómo afectaban los cambios en los precios a la participación de cada categoría en el gasto total en alimentos de los consumidores –y, por lo tanto, en la composición nutricional de la dieta– teniendo en cuenta que el cambio en el precio de cualquier producto afectaría su demanda y la de otros productos también. La figura 7.19 muestra los precios y elasticidades para algunas de las categorías.
| Categoría | Tipo | Calorías por porción | Precio por 100 g (USD) | Gasto típico por semana (USD) | Elasticidad de la demanda ante los precios |
|---|---|---|---|---|---|
| 1 | Frutas y vegetales | 660 | 0,38 | 2,00 | 1,128 |
| 2 | Frutas y vegetales | 140 | 0,36 | 3,44 | 0,830 |
| 15 | Granos, pasta, pan | 1540 | 0,38 | 2,96 | 0,845 |
| 17 | Granos, pasta, pan | 960 | 0,53 | 2,64 | 0,292 |
| 28 | Pasabocas, dulces | 433 | 1,13 | 4,88 | 0,270 |
| 29 | Pasabocas, dulces | 1727 | 0,68 | 7,60 | 0,295 |
| 30 | Leche | 2052 | 0,09 | 2,32 | 1,793 |
| 31 | Leche | 874 | 0,15 | 1,44 | 1,972 |
Figura 7.19 Elasticidades en el precio de la demanda para diferentes tipos de alimentos. Observe las Calorías por porción para comparar grupos de alto y bajo contenido calórico para cada tipo de alimento.
Matthew Harding y Michael Lovenheim. 2013. ‘The Effect of Prices on Nutrition: Comparing the Impact of Product- and Nutrient-Specific Taxes’. SIEPR Discussion Paper No. 13-023.
Puede ver que la demanda de productos lácteos con bajas calorías (categoría 31) es la más sensible al precio. Si su precio se incrementara un 10%, la cantidad comprada caería un 19,72%. La demanda de pasabocas y dulces es bastante inelástica, lo que sugiere que puede resultar difícil disuadir a los consumidores de comprarlos.
Ejercicio 7.6 Elasticidad y gasto
La figura 7.19 muestra el gasto semanal en cada categoría de un consumidor estadounidense cuyo gasto total en alimentos es de 80 dólares por semana, y que presenta patrones de gasto típicos en todas las categorías de alimentos. Supongamos que el precio de la categoría 30, los productos lácteos con alto contenido calórico, aumentó un 10%:
- ¿En qué porcentaje disminuiría su demanda de productos lácteos con alto contenido calórico?
- Calcule la cantidad que consume en gramos, antes y después del cambio en el precio.
- Calcule su gasto total en productos lácteos de alto contenido calórico, antes y después del cambio en el precio. Debería encontrar que el gasto cae.
- Ahora elija una categoría para la cual la elasticidad del precio sea inferior a 1 y repita los cálculos. En este caso, debe encontrar que el gasto aumenta.
Para obtener información adicional, este blog ilustra una reacción a la investigación de Matthew Harding y Michael Lovenheim: The Huffington Post. 2014. ‘There’s An Easy Way To Fight Obesity, But Conservatives Will HATE It’.
Harding y Lovenheim examinaron los efectos de un impuesto de 20% sobre el azúcar, la grasa y la sal. Un impuesto del 20% sobre el azúcar, por ejemplo, incrementaría el precio de un producto que contiene un 50% azúcar en 10%. Estos investigadores descubrieron que un impuesto al azúcar era lo que tenía el mayor efecto positivo sobre la nutrición, pues reduciría el consumo de azúcar en 16%, el de grasa en 12%, el de sal en 10% y el consumo de calorías en 19%.6
Ejercicio 7.7 Impuestos alimentarios y salud
Los impuestos a los alimentos cuyo objetivo es cambiar el consumo para redirigirlo hacia una dieta más saludable son controvertidos. Hay quien piensa que las personas deberían poder tomar sus propias decisiones y, si prefieren consumir productos poco saludables, el gobierno no debería interferir. Ahora bien, en vista de que quienes enfermen recibirán unos cuidados que entrañarán algún gasto público, otros argumentan que el gobierno tiene que desempeñar un papel tratando de mantener a las personas saludables.
Con sus propias palabras, presente argumentos a favor o en contra de los impuestos a los alimentos diseñados para fomentar una alimentación saludable.
7.10 Fijación de precios, competencia y poder de mercado
- monopolio
- Empresa que es la única proveedora de un producto que no tiene sustitutos cercanos. También se refiere a un mercado con un solo vendedor. Ver también: poder monopolístico, monopolio natural.
Nuestro análisis de las decisiones de fijación de precios de la empresa podría aplicarse a cualquier firma que produzca y venda un producto que sea diferente de algún modo de los de cualquier otra empresa. En el siglo XIX, el economista francés Augustin Cournot llevó a cabo un análisis similar usando el ejemplo del agua embotellada de «un manantial de agua mineral que se ha descubierto recientemente que posee propiedades benéficas para la salud que ningún otro posee». Cournot se refirió a esto como un caso de monopolio –un mercado en el que hay un solo vendedor– y mostró, como hemos hecho nosotros, que la empresa fijaría un precio mayor al costo marginal de la producción.7
Grandes economistas Augustin Cournot
Augustin Cournot (1801–1877) fue un economista francés, en la actualidad conocido sobre todo por su modelo de oligopolio (un mercado con un pequeño número de empresas). El libro de 1838 titulado Investigaciones acerca de los principios matemáticos de la teoría de las riquezas, Cournot introdujo un nuevo enfoque matemático de la Economía, aunque temía que «le acarrearía… la condena de los teóricos de reputación». El trabajo de Cournot influyó en otros economistas del siglo XIX, como Marshall y Walras, y sentó los principios básicos que aún utilizamos cuando pensamos sobre el comportamiento de las empresas. Aunque utilizó el álgebra en lugar de diagramas, el análisis de la demanda y la maximización de beneficios de Cournot es muy similar al nuestro.
Vimos en la sección 7.6 que cuando el productor de un bien diferenciado fija el precio por encima del costo marginal de producción, el equilibrio del mercado no es eficiente en términos de Pareto. Cuando el intercambio en un mercado resulta en una asignación ineficiente en términos de Pareto, decimos que se trata de un caso de falla del mercado.
Falla de mercado
Las fallas de mercado ocurren cuando los mercados asignan recursos de formas ineficientes según el criterio de Pareto.
La pérdida de eficiencia nos da una medida de las consecuencias de la falla del mercado: el tamaño de las ganancias del intercambio no aprovechadas. Como vimos en la sección 7.7, la pérdida de eficiencia que resulta de fijar un precio por encima del costo marginal es alta cuando la elasticidad de la demanda es baja.
Entonces, ¿qué determina la elasticidad de la demanda de un producto? Y ¿por qué algunas empresas se enfrentan a demandas más elásticas que otras? Para responder a esta pregunta, necesitamos reconsiderar el comportamiento de los consumidores.
Los mercados con productos diferenciados reflejan las diferencias en las preferencias de los consumidores. Las personas que quieren comprar un auto buscan diferentes combinaciones de características. La disposición a pagar de un consumidor por un modelo en particular dependerá no solamente de sus características, sino también de las características y precios de automóviles similares vendidos por otras empresas.
Por ejemplo, la figura 7.20 muestra los precios de compra de un auto de tres puertas con espacio de carga para el equipaje, en el Reino Unido en enero de 2014, que un consumidor podría encontrar en una página web de comparación de precios.
| Precio (GBP) | |
|---|---|
| Ford Fiesta | 11 917 |
| Vauxhall Corsa | 11 283 |
| Peugeot 208 | 10 384 |
| Toyota IQ | 11 254 |
Figura 7.20 Precios de compra de automóviles en el Reino Unido (enero de 2014, (Autotrader.com)).
Aunque los cuatro autos son similares en sus características principales, la página web los compara con base en otras 75 características, muchas de las cuales difieren entre sí.
Cuando los consumidores pueden elegir entre varios autos bastante similares, es probable que la demanda de cada uno de estos sea bastante elástica. Si el precio del Ford Fiesta, por ejemplo, aumentara, la demanda caería porque la gente escogería comprar uno de las otras marcas en vez de este modelo. En sentido contrario, si el precio del Ford Fiesta disminuyera, la demanda aumentaría porque los consumidores se verían atraídos por la rebaja de precio en detrimento de los otros autos. Cuanto más se parezcan los otros autos al Ford Fiesta, más sensibles serán los consumidores a las diferencias de precio. Solo aquellos con la máxima fidelidad a la marca Ford y los que tengan una fuerte preferencia por una característica específica del Ford que los otros autos no posean, no responderían como vimos en la sección anterior. Una demanda altamente elástica implica que la empresa tendrá un precio y un margen de beneficio relativamente bajos.
- rentas monopólicas
- Forma de beneficio económico que surge debido a la competencia restringida en la venta del producto de una empresa. Véase también: beneficios económicos o ganancias económicas.
En contraste con lo anterior, los fabricantes de un tipo de auto muy especializado, bastante diferente de cualquier otra marca del mercado, se enfrentan a poca competencia y, por lo tanto, a una demanda menos elástica. Ellos sí pueden fijar un precio muy por encima del costo marginal sin perder clientes. Este tipo de empresa está ganando rentas monopólicas (beneficios económicos por encima de sus costos de producción) que resultan de su posición como el único proveedor de este tipo de auto (de modo parecido, una empresa innovadora obtiene rentas mientras es la única firma que usa una nueva tecnología: ver capítulo 2).
- sustitutos
- Dos bienes para los cuales un aumento en el precio de uno lleva a un aumento en la cantidad demandada del otro. Ver también: complementos.
- poder de mercado
- Atributo de una firma que puede vender su producto a toda una gama de precios factibles, de modo que pueda beneficiarse de actuar como un agente que establece precios (en lugar de uno que adopta los precios que fijan otros).
Por lo tanto, una empresa estará en una posición fuerte si hay pocas empresas produciendo sustitutos cercanos de su marca, porque en ese caso se enfrentará a poca competencia de otras empresas. En este caso, su elasticidad de la demanda va a ser relativamente baja. Decimos que una empresa así tiene poder de mercado: tendrá suficiente poder de mercado en su relación con sus clientes para fijar un precio alto sin perderlos frente a la competencia.
Política de competencia
Este debate ayuda a explicar por qué a los diseñadores de políticas públicas pueden preocuparles las empresas que tienen pocos competidores, pues estas cuentan con un poder de mercado que les permite fijar altos precios y generar grandes beneficios a costa de los consumidores. El potencial excedente del consumidor se pierde porque pocos consumidores compran y porque aquellos que lo hacen pagan un alto precio. Los dueños de la empresa se benefician, pero a nivel general hay una pérdida de eficiencia.
Una empresa que vende un producto de nicho orientado a las preferencias de un número pequeño de consumidores (como un Auto Hermoso o uno de una marca de lujo como un Lamborghini) es poco probable que atraiga la atención de los diseñadores de políticas públicas, a pesar de la pérdida de excedente del consumidor. Pero si una empresa se vuelve dominante en un mercado grande, los gobiernos pueden intervenir para promover la competencia. En el 2000, la Comisión Europea impidió la fusión propuesta de Volvo y Scania con el argumento de que la empresa resultante de la fusión tendría una posición dominante en el mercado de camiones pesados en Irlanda y en los países nórdicos, particularmente en Suecia, donde la cuota de mercado combinada de las dos firmas era del 90%. La empresa fusionada habría tenido prácticamente un monopolio: el caso extremo de una firma que no tiene ningún competidor.
- cártel
- Grupo de empresas que actúan en connivencia para aumentar sus ganancias conjuntas.
Una causa particular de preocupación es que, cuando solo hay unas pocas empresas en el mercado, estas pueden formar un cártel: un grupo de empresas que actúan en connivencia para mantener el precio alto. Al trabajar conjuntamente, comportándose como un monopolio, en vez de competir entre sí, pueden incrementar sus beneficios. Un ejemplo bien conocido es la OPEP, una asociación de países productores de petróleo. Los miembros de la OPEP acuerdan de manera conjunta fijar los niveles de producción para controlar el precio global del petróleo. Las acciones del cártel de la OPEP tuvieron un papel importante a la hora de mantener los precios del petróleo altos a nivel mundial después del acusado incremento de precios del petróleo en 1973 y de nuevo en 1979. Volveremos a estudiar las causas de las fluctuaciones de los precios del petróleo en el capítulo 11 y el efecto de los sobresaltos debidos a las variaciones de los precios del petróleo sobre la inflación y el desempleo en el capítulo 15.
- políticas de competencia
- Políticas y leyes gubernamentales tendentes a limitar el poder de monopolio y evitar los cárteles. También conocidas como: políticas antitrust.
Por más que los cárteles entre empresas privadas son ilegales en muchos países, las compañías por lo general encuentran maneras de cooperar en la fijación de precios para maximizar sus beneficios. Las políticas que limitan el poder de mercado de las empresas e impiden los cárteles son conocidas como políticas de competencia, o políticas de defensa de la libre competencia en Estados Unidos (a menudo se usa el anglicismo antitrust).
Las empresas dominantes pueden explotar su posición mediante estrategias diferentes a los precios altos. En un famoso caso antimonopolios, el Departamento de Justicia de Estados Unidos acusó a Microsoft de comportarse de forma contraria a la competencia por «emparejar» Explorer, su buscador de Internet, con su sistema operativo Windows.8 En la década de 1920, un grupo internacional de compañías fabricantes de bombillas, entre las que se encontraban Philips, Osram y General Electric, formaron un cártel que acordó una política de «obsolescencia programada»: para reducir el tiempo de vida de sus bombillas a 1000 horas, de tal forma que los consumidores tuvieran que remplazarlas más rápidamente.9 El crecimiento de Walmart ha sido controvertido, pues, a pesar de que las tiendas prometen «siempre precios bajos», algunas personas acusan a Walmart de usar su poder de maneras que consideran injustas, por ejemplo para reducir el nivel salarial en las áreas en torno a donde están ubicadas sus tiendas, o para hacer quebrar a los vendedores minoristas, o para reducir las beneficios de sus proveedores mayoristas hasta niveles insostenibles.10 Un artículo de John Vickers examina la base económica de estos reclamos.11
Ejercicio 7.8 ¿Multinacionales o minoristas independientes?
Imagine que es un político en una ciudad pequeña donde una multinacional está planeando construir un nuevo supermercado. Se monta una campaña local de protesta que denuncia que la multinacional empujará a los pequeños minoristas independientes a la bancarrota y, por lo tanto, reducirá la capacidad de elección del consumidor y cambiará el carácter de la zona. Los partidarios del plan, en cambio, argumentan a su vez que esto solo sucederá si los consumidores prefieren el supermercado.
¿Usted, de qué lado está?
Pregunta 7.16 Escoja la(s) respuesta(s) correcta(s)
Supongamos que una multinacional planea construir un nuevo supermercado en un pueblo. ¿Cuál de los siguientes argumentos podría ser correcto?
- La disponibilidad de sustitutos cercanos implica demandas elásticas para esos bienes.
- La alta sustituibilidad entre bienes implica competencia entre proveedores, lo que generalmente resulta en precios más bajos.
- Si los minoristas locales son expulsados del mercado, la multinacional tendrá más poder de mercado. Se enfrentará a una demanda menos elástica y podrá aumentar los precios sin perder clientes.
- La alta diferenciabilidad (baja sustituibilidad) implica una demanda menos elástica.
7.11 Selección de productos, innovación y publicidad
Los beneficios que una empresa puede alcanzar dependen de la curva de demanda de sus productos, la que, a su vez, depende de las preferencias de los consumidores y de la competencia con otras empresas. Pero la empresa puede ser capaz de mover la curva de demanda para incrementar sus beneficios cambiando su selección de productos, o a través de la publicidad.12
En 1935, Parker Brothers comercializó por primera vez un juego de mesa llamado Monopoly, en el que se negociaban propiedades inmobiliarias. Ya en la década de 1970, esta compañía intentó evitar con toda una serie de demandas judiciales que un catedrático de economía llamado Ralph Anspach vendiera un juego denominado Anti-Monopoly. Anspach afirmaba que Parker Brothers no tenía los derechos exclusivos para vender Monopoly, ya que la compañía no lo había inventado originalmente.
Después de que el tribunal fallara a favor de Anspach, aparecieron en el mercado muchas versiones competidoras de Monopoly.
Más adelante, y gracias a un cambio en la legislación, Parker Brothers estableció su derecho a la marca registrada Monopoly en 1984, con lo cual ahora Monopoly es de nuevo un monopolio.
En el momento de decidir qué bienes producir, la empresa, en un mundo ideal, preferiría encontrar un producto que sea atractivo para los consumidores y que tenga características diferentes a las de los productos que venden otras empresas. En ese caso, la demanda del producto sería alta –muchos consumidores desearían comprarlo a cada precio– y la elasticidad baja. Pero, por supuesto, es poco probable que esto ocurra fácilmente: una empresa que desea fabricar un nuevo tipo de cereal para el desayuno, o un nuevo tipo de auto, sabe que ya hay muchas marcas en el mercado. No obstante, la innovación tecnológica puede ofrecer oportunidades para adelantarse a los competidores. Después de que Toyota desarrollara el primer auto híbrido producido en masa, el Prius, en 1997, durante algunos años hubo pocos autos comparables disponibles. Toyota, efectivamente, monopolizó el mercado de los híbridos. Para 2013 ya había varias marcas competidoras, pero el Prius se mantuvo como el líder de mercado, con más del 50% de las ventas de híbridos.
Si una empresa ha inventado o creado un producto nuevo, podría evitar la competencia, alegando derechos exclusivos para producirlo, o recurriendo a patentes o leyes de derechos de autor. Irónicamente, en la década de 1970, una compañía llamada Parker Brothers se embarcó en una batalla legal que duró años para proteger el monopolio que tenía sobre un rentable juego de mesa llamado Monopoly (precisamente: monopolio). Este tipo de protección legal del monopolio puede ayudar a incentivar la investigación y el desarrollo de nuevos productos, pero al mismo tiempo limita las ganancias derivadas del comercio. En el capítulo 21 analizamos los derechos de propiedad intelectual con mayor detalle.
La publicidad es otra estrategia que las firmas pueden usar para influir en la demanda y la utilizan de manera generalizada tanto los fabricantes de autos como los productores de cereales de desayuno. Cuando los productos están diferenciados, la empresa puede usar la publicidad para informar a los consumidores sobre su existencia y las características que los distinguen del resto, para atraerlos, apartándolos de sus competidores, y para crear fidelidad a la marca.
Según Schonfeld y Asociados, una firma de analistas de mercado, la publicidad de cereales de desayuno en Estados Unidos supone cerca del 5,5% del total de ingresos por ventas: casi de 3,5 veces más que el promedio para productos manufacturados. Los datos en la figura 7.21 corresponden a las 35 marcas de cereales de desayuno con mayores ventas en el área de Chicago en 1991 y 1992. El gráfico muestra la relación entre la cuota de mercado y los gastos trimestrales en publicidad. Si usted investigara el mercado de cereales de desayuno más de cerca, vería que la cuota de mercado no está estrechamente relacionada con el precio. Ahora bien, a juzgar por la figura 7.21, resulta evidente que las marcas con la mayor cuota de mercado son también las que invierten más en publicidad. El economista Matthew Shum analizó las compras de cereales en Chicago utilizando estos datos y demostró que la publicidad era más efectiva que los descuentos en precio a la hora de estimular la demanda de una marca. Dado que las marcas más conocidas eran también las que invertían más en publicidad, Shum concluyó que la principal función de esta no era informar a los consumidores acerca de los productos, sino que incrementar la fidelidad a la marca y alentar a los consumidores de productos de la competencia a cambiar de marca.13
Figura 7.21 Gasto publicitario y cuota de mercado de cereales de desayuno en Chicago (1991–92).
Figure 1 in Matthew Shum. 2004. ‘Does Advertising Overcome Brand Loyalty? Evidence from the Breakfast-Cereals Market’. Journal of Economics & Management Strategy 13 (2): pp. 241–72.
7.12 Precios, costos y fallas del mercado
La falla del mercado ocurre cuando la asignación de mercado de un bien es ineficiente en términos de Pareto. En este capítulo hemos visto una causa de la falla del mercado (veremos otras en capítulos posteriores): cuando las empresas fijan precios por encima del costo marginal de producción de los bienes.
Las empresas fijan precios por encima de los costos marginales cuando los bienes que producen, como autos o cereales de desayuno, se diferencian de los que producen otras empresas, de modo que sirven a consumidores con preferencias diferentes y se enfrentan a una competencia limitada (o ninguna competencia, como el caso de un monopolista que produce un bien único). Las empresas pueden beneficiarse de estrategias que reduzcan la competencia, pero sin competencia, la pérdida de eficiencia puede ser alta, por lo cual los diseñadores de políticas públicas tratan de reducir la pérdida a través de políticas de competencia.
La diferenciación de los productos no es la única razón para que un precio se sitúe por encima del costo marginal. Una segunda e importante razón es la existencia de costos medios decrecientes, quizás debido a la existencia de economías de escala en la producción, costos fijos o precios de insumos que bajan a medida que la empresa compra mayores cantidades. En estos casos, el costo medio de producción es mayor que el costo marginal de cada unidad, y la curva de costo medio tiene pendiente negativa. El precio que fije la empresa debe ser como mínimo igual al costo medio porque, si no, incurrirá en pérdidas, y esto implica que el precio debe estar por encima del costo marginal.
- monopolio natural
- Proceso de producción en el que la curva de costo medio a largo plazo tiene una pendiente suficientemente descendente como para que sea imposible mantener la competencia entre las empresas en este mercado.
Por supuesto, los costos medios decrecientes implican que las empresas pueden producir a un menor costo por unidad cuando operan a gran escala. En servicios públicos como el agua potable, la electricidad y el gas, suele haber altos costos fijos asociados a proporcionar la red de distribución que no dependen de la cantidad demandada por los consumidores. Los servicios públicos tienen, típicamente, rendimientos a escala crecientes. El costo medio de producir una unidad de agua potable, electricidad o gas será muy alto, a menos que la empresa opere a gran escala. Si una sola empresa puede proveer a todo un mercado a un costo medio menor del que lograrían dos empresas, se dice que el sector es un monopolio natural.
En el caso de un monopolio natural, los diseñadores de políticas públicas podrían no ser capaces de inducir a las empresas a bajar sus precios por la vía de fomentar la competencia, ya que los costos medios subirían si entraran más empresas al mercado. Así pues, la alternativa sería regular las actividades de la empresa, limitando su discrecionalidad sobre los precios con el objetivo de incrementar el excedente del consumidor. Otra alternativa es la propiedad pública. La mayoría de las compañías de agua potable del mundo son propiedad del Estado, aunque en Inglaterra y Gales en 1989, y en Chile en la década de 1990, se privatizó la totalidad del sector del agua potable, si bien permanece regulado por una agencia pública.
Un ejemplo diferente nos lo da el caso de una productora de películas. La compañía gasta muchísimo en la contratación de actores, técnicos de filmación, director, derechos de uso del guion y publicidad de la película. Todos estos son costos fijos (a veces llamados costos de primera copia). El costo de hacer copias adicionales de la película (el costo marginal) es, por lo general, muy bajo: le resulta muy barato reproducir la primera copia. Los costos marginales de esta empresa estarán por debajo de sus costos medios (incluyendo la tasa normal de beneficio). Si fijara el precio al nivel del costo marginal, quebraría.
El precio de un bien diferenciado se encuentra por encima del costo marginal como resultado directo de la respuesta de la empresa a la ausencia de competencia y la insensibilidad a los precios de sus consumidores. La fuente del problema en el caso de los servicios públicos y las películas es la estructura de costos más que la falta de competencia per se. La electricidad no suele ser un producto diferenciado y, por lo tanto, los compradores de electricidad pueden ser muy sensibles al precio, y la industria del cine es altamente competitiva. No obstante, el precio debe ser mayor que el costo marginal para que las firmas sobrevivan.
Sin embargo, los dos problemas –competencia limitada y costos medios decrecientes– suelen estar muy relacionados porque la competencia entre empresas con curvas de costos medios decrecientes tiende a ser del tipo «el ganador se lleva todo». La primera empresa que aprovecha las ventajas de costo asociadas al tamaño elimina a las otras empresas y, como resultado, también elimina a la competencia.
Cualquiera que sea la razón subyacente, el precio por encima del costo marginal genera una falla del mercado. Se compra demasiado poco: hay algunos compradores potenciales cuya disposición a pagar excede el costo marginal, pero no alcanza el precio de mercado, así que no compran el bien y habrá una pérdida de eficiencia.
7.13 Conclusión
Hemos estudiado cómo las empresas que producen bienes diferenciados escogen el precio y la cantidad de su producto para maximizar sus beneficios. Estas decisiones dependen de la curva de demanda del producto –especialmente la elasticidad de la demanda– y de la estructura de costos de producción. Las empresas escogerán un precio por encima del costo marginal de producción, más aún cuando la competencia sea limitada y la elasticidad de la demanda baja.
Los rendimientos crecientes en la producción y otras ventajas de costo favorecen a las empresas que operan a gran escala, en las que el costo unitario es bajo. La innovación también puede reducir costos e incrementar beneficios.
Cuando el precio de mercado se encuentra por encima del costo marginal de producción, hay una falla del mercado: la asignación del bien es ineficiente en términos de Pareto. Las empresas logran beneficios económicos, pero el excedente del consumidor es menor de lo que sería si el precio fuera igual al costo marginal y, por tanto, hay pérdida de eficiencia y bienestar. Por ende, los diseñadores de políticas públicas suelen preocuparse cuando las firmas logran una posición dominante en un mercado y pueden servirse de políticas de competencia y de la regulación para limitar el ejercicio de ese poder de mercado.
Conceptos introducidos en la capítulo 7
Antes de continuar, revise estas definiciones:
7.14 Referencias bibliográficas
- Basker, Emek. 2007. ‘The Causes and Consequences of Wal-Mart’s Growth’. Journal of Economic Perspectives 21 (3): pp. 177–198.
- Cournot, Augustin, y Irving Fischer. 1971. Investigaciones acerca de los principios matemáticos de la Teoría de las riquezas. Madrid: Alianza Editorial, 1969.
- Gilbert, Richard J. y Michael L. Katz. 2001. ‘An Economist’s Guide to US v. Microsoft’. Journal of Economic Perspectives 15 (2): pp. 25–44.
- Harding, Matthew y Michael Lovenheim. 2013. ‘The Effect of Prices on Nutrition: Comparing the Impact of Product- and Nutrient-Specific Taxes’. SIEPR Discussion Paper No. 13–023.
- Kay, John. ‘The Structure of Strategy’ (reimpreso de Business Strategy Review 1993).
- Koshal, Rajindar K. y Manjulika Koshal. 1999. ‘Economies of Scale and Scope in Higher Education: A Case of Comprehensive Universities’. Economics of Education Review 18 (2): pp. 269–277.
- Krajewski, Markus. 2014. ‘The Great Lightbulb Conspiracy’. IEEE Spectrum. Actualizado 25 de septiembre.
- Schumacher, Ernst F. 1973. Lo pequeño es hermoso. Madrid: Tursen/Hermann Blume, 1994.
- Shum, Matthew. 2004. ‘Does Advertising Overcome Brand Loyalty? Evidence from the Breakfast-Cereals Market’. Journal of Economics & Management Strategy 13 (2): pp. 241–272.
- Statista. 2011. ‘Willingness to pay for a flight in space’. Actualizado el 20 de diciembre de 2019.
- Stigler, George J. 1987. La teoría de los precios. Madrid: Revista de Derecho Privado, 1968.
- The Economist. 2008. ‘Economies of Scale and Scope’. Actualizado el 20 de diciembre de 2019.
- Vickers, John. 1996. ‘Market Power and Inefficiency: A Contracts Perspective’. Oxford Review of Economic Policy 12 (4): pp. 11–26.
-
Ernst F. Schumacher. 1973. Lo pequeño es hermoso. Madrid: Tursen/Hermann Blume, 1994. ↩
-
«Willingness to Pay for a Flight in Space». Statista. Actualización: 20 de diciembre de 2019. ↩
-
Rajindar K. Koshal y Manjulika Koshal. 1999. ‘Economies of Scale and Scope in Higher Education: A Case of Comprehensive Universities’. Economics of Education Review 18 (2): pp. 269–77. ↩
-
Economías de escala y alcance. The Economist. Actualizado el 20 de diciembre de 2019. ↩
-
George J. Stigler. 1987. La teoría de los precios. Madrid: Revista de Derecho Privado, 1968. ↩
-
Matthew Harding y Michael Lovenheim. 2013. ‘The Effect of Prices on Nutrition: Comparing the Impact of Product- and Nutrient-Specific Taxes’. SIEPR Discussion Paper No. 13-023. ↩
-
Augustin Cournot y Irving Fischer. 1971. Investigaciones acerca de los principios matemáticos de la Teoría de las riquezas. Madrid: Alianza Editorial, 1969. ↩
-
Richard J. Gilbert y Michael L. Katz. 2001. ‘An Economist’s Guide to US v. Microsoft’. Journal of Economic Perspectives 15 (2): pp. 25–44. ↩
-
Markus Krajewski. 2014. ‘The Great Lightbulb Conspiracy’. IEEE Spectrum. Actualizado 25 de septiembre. ↩
-
Emek Basker. 2007. ‘The Causes and Consequences of Wal-Mart’s Growth’. Journal of Economic Perspectives 21 (3): pp. 177–198. ↩
-
John Vickers. 1996. ‘Market Power and Inefficiency: A Contracts Perspective’. Oxford Review of Economic Policy 12 (4): pp. 11–26. ↩
-
John Kay. ‘The Structure of Strategy’ (reimpreso de Business Strategy Review 1993). ↩
-
Matthew Shum. 2004. ‘Does Advertising Overcome Brand Loyalty? Evidence from the Breakfast-Cereals Market’. Journal of Economics & Management Strategy 13 (2): pp. 241–72. ↩

